Using Choline Chloride-Based DESs as Co-Solvent for 3,5-Bis(trifluoromethyl) Acetophenone Bioreduction with Rhodococcus erythropolis XS1012
Abstract
1. Introduction
2. Results and Discussion
2.1. The Bioreduction Carried out in Phosphate Buffer System
2.2. Screening of Choline Chloride-Based Deep Eutectic Solvents (DES)
2.3. Influence of Various DESs on Cell Membrane Permeability
2.4. Effect of Various DESs on Cell Activity
2.5. Effects of [ChCl][U] and Its Components on the Asymmetric Reduction
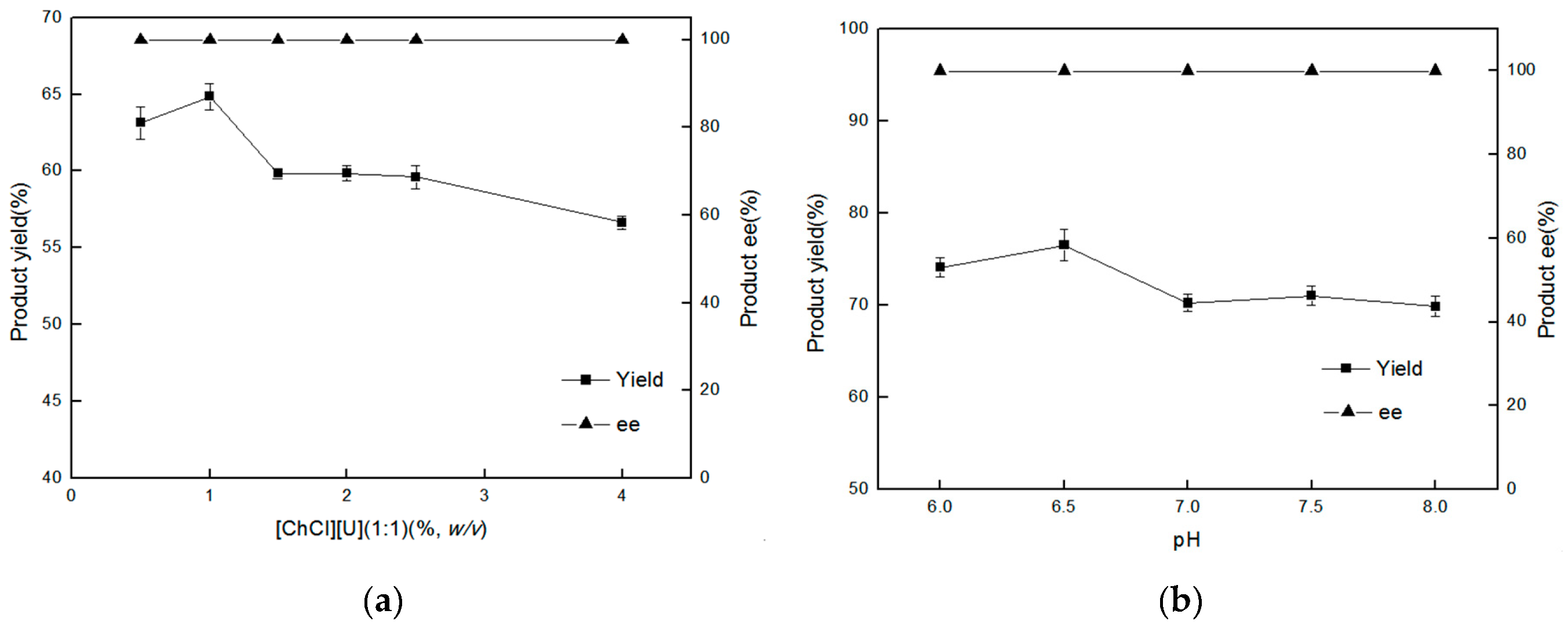
2.6. Effects of [ChCl][U](1:1) Content, Diverse Buffer Systems, Buffer pH on Asymmetric Reduction
2.7. Effects of the Type and Content of Co-Substrates, Reaction Temperature on the Asymmetric Reduction of BTAP in [ChCl][U]-Containing Phosphate Buffer System
2.8. Effects of Cell Concentration, Substrate Concentration and Reaction Time on the Asymmetric Reduction of BTAP in [ChCl][U](1:1)-Containing Phosphate Buffer System
2.9. Comparison of the Bioreduction in [ChCl][U](1:1)-Containing Phosphate Buffer System and Phosphate Buffer System
3. Materials and Methods
3.1. Chemicals
3.2. Culture of the Strain
3.3. Bioreduction Process and Screening of DESs
3.4. GC Analysis Methods
3.5. Cell Membrane Permeability Assay
3.6. Metabolic Activity Retention (MAR) Assay
3.7. Effect of [ChCl][U] and Its Components on the Asymmetric Reduction
3.8. Impact of Vital Parameters on the Bioreduction
3.8.1. Optimization of [ChCl][U](1:1) Content, Selection of Buffer Systems and Buffer pH
3.8.2. Screening of Co-Substrate, Optimization of Co-Substrate Content, Reaction Temperature in [ChCl][U](1:1)-Containing Phosphate Buffer System
3.8.3. Optimization of Cell Concentration, Substrate Concentration and Reaction Time in [ChCl][U](1:1)-Containing Phosphate Buffer System
3.8.4. The Comparison of Bioreduction in [ChCl][U](1:1)-Containing Phosphate Buffer System and Phosphate Buffer System
4. Conclusions
Supplementary Materials
Author Contributions
Funding
Conflicts of Interest
References
- Smith, S.W. Chiral Toxicology: It’s the same thing...only different. Toxicol. Sci. 2009, 110, 4–30. [Google Scholar] [CrossRef]
- Daniel, K.G.; Guida, W.C.; Brooks, W.H. The significance of chirality in drug design and development. Curr. Top. Med. Chem. 2011, 11, 760–770. [Google Scholar]
- Pollard, D.; Truppo, M.; Pollard, J.; Chen, C.; Moore, J. Effective synthesis of (S)-3,5-bistrifluoromethylphenyl ethanol by asymmetric enzymatic reduction. Tetrahedron Asymmetry 2006, 17, 554–559. [Google Scholar] [CrossRef]
- Molnár, Z.; Farkas, E.; Lakó, Á.; Erdélyi, B.; Kroutil, W.; Vértessy, B.G.; Poppe, L. Immobilized whole-cell transaminase biocatalysts for continuous-flow kinetic resolution of amines. Catalysts 2019, 9, 438. [Google Scholar] [CrossRef]
- Lye, G.J.; Woodley, J.M. Application of in-situ product removal W4561techniques to biocatalytic processes. Trends Biotechnol. 1999, 17, 395–402. [Google Scholar] [CrossRef]
- Ni, Y.; Xu, J.H. Biocatalytic ketone reduction: A green and efficient access to enantiopure alcohols. Biotechnol. Adv. 2012, 30, 1279–1288. [Google Scholar] [CrossRef] [PubMed]
- Sheldon, R.A. Biocatalysis and biomass conversion in alternative reaction media. Chem. Eur. J. 2016, 22, 12984–12999. [Google Scholar] [CrossRef] [PubMed]
- Zhang, F.; Xue, Y.; Li, L.; Wang, M. Asymmetric reduction of 3,5-bistrifluoromethyl acetophenone with NADH regeneration by immobilized cells of Saccharomyces rhodotorula in aqueous-organic solvent biphasic system. Chin. J. Process Eng. 2011, 11, 124–129. [Google Scholar]
- Wang, P.; Su, H.Z.; Sun, L.M.; He, J.Y.; Lu, Y.P. Asymmetric bioreduction of 3,5-bis(trifluoromethyl) acetophenone to its corresponding alcohol by Candida troplcalis. Chin. J. Chem. Eng. 2011, 19, 1028–1032. [Google Scholar] [CrossRef]
- Li, J.; Wang, P.; Huang, J.; Sun, J. Design and application of a novel ionic liquid with the property of strengthening coenzyme regeneration for whole-cell bioreduction in an ionic liquid-distilled water medium. Bioresour. Technol. 2015, 175, 42–50. [Google Scholar] [CrossRef]
- Del, P.; Mario, G.; Voth, G.A. On the structure and dynamics of ionic liquids. J. Phys. Chem. B 2004, 108, 1744–1752. [Google Scholar]
- Hallett, J.P.; Welton, T. Room-temperature ionic liquids: Solvents for synthesis and catalysis. Chem. Rev. 2011, 111, 3508–3576. [Google Scholar] [CrossRef] [PubMed]
- Vicente, G.F.; Caroline, E.P. Deep eutectic solvents for redoxbiocatalysis. J. Biotechnol. 2019, 293, 24–35. [Google Scholar]
- Vitale, P.; Abbinante, V.M.; Perna, F.M.; Salomone, A.; Cardellicchio, C.; Capriati, V. Unveiling the hidden performance of whole cells in the asymmetric bioreduction of aryl-containing ketones in aqueous deep eutectic solvents. Adv. Sythesis Catal. 2016, 359, 1049–1057. [Google Scholar] [CrossRef]
- Vitale, P.; Perna, F.; Agrimi, G.; Pisano, I.; Mirizzi, F.; Capobianco, R.; Capriati, V. Whole-cell biocatalyst for chemoenzymatic total synthesis of rivastigmine. Catalysts 2018, 8, 55. [Google Scholar] [CrossRef]
- Alonso, D.A.; Baeza, A.; Chinchilla, R.; Guillena, G.; Pastor, I.M.; Ramón, D.J. Deep eutectic solvents: The organic reaction medium of the century. Eur. J. Org. Chem. 2016, 47, 612–632. [Google Scholar] [CrossRef]
- Qian, H.; Liu, C.; Yang, Q.; Liu, X.; Gao, H.; Zhou, W. Extraction of pyrethroid insecticides in juice and tea beverage by liquid-phase microextraction using deep eutectic solvents. Anal. Methods 2019, 11, 4923–4930. [Google Scholar] [CrossRef]
- Zhang, Q.; Karine, D.O.V.; Royer, S.; Jérôme, F. Deep eutectic solvents: Synthesis, properties and applications. Chem. Soc. Rev. 2012, 41, 7108–7146. [Google Scholar] [CrossRef]
- Mao, S.H.; Yu, L.; Ji, S.X.; Lu, F.P. Evaluation of deep eutectic solvents as co-solvent for steroids 1-en-dehydrogenation biotransformation by Arthrobacter simplex. J. Chem. Technol. Biotechnol. 2015, 91, 1099–1104. [Google Scholar] [CrossRef]
- Wang, P.; Li, J.; Huang, J. Rhodococcus erythropolis XS1012 and Its Application in the Preparation of Chiral Alcohol. C.N. Patent 103773724 A, 7 May 2014. [Google Scholar]
- Lindberg, D.; Revenga, M.D.L.F.; Widersten, M. Deep eutectic solvents (DESs) are viable cosolvents for enzyme-catalyzed epoxide hydrolysis. J. Biotechnol. 2010, 14, 169–171. [Google Scholar] [CrossRef]
- Juneidi, I.; Hayyan, M.; Hashim, M.A. Intensification of biotransformations using deep eutectic solvents: Overview and outlook. Process Biochem. 2018, 66, 33–60. [Google Scholar] [CrossRef]
- Jing, B.; Lan, N.; Qiu, J.; Zhu, Y. Interaction of ionic liquids with lipid bilayer: A biophysical study of ionic liquid cytotoxicity. J. Phys. Chem. B 2016, 120, 2781–2789. [Google Scholar] [CrossRef] [PubMed]
- Xu, P.; Du, P.X.; Zong, M.H.; Li, N.; Lou, W.Y. Combination of deep eutectic solvent and ionic liquid to improve biocatalytic reduction of 2-octanone with Acetobacter pasteurianus GIM1.158 cell. Sci. Rep. 2016, 6, 26158. [Google Scholar] [CrossRef] [PubMed]
- Hayyan, M.; Hashim, M.A.; Hayyan, A.; Al-Saadi, M.A.; AINashef, I.M. Are deep eutectic solvents benign or toxic? Chemosphere 2013, 90, 2193–2195. [Google Scholar] [CrossRef]
- Mjalli, F.S.; Mousa, H. Viscosity of aqueous ionic liquids analogues as a function of water content and temperature. Chin. J. Chem. Eng. 2017, 25, 1877–1883. [Google Scholar] [CrossRef]
- Yu, G.; Li, X.; Liu, X.; Asumana, C.; Chen, X. Deep desulfurization of fuel oils using low-viscosity 1-ethyl-3-methylimidazolium dicyanamide ionic liquid. Ind. Eng. Chem. Res. 2011, 50, 2236–2244. [Google Scholar] [CrossRef]
- Kratzer, R.; Woodley, J.M.; Nidetzky, B. Rules for biocatalyst and reaction engineering to implement effective, NAD(P)H-dependent, whole cell bioreductions. Biotechnol. Adv. 2015, 33, 1641–1652. [Google Scholar] [CrossRef]
- Chen, Y.; Xia, N.N.; Liu, Y.W.; Wang, P. Efficient biocatalytic preparation of optically pure (R)-1-[4-(trifluoromethyl)phenyl]ethanol by recombinant whole-cell-mediated reduction. Catalysts 2019, 9, 391. [Google Scholar] [CrossRef]
- Church, A.S.; Witting, M.D. Laboratory testing in ethanol, methanol, ethylene glycol, and isopropanol toxicities. J. Emerg. Med. 1997, 15, 687–692. [Google Scholar] [CrossRef]
- Zhang, W.A.; Zhao, Z.Y.; Wang, Z.; Guo, C.; Wang, C.; Zhao, R.; Wang, L. Lipase-catalyzed synthesis of indolyl 4H-chromenes via a multicomponent reaction in ionic liquid. Catalysts 2017, 7, 185. [Google Scholar] [CrossRef]






| DESs | Yield (%) | e.e. (%) |
|---|---|---|
| Control | 53.2 | >99.9 |
| [ChCl][Ala](1:1) | 54.9 | >99.9 |
| [ChCl][Cys](1:1) | 57.7 | >99.9 |
| [ChCl][EG](1:1) | 50.0 | >99.9 |
| [ChCl][Glu](1:1) | 52.7 | >99.9 |
| [ChCl][Gly](1:1) | 50.5 | >99.9 |
| [ChCl][GSH](1:1) | 54.9 | >99.9 |
| [ChCl][IPA](1:1) | 50.1 | >99.9 |
| [ChCl][Lys](1:1) | 52.1 | >99.9 |
| [ChCl][Trp](1:1) | 49.4 | >99.9 |
| [ChCl][Tyr](1:1) | 57.6 | >99.9 |
| [ChCl][U](1:1) | 64.9 | >99.9 |
| [ChCl][U](1:2) | 64.3 | >99.9 |
| [ChCl][U](2:1) | 55.3 | >99.9 |
| DESs | Net OD260nm | Net OD280nm |
|---|---|---|
| Control | 0.232 | 0.873 |
| [ChCl][Ala](1:1) | 0.274 | 0.866 |
| [ChCl][Cys](1:1) | 0.279 | 0.932 |
| [ChCl][EG](1:1) | 0.242 | 0.846 |
| [ChCl][Glu](1:1) | 0.283 | 0.860 |
| [ChCl][Gly](1:1) | 0.257 | 0.844 |
| [ChCl][GSH](1:1) | 0.274 | 0.834 |
| [ChCl][IPA](1:1) | 0.287 | 0.844 |
| [ChCl][Lys](1:1) | 0.347 | 0.953 |
| [ChCl][Trp](1:1) | 0.275 | 0.871 |
| [ChCl][Tyr](1:1) | 0.241 | 0.897 |
| [ChCl][U](1:1) | 0.292 | 0.956 |
| [ChCl][U](1:2) | 0.296 | 0.934 |
| [ChCl][U](2:1) | 0.281 | 0.935 |
| Buffer System | Yield (%) | e.e. (%) |
|---|---|---|
| Na2HPO4-NaH2PO4 | 64.9 | >99.9 |
| K2HPO4-KH2PO4 | 70.2 | >99.9 |
| Tris-HCl | 66.9 | >99.9 |
| Na2HPO4-KH2PO4 | 59.4 | >99.9 |
| Distilled water | 61.3 | >99.9 |
| Co-Substrates | Content | Yield (%) | e.e. (%) |
|---|---|---|---|
| Control | --- | 0.2 | >99.9 |
| Fructose | 50 g/L | 12.0 | >99.9 |
| Maltose | 50 g/L | 15.8 | >99.9 |
| Glucose | 50 g/L | 15.8 | >99.9 |
| Sucrose | 50 g/L | 13.5 | >99.9 |
| Methanol | 10% (v/v) | --- | >99.9 |
| Ethanol | 10% (v/v) | 2.8 | >99.9 |
| Glycerin | 10% (v/v) | --- | >99.9 |
| Isopropanol | 10% (v/v) | 76.1 | >99.9 |
| Isopropanol + glucose | 10% (v/v) + 50 g/L | 76.5 | >99.9 |
© 2019 by the authors. Licensee MDPI, Basel, Switzerland. This article is an open access article distributed under the terms and conditions of the Creative Commons Attribution (CC BY) license (http://creativecommons.org/licenses/by/4.0/).
Share and Cite
Chen, H.; Qian, F.; Lin, H.; Chen, W.; Wang, P. Using Choline Chloride-Based DESs as Co-Solvent for 3,5-Bis(trifluoromethyl) Acetophenone Bioreduction with Rhodococcus erythropolis XS1012. Catalysts 2020, 10, 30. https://doi.org/10.3390/catal10010030
Chen H, Qian F, Lin H, Chen W, Wang P. Using Choline Chloride-Based DESs as Co-Solvent for 3,5-Bis(trifluoromethyl) Acetophenone Bioreduction with Rhodococcus erythropolis XS1012. Catalysts. 2020; 10(1):30. https://doi.org/10.3390/catal10010030
Chicago/Turabian StyleChen, Hejie, Feng Qian, Hongxin Lin, Weiqing Chen, and Pu Wang. 2020. "Using Choline Chloride-Based DESs as Co-Solvent for 3,5-Bis(trifluoromethyl) Acetophenone Bioreduction with Rhodococcus erythropolis XS1012" Catalysts 10, no. 1: 30. https://doi.org/10.3390/catal10010030
APA StyleChen, H., Qian, F., Lin, H., Chen, W., & Wang, P. (2020). Using Choline Chloride-Based DESs as Co-Solvent for 3,5-Bis(trifluoromethyl) Acetophenone Bioreduction with Rhodococcus erythropolis XS1012. Catalysts, 10(1), 30. https://doi.org/10.3390/catal10010030
