Abstract
Oxidative reactions often require unstable and environmentally harmful oxidants; therefore, the investigation of safer alternatives is urgent. Here, the hydroxylation of aryl boronic acid in the presence of Co-complexes is demonstrated. Tetrakis(4-carboxyphenyl) Co(II)-porphyrin was combined with biodegradable polymers such as chitosan catalyzed hydroxylation of phenyl boronic acids to form phenol derivatives under blue-light irradiation. This catalytic system can be used as an eco-friendly oxidation process that does not release oxidizing agents into the atmosphere.
Keywords:
aryl boronic acid; phenol; co-catalyst; porphyrin; photoredox; chitosan; polyaniline; hydroxylation; blue light; oxidation 1. Introduction
Oxidation reactions are abundant and necessary to form important useful intermediates in the laboratory, commonly by using unstable oxidants such as hydrogen peroxide [1], oxone [2], NaClO2 [3], N-oxide, mCPBA [4] and hypervalent iodine [5]. Methylene blue has also been used as a photosensitizer under aerobic conditions for oxidative hydroxylation [6,7,8]. Recently, there has been increased attention within the industry on eco-friendly oxidation processes and their development. In pursuit of this effort, new and advanced oxidation reactions that are safer, faster and more environmentally friendly have been developed [9]. For example, eco-friendly oxidation processes have been developed and used significantly in the field of modern organic synthesis [10]. Cozzi et al. studied the green methodology for hydroxylation of aryl boronic acid in open air using two equivalents of sodium ascorbate [11]. The combination of sodium ascorbate with atmospheric oxygen produced hydrogen peroxide, which was able to oxidize arylboronic acid [12,13].
The synthesis of phenols has received much attention in recent studies because of its importance as a starting material and structural constituent of pharmaceuticals, polymers, versatile intermediate building blocks [14] and natural products [15,16,17]. Mulakayala et al. reported the preparation of phenols from aryl boronic acids by treatment with hydrogen peroxide in the presence of Amberlite IR-120 resin; the reaction was conducted at room temperature in the absence of an organic solvent [18]. Under these conditions, catalytic hydroxylation in water promoted by complexes with recyclable ligands is highly desirable [19]. Alternatively, molecular or atmospheric oxygen can be used as an eco-friendly oxidant but poses a considerable challenge because of its relatively weak oxidation characteristics. Obtaining fast kinetics and high yields under these conditions requires an efficient catalytic system with complicated ligands, which requires a long time to complete the reactions [20]. Co(II)-porphyrin was chosen as a good catalyst because it has a higher ability to bind towards O2 in aqueous solution besides the stability and long-lifetime phosphorescence compared to Cu(II) that has a far shorter lifetime phosphorescence [21,22].
Metalloporphyrins are biomimetic catalysts that have gained popularity because of their distinctive catalytic activities coupled with environmental stability [23,24]. The development of metalloporphyrin as a good catalyst has been demonstrated in several synthetic transformations that are of great interest for oxidation, such as via C–H activation of alkanes, epoxidation of alkenes and sulfoxidation of sulfides with oxygen molecules or under aerobic conditions possibly via radical-chain mechanisms [25,26]. In particular, immobilized porphyrins with bioavailable, nontoxic and antimicrobial polymers such as chitosan and polyaniline (PANI) have promising biomedical applications and demonstrated chemical stability [27]. Poltowicz et al. reported the increase of catalytic activity of Fe, Mn and Co porphyrins by supporting polyaniline as a catalyst in co-oxidation of styrene and isobutyraldehyde by gas phase oxygen [28]. The combination of polyaniline with porphyrin would further broaden its application range, especially in gas sensors, solid dye-sensitized solar cell (DSSC), powerful catalyst and fluorescence properties, as well as photocatalysis application [29,30,31]. Decreasing the environmental impact by immobilized metalloporphyrin on chitosan was a catalyst in the oxidation of ethylbenzene to produce less pollution reaction [32]. Chitosan, cheap and eco-friendly, was used to increase the catalytic activity of porphyrin [33].
Recently, it was reported that Co(II)-porphyrin catalysts effectively promoted oxidation of azo dye Orange II in the presence of hydrogen peroxide and led to mineralization in an aqueous solution [34]. Furthermore, Co(II)-porphyrin was so effective that it was used as a catalyst in the oxidation of azo dyes to water and carbon dioxide via hydroxyl radical active species [35].
Photoredox processes are also attractive as sustainable methods and have received much attention in the catalytic activation of organic molecules [36]. These methods depend on metal complexes with photosensitizers to engage in a single-electron transfer (SET) for photoexcitation processes under irradiation of visible light. Despite stoichiometric changes to the catalytic protocol, most of these reactions often have disadvantages such as intrinsic toxicity and energy consumption for the removal of the complexes [37] and require specific conditions such as the elimination of air, moisture and impurities [38]. The superoxide radical anion generated from the photoredox cycle can oxidize the arylboronic acid because of its Lewis acidity, which arises from the boron atom that has vacant p-orbital, the reaction proceeds promoted by [Ru(bpy)3Cl2]·6H2O in the presence of TEA (trietyhlamine) under irradiation visible light [14].
Because they are one of the more efficient photocatalytic systems, use of porphyrins has also been developed in sustainable flow processes [34]. In this context, we developed oxidative reactions catalyzed by Co(II)-porphyrin under blue-light irradiation to form useful molecules. We reported a new method for the oxidative hydroxylation of aryl boronic acids to phenols in air, promoted by Co(II)-porphyrins combined with biodegradable polymers as an eco-friendly catalyst (Scheme 1). We focused on Co(II)-porphyrins immobilized to chitosan or polyaniline because of the ease of synthesis and stability for photo-irradiation processes.
Scheme 1.
Hydroxylation of arylboronic acid catalyzed by Co(II)-porphyrins.
2. Results and Discussion
The reaction proceeded through treatment of phenyl boronic acid in a basic aqueous solution at room temperature under irradiation of blue light (523 nm) and exposed to air (Figure 1). A range of catalysts, additives and solvents were used, and the reaction time and yield were measured. The results are shown in Table 1.
Figure 1.
Hydroxylation of phenylboronic acid catalyzed by Co(II)-porphyrins.
Table 1.
Co-catalyzed hydroxylation of phenylboronic acid under irradiation 1.
In the absence of a catalyst and additives, no reaction proceeded at all, and the substrate was recovered quantitatively (entry 1, Table 1). It was revealed that phenyl boronic acid cannot be decomposed under blue-light irradiation conditions alone. Transition metal catalysts and triethylamine as a sacrificial reagent to promote the oxidation processes were then tested; 0.3 mol% of Co(II)-porphyrin served as an effective catalytic system to provide phenol from phenyl boronic acid (entries 2–5, Table 1). Oxidative hydroxylation did not occur in the absence of porphyrin. Substituents on the porphyrin ligand of Co(II)-catalysts were greatly affected by blue-light irradiation in air (entries 5–7, Table 1). Carboxylic acid substituted porphyrin (Co-TCPP, R = CO2H) efficiently achieved the oxidation reaction and produced the best yield (entry 7, Table 1). No reaction occurred in the absence of TEA, as it is responsible for energy transfer from the activated Co(II)-porphyrin species as an electron donor to form a Co(I)-porphyrin species. This optimized result shows that the solubility of the catalyst influences the yield of oxidation reactions in the homogeneous catalytic system.
The oxidation reactions considered were expanded to include more eco-friendly systems. We investigated the reactions promoted by Co(II)-porphyrin catalysts combined with a polymer as a sustainable solid phase method (entries 8–15, Table 1). Polyaniline and chitosan immobilized to Co(II)-porphyrin were employed as the practical photosensitizer. Modest yields of the desired product were obtained using water as the solvent (entry 11, Table 1). Almost no reaction proceeded using dry pyridine, dimethylformaldehyde (DMF) and MeCN without water. These results suggest that the hydroxyl group of water plays an important role in the hydroxylation processes [39]. The highest yield was obtained using Co(II)-porphyrin/polyaniline hydrochloride (Co(II)TCPP/PANI) as the solid phase catalyst under the standard conditions using a MeCN:H2O solvent in a 4:1 ratio (entry 12, Table 1). Co(II)-porphyrin/chitosan complex (Co(II)TCPP/Cts) could also be used effectively to obtain the desired product (entry 13, Table 1). Although the hydroxylations of phenyl boronic acid proceeded efficiently using Co(II)TCPP/PANI and Co(II)TCPP/Cts in high yields, the isolation of the product for homogeneous Co(II)TCPP/Cts complex was very difficult [40]. The heterogeneous system gave higher yield and easier isolation, so further studies were undertaken using the Co(II)TCPP/PANI catalytic system. A total of 0.2 mol% of Co(II)-porphyrin catalyst provided the desired product in 30% yield under similar conditions, so that the concentration should be increased until the higher yield of 0.3 mol% catalyst loading. Higher concentration of porphyrin in more than 0.3 mol% would cause a decrease in the adsorption of other starting material on the polymer surface due to the aggregation of porphyrin. When the concentration of Co(II)-porphyrin catalyst increased as the aggregation form of porphyrin, it seemed to be less reactive than the monomeric form [41,42].
These collected results suggest that the photosensitizer, blue light and atmospheric air are essential for the reaction. No reaction proceeded under nitrogen atmosphere and in the natural light (in the absence of blue light) (entries 14 and 15, Table 1). As the porphyrins absorbed intensely in the Soret region (around 435 nm) and partially in the Q region (around 500−600 nm), we carried out all hydroxylation reactions under blue LED light (435−600 nm) [43,44]. While similar oxidation reactions from phenyl boronic acid to phenol have been reported elsewhere [45,46,47], the toxicity of hydrogen peroxide, longer reaction times (from 24 h to several days) and higher temperatures make them less-efficient reactions and less eco-friendly [48,49]. The protocol developed here using a Co(II)-porphyrin system showed higher yields within 6 h and mild reaction conditions (room temperature and under the atmosphere) and could be used as an environmentally friendly, reusable catalyst for oxidative hydroxylation transformations.
Boronic acids with other functional groups were examined under similar catalytic conditions; the results are shown in Table 2 (Figure 2). Monomethyl- and trimethyl-substituted phenylboronic acids gave the corresponding substituted phenols within 4–6 h and with yields above 90% (entries 2 and 3, Table 2). p-Bromophenyl boronic acid was tolerated to form the oxidized product, and the hydroxylation reaction proceeded without any observable debromination under blue-light irradiation. The 1-Naphthylboronic acid gave the desired 1-naphthol in high yield under 4 h at similar conditions (entry 5, Table 2). Thus, Co(II)TCPP supported on polyaniline served as a sufficient and suitable catalytic system to form the functionalized substituted phenols and naphthol in air without any oxidizing agents. The products were isolated and characterized by 1H NMR, 13C NMR, and mass spectrometry, and these data are reported in Supporting Information.
Table 2.
Co-catalyzed oxidation of substituted phenyl boronic acids.
Figure 2.
Hydroxylation of substituted arylboronic acids catalyzed by Co(II)TCPP/PANI.
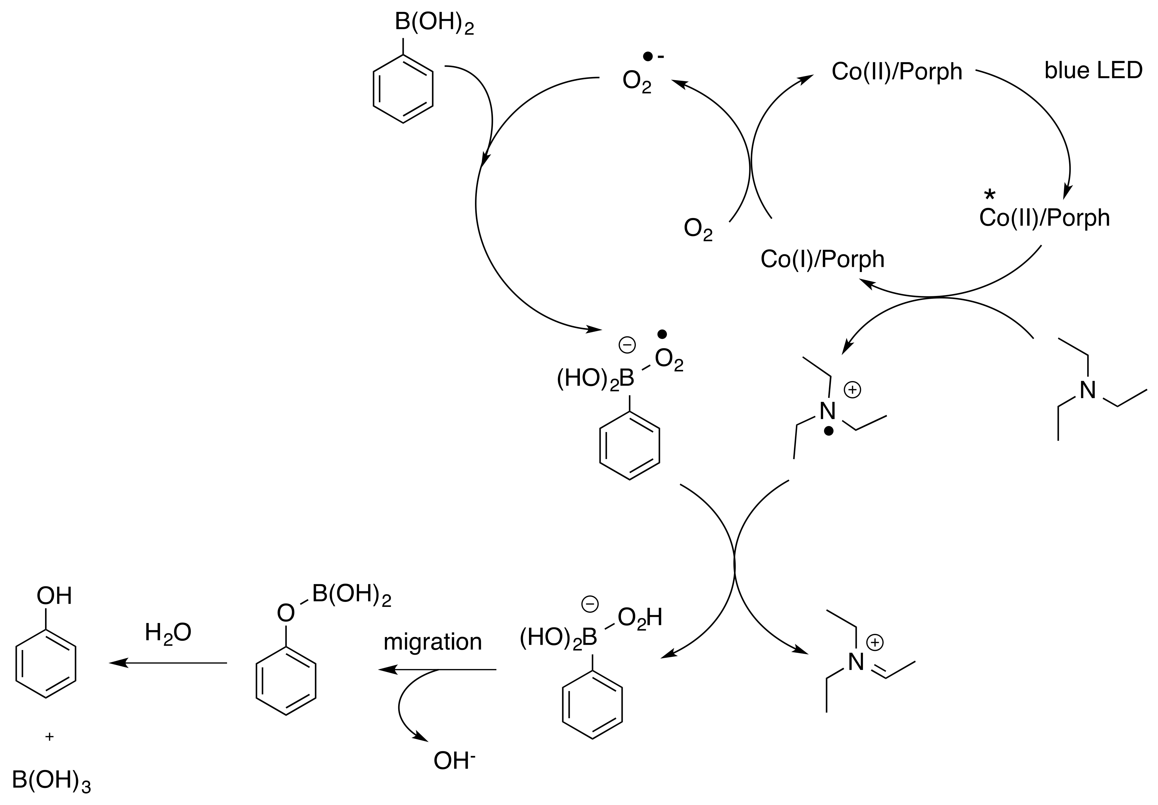
Although it is premature to draw conclusions regarding the reaction mechanism at present, a plausible mechanism is presented in Scheme 2. The Co(II)-porphyrin catalyst is excited by irradiation of blue light at 523 nm and undergoes a single-electron transfer (SET) accompanied by the generation of an activated Co(II)-porphyrin species. Energy transferred from the Co(II)-porphyrin in its excited state species with triethylamine as an electron donor causes the formation of a Co(I)-porphyrin species, then accelerates the reduction of oxygen to give a superoxide radical anion (O2•−) species. The oxidative hydroxylation of aryl boronic acid might proceed via the coupling reaction of boronic acid with the superoxide radical anion through photoredox processes in air. Subsequently, the formed superhydroxy anion combines with the boronic acids at the vacant p-orbital to afford the superhydroxy borate intermediate and accompanying reduction by triethylamine to the iminium cation, and Co(II)-porphyrin could then be regenerated [45]. The hydroxylation process would be completed by migratory insertion of the hydroxyl anion to form triaryl borate followed by hydrolysis to give rise to the corresponding phenol derivatives [46].
Scheme 2.
Plausible reaction mechanism for oxidation of phenyl boronic acid under irradiation of blue LED.
3. Materials and Methods
3.1. Preparation of Meso-Tetraphenylporphyrin H2(TPP)
Benzaldehyde (4 mL, 40 mmol) was added to 150 mL propionic acid and then heated to 80 °C in a three-neck round flask. Pyrrole (2.8 mL, 40 mmol) was added to the mixture over a 15-min period before the temperature was increased to 180 °C. After 1 h, the reaction mixture was cooled to room temperature and filtered. The solid residue was washed with hot water and methanol. After drying under reduced pressure, the desired product was obtained in 50% as a purple crystal.
3.2. Preparation of 5,10,15,20-Tetrakis[4-(methoxycarbonyl)phenyl]porphyrin H2(TMCPP)
p-Methoxycarbonyl benzaldehyde (1.312 g, 8 mmol) was added to 100 mL propionic acid and stirred at 80 °C in a three-neck round flask. Pyrrole (0.56 mL, 8 mmol) was added to the mixture over a 15-min period before the temperature was increased to 140 °C. After 1 h, the reaction mixture was cooled to room temperature under the air atmosphere. The reaction solution was filtered and washed with hot water and methanol to remove adsorbed acid. Purple crystals were obtained in 40% after purification by thin-layer chromatography with silica gel-coated glass plates using methylene chloride as the eluent.
3.3. Preparation of 5,10,15,20-Tetrakis(4-carboxyphenyl)porphyrin H2(TCPP)
H2(TMCPP) (0.12 mmol) was dissolved in 5 mL trifluoroacetic acid, 2.5 mL HCl (35%) was added to the solution and the mixture was stirred at 85 °C for 36 h. The reaction mixture was diluted with cold water to give a green precipitate that was then filtered and washed with water and CH2Cl2 three times to remove unreacted H2(TMCPP). The green solid was dissolved in 10 mL pyridine, filtered, and evaporated after washing with water and CH2Cl2 to give an 80% yield of H2(TCPP) as purple powder.
3.4. Metallation of Porphyrins
Co(II)TPP, Co(II)TMCPP and Co(II)TCPP were prepared by the reaction of H2(TPP), H2(TMCPP) and H2(TCPP) (1 mmol) with CoCl2·6H2O (6 mmol) in 150 mL dimethylformamide followed by refluxing for 6 h under a nitrogen atmosphere. After the solution was cooled to room temperature, the solvent was evaporated under vacuum. The residue was washed with water and dried under vacuum to give the corresponding Co(II)-porphyrins.
3.5. Preparation of Co(II)TCPP Immobilized on Chitosan (CTS)
In a three-neck round flask, a mixture of CTS (0.1 g) and diluted acetic acid (5 mL) was stirred at room temperature for 15 min. Then, 10 mL distilled water was added to form a colloidal solution. Next, 2.85 mol·L−1 NH3·H2O solution was added dropwise until the colloidal solution became neutral. Co-TCPP (0.05 g) was dissolved in ethanol (100 mL) and then slowly added to the reaction system. The solution was stirred for 24 h, and the reaction was stopped and filtered. A saturated NH4HCO3 solution was then added to the obtained pale-yellow colloid and stirred for 2 h. The mixture was filtered and dried under vacuum to obtain a Co-TCPP/p-CTS complex.
3.6. Preparation of Polyaniline Emeraldine Hydrochloride
Aniline hydrochloride (2.29 g, 20 mmol) was dissolved in 50 mL distilled water. Following that, ammonium peroxydisulfate (5.71 g, 25 mmol) was dissolved in distilled water (50 mL) and added dropwise to the aqueous solution of aniline hydrochloride at ambient temperature. After cooling for 1 h in an ice bath, the radical initiator was added very slowly and the polymerization reaction was left for 24 h at ambient temperature. After 24 h, the reaction mixture was filtered, and the precipitate was washed three times with aqueous HCl (0.2 M) and once with acetone. The green powder of polyaniline emeraldine hydrochloride was obtained after drying under atmospheric air [50,51,52].
3.7. General Method for Hydroxylation Reaction
3.7.1. Hydroxylation Reaction Catalyzed by Co(II)TPP, Co(II)TMCPP, Co(II)TCPP
A mixture of arylboronic acid (1 mmol), 0.3 mol% of catalyst in 5 mL of MeCN: H2O (4:1) and TEA (0.64 mL, 5.0 mmol) was added to the reaction mixture, and the mixture was stirred at room temperature under blue light.
3.7.2. Hydroxylation Reaction Catalysed by Co(II)TCPP Supported on Polyaniline
A mixture of (0.3 mol%) of Co(II)TCPP and (0.3 mol%) of prepared polyaniline was stirred for 15 min in 5 mL of MeCN:H2O (4:1) at pH 9 using NaOH solution until complete adsorption of catalyst on the polyaniline surface. Arylboronic acid (1 mmol) and TEA (0.64 mL, 5.0 mmol) were added to the reaction mixture and the mixture was stirred at room temperature under blue light.
4. Conclusions
Co(II)TCPP immobilized on chitosan or polyaniline were used as photoredox catalytic species for the oxidative hydroxylation of aryl boronic acids in the presence of triethylamine under blue-light irradiation. The immobilized porphyrins had the highest catalytic activity compared with the basic Co(II)-porphyrin. We developed eco-friendly reactions for the hydroxylation of phenyl boronic acid that does not require oxidizing agents. These photoredox catalytic protocols in the absence of harmful oxidizing agents could serve as new oxidation methods. The immobilized porphyrins on polyaniline were more investigated because improving the stability by site isolation prevents porphyrin aggregation and intermolecular self-oxidation. Moreover, Co(II)TCPP immobilized on chitosan or polyaniline could increase its photocatalytic activities as well as the total turnover frequencies (TOFs). More detailed investigations into the reaction mechanisms and the practical use for the recycling solid catalysts are ongoing.
Supplementary Materials
The following are available online at https://www.mdpi.com/2073-4344/10/11/1262/s1. Experimental procedures and characterization (1H and13C NMR, MS, FTIR and fluorescence spectra) for all the catalysts and products are provided in the supporting information.
Author Contributions
Investigation, data curation, methodology, A.A.A.; conceptualization, writing-original draft preparation, supervision, M.K. All authors have read and agreed to the published version of the manuscript.
Funding
This work was supported by a Grant-in-Aid for Scientific Research (B) (JP18H01981) from JSPS and partly by a Grant-in-Aid for Scientific Research on Innovative Areas, “Precise Formation of a Catalyst Having a Specified Field for Use in Extremely Difficult Substrate Conversion Reactions” (18H04266) from MEXT. This work was also carried out by the research program of the Artificial Photosynthesis, Osaka City University.
Acknowledgments
We express our gratitude to G. Onodera for helpful discussion and critical comments. We are also thanking T. Fukuda for helpful discussion and critical comments.
Conflicts of Interest
The authors declare no conflict of interest.
References
- Jeyakumar, K.; Chand, D.K. Selective oxidation of sulfides to sulfoxides and sulfones at room temperature using H2O2 and a Mo (VI) salt as catalyst. Tetrahedron Lett. 2006, 47, 4573–4576. [Google Scholar] [CrossRef]
- Molloy, J.J.; Clohessy, T.A.; Irving, C.; Anderson, N.A.; Lloyd-Jones, G.C.; Watson, A.J.B. Chemoselective oxidation of aryl organoboron systems enabled by boronic acid-selective phase transfer. Chem. Sci. 2017, 8, 1551–1559. [Google Scholar] [CrossRef]
- Yin, W.; Pan, X.; Leng, W.; Chen, J.; He, H. The highly efficient air oxidation of aryl and alkyl boronic acids by a microwave-assisted protocol under transition metal-free conditions. Green Chem. 2019, 21, 4614–4618. [Google Scholar] [CrossRef]
- Zhu, C.; Wang, R.; Falck, J.R. Mild and rapid hydroxylation of aryl/heteroaryl boronic acids and boronate esters with N-oxides. Org. Lett. 2012, 14, 3494–3497. [Google Scholar] [CrossRef] [PubMed]
- Goswami, A.; Chatterjee, N. Organic hypervalent iodine (III) catalyzed ipso-hydroxylation of aryl-and alkylboronic acids/esters. Tetrahedron Lett. 2015, 56, 1524–1527. [Google Scholar]
- Romero, N.A.; Nicewicz, D.A. Organic photoredox catalysis. Chem. Rev. 2016, 116, 10075–10166. [Google Scholar] [CrossRef]
- Huang, Z.; Gu, Y.; Liu, X.; Zhang, L.; Cheng, Z.; Zhu, X. Metal-Free Atom Transfer Radical Polymerization of Methyl Methacrylate with ppm Level of Organic Photocatalyst. Macromol. Rapid Commun. 2017, 38, 1600461. [Google Scholar] [CrossRef] [PubMed]
- Pitre, S.P.; McTiernan, C.D.; Ismaili, H.; Scaiano, J.C. Mechanistic insights and kinetic analysis for the oxidative hydroxylation of arylboronic acids by visible light photoredox catalysis: A metal-free alternative. J. Am. Chem. Soc. 2013, 135, 13286–13289. [Google Scholar] [CrossRef] [PubMed]
- Mori, T.; Ishii, C.; Kimura, M. Pd-Catalyzed Dehydrogenative Oxidation of Alcohols to Functionalized Molecules. Org. Process Res. Dev. 2019, 23, 1709–1717. [Google Scholar] [CrossRef]
- Xie, H.-Y.; Han, L.-S.; Huang, S.; Lei, X.; Cheng, Y.; Zhao, W.; Sun, H.; Wen, X.; Xu, Q.-L. N-Substituted 3 (10 H)-Acridones as Visible-Light, Water-Soluble Photocatalysts: Aerobic Oxidative Hydroxylation of Arylboronic Acids. J. Org. Chem. 2017, 82, 5236–5241. [Google Scholar] [CrossRef]
- Gualandi, A.; Savoini, A.; Saporetti, R.; Franchi, P.; Lucarini, M.; Cozzi, P.G. A facile hydroxylation of arylboronic acids mediated by sodium ascorbate. Org. Chem. Front. 2018, 5, 1573–1578. [Google Scholar] [CrossRef]
- Silveira-Dorta, G.; Monzón, D.M.; Crisóstomo, F.P.; Martín, T.; Martín, V.S.; Carrillo, R. Oxidation with air by ascorbate-driven quinone redox cycling. Chem. Commun. 2015, 51, 7027–7030. [Google Scholar] [CrossRef] [PubMed]
- Kotoučová, H.; Strnadová, I.; Kovandová, M.; Chudoba, J.; Dvořáková, H.; Cibulka, R. Biomimetic aerobic oxidative hydroxylation of arylboronic acids to phenols catalysed by a flavin derivative. Org. Biomol. Chem. 2014, 12, 2137–2142. [Google Scholar] [CrossRef]
- Zou, Y.; Chen, J.; Liu, X.; Lu, L.; Davis, R.L.; Jørgensen, K.A.; Xiao, W. Highly efficient aerobic oxidative hydroxylation of arylboronic acids: Photoredox catalysis using visible light. Angew. Chem. Int. Ed. 2012, 51, 784–788. [Google Scholar] [CrossRef]
- Castro-Godoy, W.D.; Schmidt, L.C.; Argüello, J.E. A Green Alternative for the Conversion of Arylboronic Acids/Esters into Phenols Promoted by a Reducing Agent, Sodium Sulfite. Eur. J. Org. Chem. 2019, 2019, 3035–3039. [Google Scholar] [CrossRef]
- Likhitwitayawuid, K.; Sritularak, B.; Benchanak, K.; Lipipun, V.; Mathew, J.; Schinazi, R.F. Phenolics with antiviral activity from Millettia erythrocalyx and Artocarpus lakoocha. Nat. Prod. Res. 2005, 19, 177–182. [Google Scholar] [CrossRef] [PubMed]
- Owen, R.W.; Giacosa, A.; Hull, W.E.; Haubner, R.; Spiegelhalder, B.; Bartsch, H. The antioxidant/anticancer potential of phenolic compounds isolated from olive oil. Eur. J. Cancer 2000, 36, 1235–1247. [Google Scholar] [CrossRef]
- Mulakayala, N.; Kumar, K.M.; Rapolu, R.K.; Kandagatla, B.; Rao, P.; Oruganti, S.; Pal, M. Catalysis by Amberlite IR-120 resin: A rapid and green method for the synthesis of phenols from arylboronic acids under metal, ligand, and base-free conditions. Tetrahedron Lett. 2012, 53, 6004–6007. [Google Scholar] [CrossRef]
- Kim, H.-S.; Joo, S.-R.; Shin, U.S.; Kim, S.-H. Recyclable CNT-chitosan nanohybrid film utilized in copper-catalyzed aerobic ipso-hydroxylation of arylboronic acids in aqueous media. Tetrahedron Lett. 2018, 59, 4597–4601. [Google Scholar] [CrossRef]
- Xu, J.; Wang, X.; Shao, C.; Su, D.; Cheng, G.; Hu, Y. Highly efficient synthesis of phenols by copper-catalyzed oxidative hydroxylation of arylboronic acids at room temperature in water. Org. Lett. 2010, 12, 1964–1967. [Google Scholar] [CrossRef]
- Schwarz, F.P.; Gouterman, M.; Muljiani, Z.; Dolphin, D.H. Energy transfer between covalently linked metal porphyrins. Bioinorg. Chem. 1972, 2, 1–32. [Google Scholar] [CrossRef]
- Hong, Y.H.; Han, J.W.; Jung, J.; Nakagawa, T.; Lee, Y.-M.; Nam, W.; Fukuzumi, S. Photocatalytic Oxygenation Reactions with a Cobalt Porphyrin Complex Using Water as an Oxygen Source and Dioxygen as an Oxidant. J. Am. Chem. Soc. 2019, 141, 9155–9159. [Google Scholar] [CrossRef] [PubMed]
- Wang, R.; Gao, B.; Jiao, W. A novel method for immobilization of Co tetraphenylporphyrins on P (4VP-co-St)/SiO2: Efficient catalysts for aerobic oxidation of ethylbenzenes. Appl. Surf. Sci. 2009, 255, 4109–4113. [Google Scholar] [CrossRef]
- Shen, D.-H.; Ji, L.-T.; Liu, Z.-G.; Sheng, W.-B.; Guo, C.-C. Ethylbenzene oxidation over hybrid metalloporphyrin@ silica nanocomposite microspheres. J. Mol. Catal. A-Chem. 2013, 379, 15–20. [Google Scholar]
- e Silva, R.C.; da Silva, L.O.; de Andrade Bartolomeu, A.; Brocksom, T.J.; de Oliveira, K.T. Recent applications of porphyrins as photocatalysts in organic synthesis: Batch and continuous flow approaches. Beilstein J. Org. Chem. 2020, 16, 917–955. [Google Scholar] [CrossRef]
- Guo, C.-C.; Liu, Q.; Wang, X.-T.; Hu, H.-Y. Selective liquid phase oxidation of toluene with air. Appl. Catal. A Gen. 2005, 282, 55–59. [Google Scholar] [CrossRef]
- Kumar, S.; Silva, J.D.A.E.; Wani, M.Y.; Gil, J.C.; Sobral, A.J. Carbon dioxide capture and conversion by an environmentally friendly chitosan based meso-tetrakis (4-sulfonatophenyl) porphyrin. Carbohydr. Polym. 2017, 175, 575–583. [Google Scholar] [CrossRef]
- Haber, J.; Kłosowski, M.; Połtowicz, J. Co-oxidation of styrene and iso-butyraldehyde in the presence of polyaniline-supported metalloporphyrins. J. Mol. Catal. A Chem. 2003, 201, 167–178. [Google Scholar] [CrossRef]
- Li, Z.; Zhou, X.; Shi, J.; Zou, X.; Huang, X.; Tahir, H.E. Preparation of conducting polyaniline/protoporphyrin composites and their application for sensing VOCs. Food Chem. 2019, 276, 291–297. [Google Scholar] [CrossRef]
- Gottam, R.; Srinivasan, P.; La, D.D.; Bhosale, S.V. Improving the photocatalytic activity of polyaniline and a porphyrin via oxidation to obtain a salt and a charge-transfer complex. New J. Chem. 2017, 41, 14595–14601. [Google Scholar] [CrossRef]
- Zhou, Q.; Li, C.M.; Li, J.; Lu, J. Electrocatalysis of template-electrosynthesized cobalt− porphyrin/polyaniline nanocomposite for oxygen reduction. J. Phys. Chem. C 2008, 112, 18578–18583. [Google Scholar] [CrossRef]
- Huang, G.; Yuan, R.X.; Peng, Y.; Chen, X.F.; Zhao, S.K.; Wei, S.J.; Guo, W.X.; Chen, X. Oxygen oxidation of ethylbenzene over manganese porphyrin is promoted by the axial nitrogen coordination in powdered chitosan. RSC Adv. 2016, 6, 48571–48579. [Google Scholar] [CrossRef]
- Mo, L.-Q.; Huang, X.-F.; Wang, G.-C.; Huang, G.; Liu, P. Full use of factors promoting catalytic performance of chitosan supported manganese porphyrin. Sci. Rep. 2020, 10, 1–14. [Google Scholar] [CrossRef] [PubMed]
- Kowalski, G.; Pielichowski, J.; Grzesik, M. Characteristics of polyaniline cobalt supported catalysts for epoxidation reactions. Sci. World J. 2014, 2014, 1–9. [Google Scholar] [CrossRef] [PubMed]
- Elkhalafy, S.H.; Hassanein, M.T.; Abd-Elal, M.F.; Atia, A.A. Oxidation of azo dye Orange II with hydrogen peroxide catalyzed by 5, 10, 15, 20-tetrakis [4-(diethylmethylammonio) phenyl] porphyrinato-cobalt (II) tetraiodide in aqueous solution. J. Saudi Chem. Soc. 2020, 24, 520–526. [Google Scholar] [CrossRef]
- Prier, C.K.; Rankic, D.A.; MacMillan, D.W.C. Visible light photoredox catalysis with transition metal complexes: Applications in organic synthesis. Chem. Rev. 2013, 113, 5322–5363. [Google Scholar] [CrossRef] [PubMed]
- Ritleng, V.; Sirlin, C.; Pfeffer, M. Ru-, Rh-, and Pd-Catalyzed C−C Bond Formation Involving C−H Activation and Addition on Unsaturated Substrates: Reactions and Mechanistic Aspects. Chem. Rev. 2002, 102, 1731–1770. [Google Scholar] [CrossRef] [PubMed]
- Sheldon, R.A. Atom efficiency and catalysis in organic synthesis. Pure Appl. Chem. 2000, 72, 1233–1246. [Google Scholar] [CrossRef]
- Serra, V.V.; Andrade, S.M.; Neves, M.G.; Cavaleiro, J.A.S.; Costa, S.M.B. J-aggregate formation in bis-(4-carboxyphenyl) porphyrins in water: pH and counterion dependence. New J. Chem. 2010, 34, 2757–2765. [Google Scholar] [CrossRef]
- Ajit, S.; Palaniappan, S.; Kumar, P.U.; Madhusudhanachary, P. One-pot direct synthesis of fluorescent polyaniline-porphyrin macrospheres from porphyrin. J. Polym. Sci. Part A Polym. Chem. 2012, 50, 884–889. [Google Scholar] [CrossRef]
- Toyao, T.; Ueno, N.; Miyahara, K.; Matsui, Y.; Kim, T.-H.; Horiuchi, Y.; Ikeda, H.; Matsuoka, M. Visible-light, photoredox catalyzed, oxidative hydroxylation of arylboronic acids using a metal–organic framework containing tetrakis (carboxyphenyl) porphyrin groups. Chem. Commun. 2015, 51, 16103–16106. [Google Scholar] [CrossRef]
- Maiti, N.C.; Mazumdar, S.; Periasamy, N. J-and H-aggregates of porphyrin− surfactant complexes: Time-resolved fluorescence and other spectroscopic studies. J. Phys. Chem. B 1998, 102, 1528–1538. [Google Scholar] [CrossRef]
- Abraham, B.; Nieto-Pescador, J.; Gundlach, L. Ultrafast relaxation dynamics of photoexcited zinc-porphyrin: Electronic-vibrational coupling. J. Phys. Chem. Lett. 2016, 7, 3151–3156. [Google Scholar] [CrossRef] [PubMed]
- Shanmugam, S.; Xu, J.; Boyer, C. Exploiting metalloporphyrins for selective living radical polymerization tunable over visible wavelengths. J. Am. Chem. Soc. 2015, 137, 9174–9185. [Google Scholar] [CrossRef]
- Ishida, Y.; Shimada, T.; Masui, D.; Tachibana, H.; Inoue, H.; Takagi, S. Efficient Excited Energy Transfer Reaction in Clay/Porphyrin Complex toward an Artificial Light-Harvesting System. J. Am. Chem. Soc. 2011, 133, 14280–14286. [Google Scholar] [CrossRef] [PubMed]
- Akins, D.L.; Zhu, H.-R.; Guo, C. Aggregation of Tetraaryl-Substituted Porphyrins in Homogeneous Solution. J. Phys. Chem. 1996, 100, 5420–5425. [Google Scholar] [CrossRef]
- Luo, D.; Huang, Y.; Hong, X.; Chen, D.; Li, G.; Huang, X.; Gao, W.; Liu, M.; Zhou, Y.; Wu, H. Phthalocyanine Zinc-catalyzed Hydroxylation of Aryl Boronic Acids under Visible Light. Adv. Synth. Catal. 2019, 361, 961–964. [Google Scholar] [CrossRef]
- Shin, E.-J.; Joo, S.-R.; Kim, S.-H. Cooperation of biopolymer chitosan with hydrogen peroxide for ipso-hydroxylation of arylboronic acids under green conditions. Tetrahedron Lett. 2019, 60, 1509–1513. [Google Scholar] [CrossRef]
- Jiang, H.; Lykke, L.; Pedersen, S.U.; Xiao, W.-J.; Jørgensen, K.A. A practical electromediated ipso-hydroxylation of aryl and alkyl boronic acids under an air atmosphere. Chem. Commun. 2012, 48, 7203–7205. [Google Scholar] [CrossRef]
- Stejskal, J.; Gilbert, R.G. Polyaniline. Preparation of a conducting polymer (IUPAC technical report). Pure Appl. Chem. 2002, 74, 857–867. [Google Scholar] [CrossRef]
- MacDiarmid, A.G.; Epstein, A.J. Polyaniline: Synthesis, Chemistry and Processing; Pennsylvania Univ. Philadelphia Dept. of Chemistry: Philadelphia, PA, USA, 1992. [Google Scholar]
- Abu-Thabit, N.Y. Chemical oxidative polymerization of polyaniline: A practical approach for preparation of smart conductive textiles. J. Chem. Educ. 2016, 93, 1606–1611. [Google Scholar] [CrossRef]
Publisher’s Note: MDPI stays neutral with regard to jurisdictional claims in published maps and institutional affiliations. |
© 2020 by the authors. Licensee MDPI, Basel, Switzerland. This article is an open access article distributed under the terms and conditions of the Creative Commons Attribution (CC BY) license (http://creativecommons.org/licenses/by/4.0/).



