Impact of Bowel Cleansing on Polyp and Adenoma Detection Rate: Post-Hoc Analysis of a Randomized Clinical Trial
Simple Summary
Abstract
1. Introduction
2. Materials and Methods
2.1. Study Design and Participants
2.2. Assessments and Measurement
2.3. Statistical Analysis
3. Results
3.1. Type and Morphology of Lesions Detected
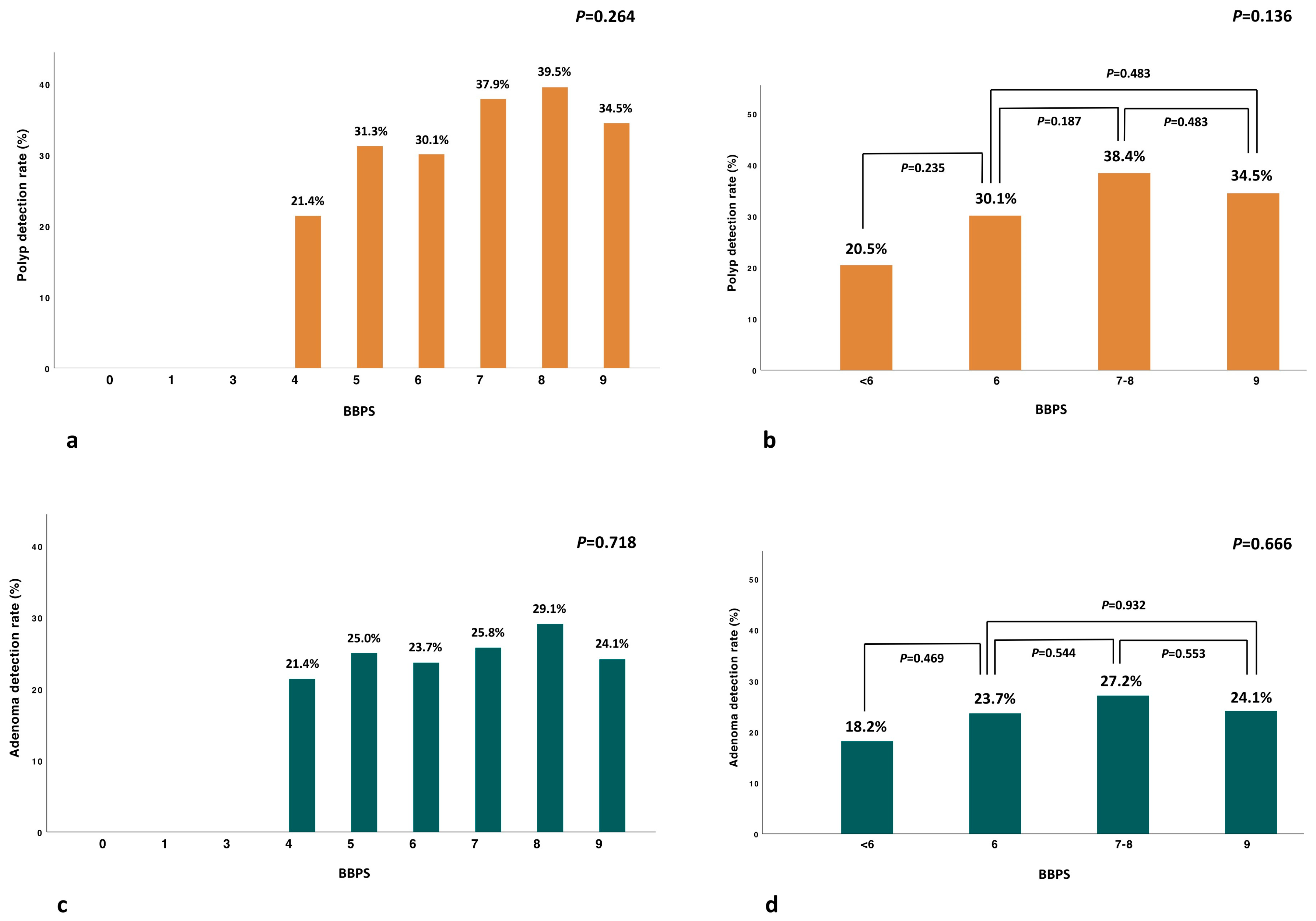
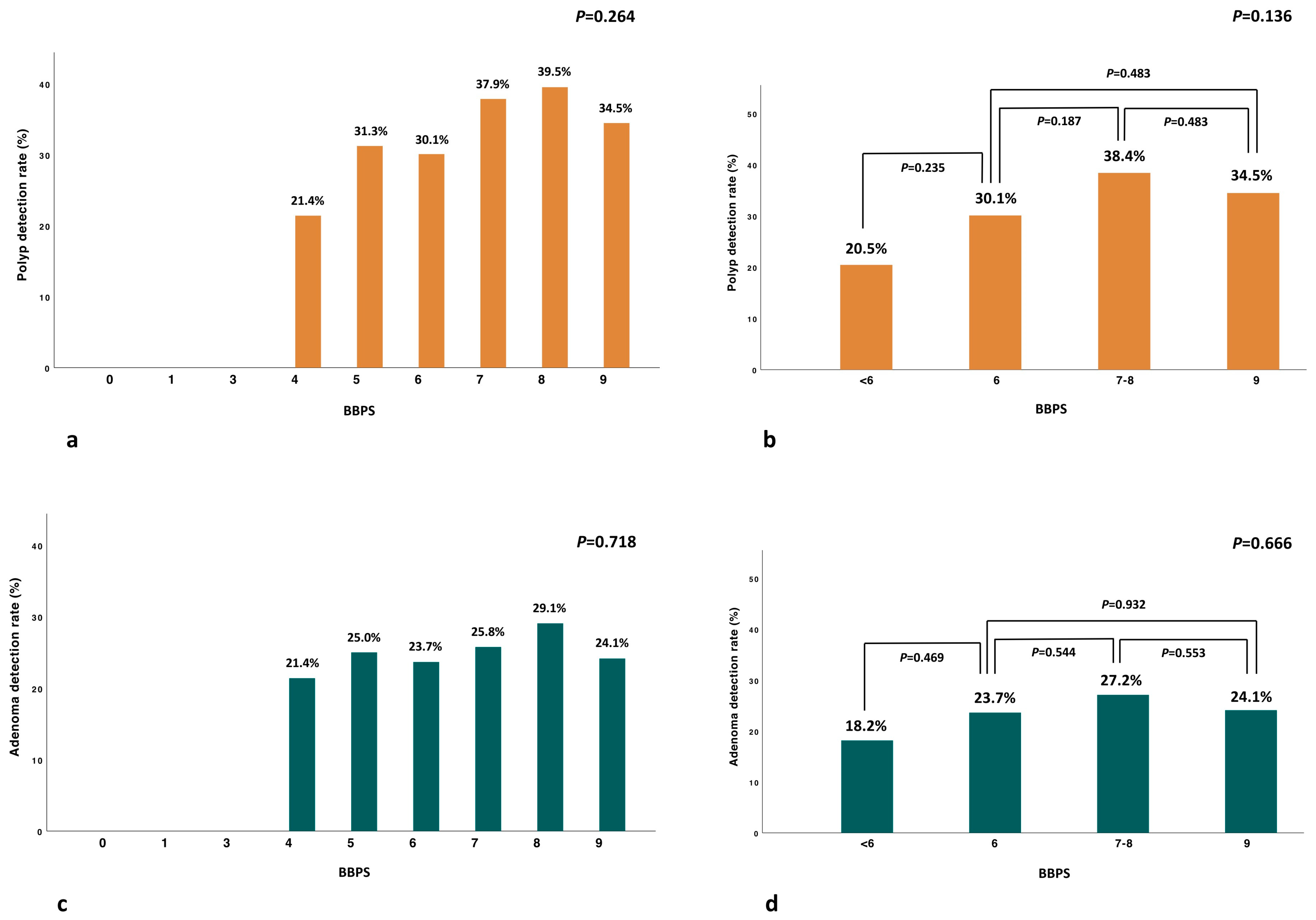
3.2. Lesion Detection Rate by Quality of Bowel Cleansing
3.3. Lesion Detection Rate by Colonic Segments
3.4. Lesion Detection Rate by Type of Bowel Preparation
3.5. Predictors of Lesion Detection Rate
4. Discussion
5. Conclusions
Supplementary Materials
Author Contributions
Funding
Institutional Review Board Statement
Informed Consent Statement
Data Availability Statement
Acknowledgments
Conflicts of Interest
Abbreviations
| CRC | Colorectal Cancer |
| ADR | Adenoma Detection Rate |
| I-CRC | Interval Colorectal Cancer |
| ASGE | American Society for Gastrointestinal Endoscopy |
| ACG | American College of Gastroenterology |
| ESGE | European Society of Gastrointestinal Endoscopy |
| BBPS | Boston Bowel Preparation Scale |
| RCT | Randomized Clinical Trial |
| PEG | Polyethylene Glycol |
| ASC | Ascorbate |
| PEG+ASC | Polyethylene Glycol plus Ascorbate |
| PDR | Polyp Detection Rate |
| CS | Cleansing Success |
| HQC | High-Quality Cleansing |
| EC | Excellent Cleansing |
| APC | Adenoma Per Colonoscopy |
| OR | Odds Ratio |
| CI | Confidence Interval |
References
- Løberg, M.; Kalager, M.; Holme, Ø.; Hoff, G.; Adami, H.-O.; Bretthauer, M. Long-term colorectal-cancer mortality after adenoma removal. N. Engl. J. Med. 2014, 371, 799–807. [Google Scholar] [CrossRef] [PubMed]
- Baxter, N.N.; Goldwasser, M.A.; Paszat, L.F.; Saskin, R.; Urbach, D.R.; Rabeneck, L.; Urbach, D.R. Association of colonoscopy and death from colorectal cancer. Ann. Intern. Med. 2009, 150, 1–8. [Google Scholar] [CrossRef] [PubMed]
- Kaminski, M.F.; Regula, J.; Kraszewska, E.; Polkowski, M.; Wojciechowska, U.; Didkowska, J.; Zwierko, M.; Rupinski, M.; Nowacki, M.P.; Butruk, E. Quality indicators for colonoscopy and the risk of interval cancer. N. Engl. J. Med. 2010, 362, 1795–1803. [Google Scholar] [CrossRef] [PubMed]
- Kaminski, M.F.; Wieszczy, P.; Rupinski, M.; Wojciechowska, U.; Didkowska, J.; Kraszewska, E.; Kobiela, J.; Franczyk, R.; Rupinska, M.; Kocot, B.; et al. Increased Rate of Adenoma Detection Associates with Reduced Risk of Colorectal Cancer and Death. Gastroenterology 2017, 153, 98–105. [Google Scholar] [CrossRef] [PubMed]
- Maida, M.; Morreale, G.; Sinagra, E.; Ianiro, G.; Margherita, V.; Cipolla, A.C.; Camilleri, S. Quality measures improving endoscopic screening of colorectal cancer: A review of the literature. Expert Rev. Anticancer. Ther. 2019, 19, 223–235. [Google Scholar] [CrossRef] [PubMed]
- Cohen, J.; Pike, I.M. Defining and measuring quality in endoscopy. Gastrointest. Endosc. 2015, 81, 46–47. [Google Scholar] [CrossRef] [PubMed]
- Kaminski, M.F.; Thomas-Gibson, S.; Bugajski, M.; Bretthauer, M.; Rees, C.; Dekker, E.; Hoff, G.; Jover, R.; Suchanek, S.; Ferlitsch, M.; et al. Performance measures for lower gastrointestinal endoscopy: A European Society of Gastrointestinal Endoscopy (ESGE) Quality Improvement Initiative. Endoscopy 2017, 49, 378–397. [Google Scholar] [CrossRef] [PubMed]
- Hassan, C.; Manning, J.; Álvarez González, M.A.; Sharma, P.; Epstein, M.; Bisschops, R. Improved detection of colorectal adenomas by high-quality colon cleansing. Endosc. Int. Open 2020, 8, E928–E937. [Google Scholar] [CrossRef] [PubMed] [PubMed Central]
- Guo, R.; Wang, Y.J.; Liu, M.; Ge, J.; Zhang, L.-Y.; Ma, L.; Huang, W.-Y.; Zhai, H.-H. The effect of quality of segmental bowel preparation on adenoma detection rate. BMC Gastroenterol. 2019, 19, 119. [Google Scholar] [CrossRef] [PubMed] [PubMed Central]
- Clark, B.T.; Laine, L. High-quality Bowel Preparation Is Required for Detection of Sessile Serrated Polyps. Clin. Gastroenterol. Hepatol. 2016, 14, 1155–1162. [Google Scholar] [CrossRef] [PubMed] [PubMed Central]
- Li, Y.; Meng, F.; Cao, R.; Gao, C.; Su, D.; Wang, K.; Han, J.; Qi, X. Excellent Bowel Preparation Quality Is Not Superior to Good Bowel Preparation Quality for Improving Adenoma/Polyp Detection Rate. Clin. Med. Insights Oncol. 2024, 18, 11795549241229190. [Google Scholar] [CrossRef] [PubMed] [PubMed Central]
- Vassallo, R.; Maida, M.; Zullo, A.; Venezia, L.; Montalbano, L.; Di Mitri, R.; Peralta, M.; Virgilio, C.; Pallio, S.; Pluchino, D.; et al. Efficacy of 1 L polyethylene glycol plus ascorbate versus 4 L polyethylene glycol in split-dose for colonoscopy cleansing in out and inpatient: A multicentre, randomized trial (OVER 2019). Dig. Liver Dis. 2024, 56, 495–501. [Google Scholar] [CrossRef] [PubMed]
- Hassan, C.; East, J.; Radaelli, F.; Spada, C.; Benamouzig, R.; Bisschops, R.; Bretthauer, M.; Dekker, E.; Dinis-Ribeiro, M.; Ferlitsch, M.; et al. Bowel preparation for colonoscopy: European Society of Gastrointestinal Endoscopy (ESGE) Guideline—Update 2019. Endoscopy 2019, 51, 775–794. [Google Scholar] [CrossRef] [PubMed]
- Lai, E.J.; Calderwood, A.H.; Doros, G.; Fix, O.K.; Jacobson, B.C. The Boston bowel preparation scale: A valid and reliable instrument for colonoscopy-oriented research. Gastrointest. Endosc. 2009, 69 Pt 2, 620–625. [Google Scholar] [CrossRef] [PubMed] [PubMed Central]
- Repici, A.; Spada, C.; Cannizzaro, R.; Traina, M.; Maselli, R.; Maiero, S.; Galtieri, A.; Guarnieri, G.; Di Leo, M.; Lorenzetti, R.; et al. Novel 1-L polyethylene glycol + ascorbate versus high-volume polyethylene glycol regimen for colonoscopy cleansing: A multicenter, randomized, phase IV study. Gastrointest. Endosc. 2021, 94, 823–831.e9. [Google Scholar] [CrossRef] [PubMed]
- Maida, M.; Ventimiglia, M.; Facciorusso, A.; Vitello, A.; Sinagra, E.; Marasco, G. Effectiveness and safety of 1-L PEG-ASC versus other bowel preparations for colonoscopy: A meta-analysis of nine randomized clinical trials. Dig. Liver Dis. 2023, 55, 1010–1018, Erratum in Dig. Liver Dis. 2023, 55, 1782. [Google Scholar] [CrossRef] [PubMed]
- Shaukat, A.; Rector, T.S.; Church, T.R.; Lederle, F.A.; Kim, A.S.; Rank, J.M.; Allen, J.I. Longer Withdrawal Time Is Associated with a Reduced Incidence of Interval Cancer After Screening Colonoscopy. Gastroenterology 2015, 149, 952–957. [Google Scholar] [CrossRef] [PubMed]


| 4L PEG | 1L PEG+ASC | Odds Ratio (CI-95%) | p Value | |
|---|---|---|---|---|
| Morphology of polyps | ||||
| Adenoma | 0.843 | |||
| - Pedunculated | 11 (16.0%) | 15 (17.6%) | 1 | |
| - Sessile | 39 (56.5%) | 50 (58.8%) | 0.94 (0.38–2.27) | |
| - Flat | 19 (27.5%) | 20 (23.6%) | 0.77 (0.28–2.09) | |
| Missing values | 2 | 0 | ||
| Non-adenomatous polyps | 0.032 | |||
| - Sessile | 25 (83.3%) | 20 (58.8%) | 1 | |
| - Flat | 5 (16.7%) | 14 (41.2%) | 3.50 (1.07–11.27) | |
| Missing values | 0 | 1 | ||
| Location of polyps | ||||
| Adenoma | 0.403 | |||
| - Proximal † | 51 (71.8%) | 66 (77.6%) | 1 | |
| - Rectosigmoid | 20 (28.2%) | 19 (22.4%) | 0.73 (0.35–1.51) | |
| Non-adenomatous polyps | 0.717 | |||
| - Proximal † | 19 (63.3%) | 23 (67.6%) | 1 | |
| - Rectosigmoid | 11 (36.7%) | 11 (32.4%) | 0.82 (0.29–2.32) | |
| Missing values | 0 | 1 | ||
| Overall | ||||
| - Total number of polyps | 101 | 120 | ||
| - Pedunculated | 11 (11.1%) | 15 (12.6%) | 1 | 0.677 |
| - Sessile | 64 (64.6%) | 70 (58.8%) | 0.80 (0.34–1.87) | |
| - Flat | 24 (24.2%) | 34 (28.6%) | 1.03 (0.40–2.65) | |
| - Proximal † | 70 (69.3%) | 89 (74.8%) | 1 | 0.365 |
| - Rectosigmoid | 31 (30.7%) | 30 (25.2%) | 0.76 (0.42–1.37) |
| Polyp Detection Rate (PDR) | Adenoma Detection Rate (ADR) | |||||||||||
|---|---|---|---|---|---|---|---|---|---|---|---|---|
| Cleansing Success | High-Quality Cleansing | Cleansing Success | High-Quality Cleansing | |||||||||
| BBPS < 6 | BBPS ≥ 6 * | p | BBPS = 7–8 | BBPS = 9 | p | BBPS < 6 | BBPS ≥ 6 * | p | BBPS = 7–8 | BBPS = 9 | p | |
| Overall colon | 18.5% | 35.6% | 0.013 | 38.4% | 34.5% | 0.483 | 16.7% | 25.6% | 0.153 | 27.2% | 24.1% | 0.553 |
| Cleansing success | High-quality cleansing | Cleansing success | High-quality cleansing | |||||||||
| Segmental colon | BBPS < 2 | BBPS ≥ 2 | p | BBPS < 3 | BBPS = 3 | p | BBPS < 2 | BBPS ≥ 2 | p | BBPS < 3 | BBPS = 3 | p |
| -Right colon | 17.9% | 19.7% | 0.813 | 18.5% | 20.9% | 0.541 | 17.9% | 15.3% | 0.723 | 14.9% | 15.8% | 0.796 |
| -Transverse colon | 0% | 7.3% | 0.779 | 5.8% | 3.8% | 0.686 | 0% | 4.1% | 0.835 | 1.9% | 3.8% | 0.540 |
| -Left colon | 0% | 17.8% | 0.641 | 16.7% | 18.7% | 0.602 | 0% | 11.0% | 0.725 | 10.1% | 11.6% | 0.634 |
| Polyp Detection Rate (PDR) | |||||
|---|---|---|---|---|---|
| Univariable Analysis | Multivariable Analysis | ||||
| Variable | No Polyp Detected (N = 288) | Polyp Detected (N = 145) | p Value | Odds Ratios (CI-95%) | p Value |
| Age | 56.8 ± 15.9 | 64.1 ± 11.2 | <0.001 | 1.040 (1.023–1.057) | <0.001 |
| Preparation regimen | |||||
| -Afternoon morning | 186 (64.6%) | 111 (76.6%) | 0.011 | 1.602 (0.984–2.606) | 0.058 |
| -Same-day | 102 (35.4%) | 34 (23.4%) | |||
| Cleansing success | 244 (84.7%) | 136 (93.8%) | 0.077 | 2.250 (1.009–5.020) | 0.048 |
| Cecal intubation | 275 (95.5%) | 144 (99.3%) | 0.034 | 4.584 (0.509–41.330) | 0.175 |
| Withdrawal time | 9.0 ± 3.1 | 11.1 ± 4.3 | <0.001 | 1.155 (1.079–1.236) | <0.001 |
| Adenoma Detection Rate (ADR) | |||||
|---|---|---|---|---|---|
| Univariable Analysis | Multivariable Analysis | ||||
| Variable | No Adenoma Detected (N = 327) | Adenoma Detected (N = 106) | p Value | Odds Ratios (CI-95%) | p Value |
| Age | 57.4 ± 15.3 | 64.8 ± 11.8 | <0.001 | 1.042 (1.021–1.063) | <0.001 |
| Diabetes | 37 (11.3%) | 20 (18.9%) | 0.046 | 1.035 (0.522–2.051) | 0.923 |
| Preparation regimen | |||||
| - Afternoon-morning | 215 (65.7%) | 82 (77.4%) | 0.025 | 1.668 (0.957–2.907) | 0.071 |
| - Same-day | 112 (34.3%) | 24 (22.6%) | |||
| Preparation duration | 2.8 ± 2.0 | 3.4 ± 3.0 | 0.018 | 1.094 (0.999–1.198) | 0.051 |
| Intubation time | 8.7 ± 4.1 | 7.8 ± 2.8 | 0.043 | 0.891 (0.816–0.972) | 0.010 |
| Withdrawal time | 9.2 ± 3.2 | 11.3 ± 4.6 | <0.001 | 1.171 (1.094–1.253) | <0.001 |
| Compliance with bowel preparation (I dose) | |||||
| - 100% intake of overall volume | 308 (94.2%) | 105 (99.1%) | 0.038 | 8.368 (1.025–68.331) | 0.047 |
| - <100% intake of overall volume | 19 (5.8%) | 1 (0.9%) | |||
Disclaimer/Publisher’s Note: The statements, opinions and data contained in all publications are solely those of the individual author(s) and contributor(s) and not of MDPI and/or the editor(s). MDPI and/or the editor(s) disclaim responsibility for any injury to people or property resulting from any ideas, methods, instructions or products referred to in the content. |
© 2025 by the authors. Licensee MDPI, Basel, Switzerland. This article is an open access article distributed under the terms and conditions of the Creative Commons Attribution (CC BY) license (https://creativecommons.org/licenses/by/4.0/).
Share and Cite
Maida, M.; Vassallo, R.; Vitello, A.; Zullo, A.; Venezia, L.; Facciorusso, A. Impact of Bowel Cleansing on Polyp and Adenoma Detection Rate: Post-Hoc Analysis of a Randomized Clinical Trial. Cancers 2025, 17, 1421. https://doi.org/10.3390/cancers17091421
Maida M, Vassallo R, Vitello A, Zullo A, Venezia L, Facciorusso A. Impact of Bowel Cleansing on Polyp and Adenoma Detection Rate: Post-Hoc Analysis of a Randomized Clinical Trial. Cancers. 2025; 17(9):1421. https://doi.org/10.3390/cancers17091421
Chicago/Turabian StyleMaida, Marcello, Roberto Vassallo, Alessandro Vitello, Angelo Zullo, Ludovica Venezia, and Antonio Facciorusso. 2025. "Impact of Bowel Cleansing on Polyp and Adenoma Detection Rate: Post-Hoc Analysis of a Randomized Clinical Trial" Cancers 17, no. 9: 1421. https://doi.org/10.3390/cancers17091421
APA StyleMaida, M., Vassallo, R., Vitello, A., Zullo, A., Venezia, L., & Facciorusso, A. (2025). Impact of Bowel Cleansing on Polyp and Adenoma Detection Rate: Post-Hoc Analysis of a Randomized Clinical Trial. Cancers, 17(9), 1421. https://doi.org/10.3390/cancers17091421

