The Role of Blood Inflammatory Biomarkers and Perineural and Lympho-Vascular Invasion to Detect Occult Neck Lymph Node Metastases in Early-Stage (T1-T2/N0) Oral Cavity Carcinomas
Simple Summary
Abstract
1. Introduction
2. Materials and Methods
2.1. Study Design
- Diagnosis of squamous OCC confirmed by a preoperative incisional biopsy, evaluating perineural and lympho-vascular invasion;
- Classified early-stage cT1−T2 OCC with clinically negative neck (cN0), according to preoperative American Joint Committee on Cancer (AJCC) classification (8th edition) [4];
- No previous/simultaneous cancer at any other site and no previous radiotherapy or chemotherapy;
- Availability of preoperative blood exams, performed 7 days before surgery;
- Surgical indication to perform an elective neck dissection (END) following the last National Comprehensive Cancer Network guidelines (NCCN 2022), in particular a depth of invasion (DOI) > 3 mm [27];
- A minimum of 24 months of postoperative follow-up.
- Radiotherapy or chemotherapy in the clinical history;
- Previous/simultaneous tumor in other sites;
- Classified clinical advanced OCC (cT3-cT4);
- Clinically positive neck (cN+) or presence of distance metastasis (M+);
- Lost at follow-up.
2.2. Data Collection
2.3. Statistical Analysis
3. Results
3.1. Patient Characteristics
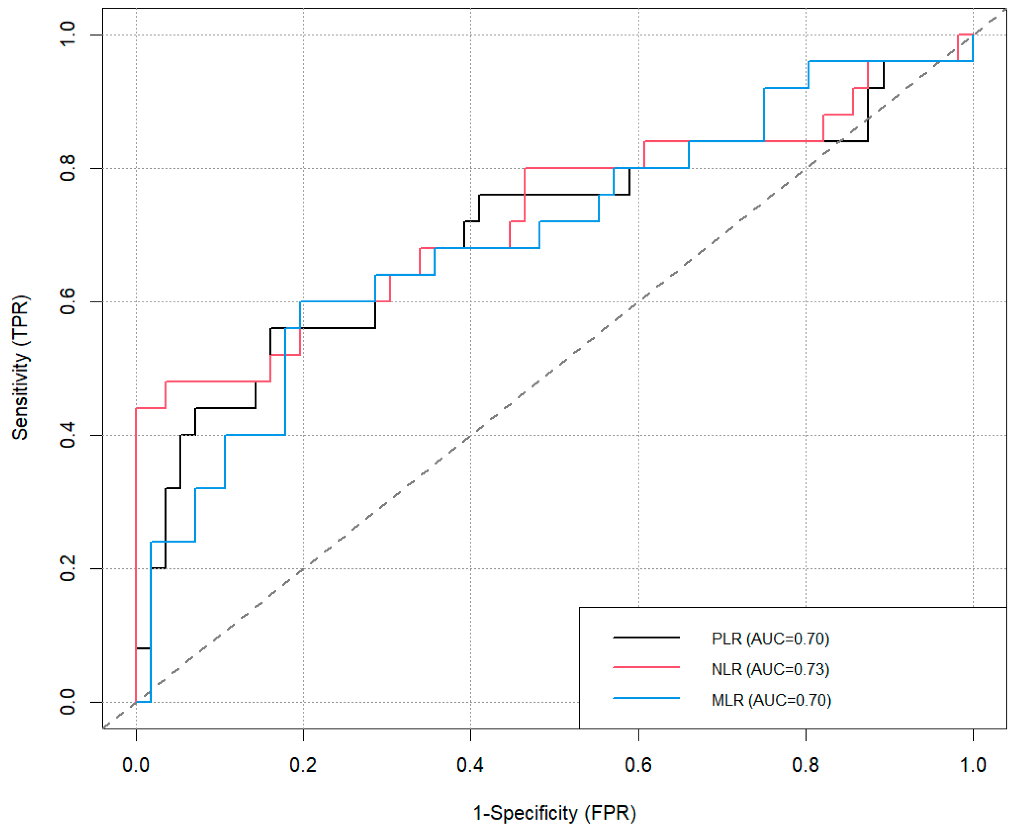
3.2. Diagnostic Performance of Inflammatory Biomarkers and Perineural/Lympho-Vascular Invasion
3.3. Analysis of Main Predictors of Neck Metastases
4. Discussion
5. Conclusions
Author Contributions
Funding
Institutional Review Board Statement
Informed Consent Statement
Data Availability Statement
Conflicts of Interest
References
- Ferlay, J.; Colombet, M.; Soerjomataram, I.; Dyba, T.; Randi, G.; Bettio, M.; Gavin, A.; Visser, O.; Bray, F. Cancer incidence and mortality patterns in Europe: Estimates for 40 countries and 25 major cancers in 2018. Eur. J. Cancer 2018, 103, 356–387. [Google Scholar] [CrossRef] [PubMed]
- Duprez, F.; Berwouts, D.; De Neve, W.; Bonte, K.; Boterberg, T.; Deron, P.; Huvenne, W.; Rottey, S.; Mareel, M. Distant metastases in head and neck cancer. Head Neck 2017, 39, 1733–1743. [Google Scholar] [CrossRef] [PubMed]
- Nocini, R.; Lippi, G.; Mattiuzzi, C. The worldwide burden of smoking-related oral cancer deaths. Clin. Exp. Dent. Res. 2020, 6, 161–164. [Google Scholar] [CrossRef]
- Amin, M.B.; Greene, F.L.; Edge, S.B.; Compton, C.C.; Gershenwald, J.E.; Brookland, R.K.; Meyer, L.; Gress, D.M.; Byrd, D.R.; Winchester, D.P. The Eighth Edition AJCC Cancer Staging Manual: Continuing to build a bridge from a population-based to a more “personalized” approach to cancer staging. CA Cancer J. Clin. 2017, 67, 93–99. [Google Scholar] [CrossRef] [PubMed]
- Melchardt, T.; Magnes, T.; Hufnagl, C.; Thorner, A.R.; Ducar, M.; Neureiter, D.; Tränkenschuh, W.; Klieser, E.; Gaggl, A.; Rösch, S.; et al. Clonal evolution and heterogeneity in metastatic head and neck cancer-An analysis of the Austrian Study Group of Medical Tumour Therapy study group. Eur. J. Cancer 2018, 93, 69–78. [Google Scholar] [CrossRef]
- Lea, J.; Bachar, G.; Sawka, A.M.; Lakra, D.C.; Gilbert, R.W.; Irish, J.C.; Brown, D.H.; Gullane, P.J.; Goldstein, D.P. Metastases to level IIb in squamous cell carcinoma of the oral cavity: A systematic review and meta-analysis. Head Neck 2010, 32, 184–190. [Google Scholar] [CrossRef]
- Fan, S.; Tang, Q.L.; Lin, Y.J.; Chen, W.; Li, J.; Huang, Z.; Yang, Z.; Wang, Y.; Zhang, D.; Wang, H.; et al. A review of clinical and histological parameters associated with contralateral neck metastases in oral squamous cell carcinoma. Int. J. Oral Sci. 2011, 3, 180–191. [Google Scholar] [CrossRef]
- Alqutub, S.; Alqutub, A.; Bakhshwin, A.; Mofti, Z.; Alqutub, S.; Alkhamesi, A.A.; Nujoom, M.A.; Rammal, A.; Merdad, M.; Marzouki, H.Z. Histopathological predictors of lymph node metastasis in oral cavity squamous cell carcinoma: A systematic review and meta-analysis. Front. Oncol. 2024, 14, 1401211, Published 2024 May 14. [Google Scholar] [CrossRef]
- Singh, A.; Roy, S.; Tuljapurkar, V.; Nair, D.; Chaturvedi, P. Critical Review of the Current Evidence on Sentinel Node Biopsy in Oral Cancer. Curr. Oncol. Rep. 2022, 24, 783–791. [Google Scholar] [CrossRef]
- Jangir, N.K.; Singh, A.; Jain, P.; Khemka, S. The predictive value of depth of invasion and tumor size on risk of neck node metastasis in squamous cell carcinoma of the oral cavity: A prospective study. J. Cancer Res. Ther. 2022, 18, 977–983. [Google Scholar] [CrossRef]
- Larson, A.R.; Kemmer, J.; Formeister, E.; El-Sayed, I.; Ha, P.; George, J.; Ryan, W.; Chan, E.; Heaton, C. Beyond depth of invasion: Adverse pathologic tumor features in early oral tongue squamous cell carcinoma. Laryngoscope 2020, 130, 1715–1720. [Google Scholar] [CrossRef] [PubMed]
- Batsakis, J.G. Invasion of the microcirculation in head and neck cancer. Ann. Otol. Rhinol. Laryngol. 1984, 93 Pt 1, 646–647. [Google Scholar] [CrossRef] [PubMed]
- Mascitti, M.; Togni, L.; Caponio, V.C.A.; Zhurakivska, K.; Bizzoca, M.E.; Contaldo, M.; Serpico, R.; Lo Muzio, L.; Santarelli, A. Lymphovascular invasion as a prognostic tool for oral squamous cell carcinoma: A comprehensive review. Int. J. Oral Maxillofac. Surg. 2022, 51, 1–9. [Google Scholar] [CrossRef] [PubMed]
- Amin, M.B.; Edge, S.B. American Joint Committee on Cancer. In AJCC Cancer Staging Manual, 8th ed.; Springer: Cham, Switzerland, 2017. [Google Scholar]
- Huang, S.; Zhu, Y.; Cai, H.; Zhang, Y.; Hou, J. Impact of lymphovascular invasion in oral squamous cell carcinoma: A meta-analysis. Oral Surg. Oral Med. Oral Pathol. Oral Radiol. 2021, 131, 319–328.e1. [Google Scholar] [CrossRef] [PubMed]
- Krishnamurthy, S.; Ahmed, I.; Vinchurkar, K.; Kalloli, M.; Sanikop, A.; Sagar, R.; Mathapathi, S.; Bhise, R. Lympho-vascular invasion in oral cavity cancers—A bridge between tumour biology and clinical outcomes. Oral Oncol. Rep. 2024, 11, 100477. [Google Scholar] [CrossRef]
- Fagan, J.J.; Collins, B.; Barnes, L.; D’Amico, F.; Myers, E.N.; Johnson, J.T. Perineural invasion in squamous cell carcinoma of the head and neck. Arch. Otolaryngol. Head Neck Surg. 1998, 124, 637–640. [Google Scholar] [CrossRef]
- Smith, B.D.; Haffty, B.G. Prognostic factoris in patients with head and neck cancer. In Head and Neck Cancer: A Multidisciplinary Approach; Harrison, L.B., Sessions, R.B., Hong, W.K., Eds.; Lippincott Williams and Wilkins: Philadelphia, PA, USA, 2009; pp. 51–75. [Google Scholar]
- Chinn, S.B.; Spector, M.E.; Bellile, E.L.; McHugh, J.B.; Gernon, T.J.; Bradford, C.R.; Wolf, G.T.; Eisbruch, A.; Chepeha, D.B. Impact of perineural invasion in the pathologically N0 neck in oral cavity squamous cell carcinoma. Otolaryngol. Head Neck Surg. 2013, 149, 893–899. [Google Scholar]
- Nair, D.; Mair, M.; Singhvi, H.; Mishra, A.; Nair, S.; Agrawal, J.; Chaturvedi, P. Perineural invasion: Independent prognostic factor in oral cancer that warrants adjuvant treatment. Head Neck 2018, 40, 1780–1787. [Google Scholar] [CrossRef]
- Shen, Y.-J.; Qian, L.-Q.; Ding, Z.-P.; Luo, Q.-Q.; Zhao, H.; Xia, W.-Y.; Fu, Y.-Y.; Feng, W.; Zhang, Q.; Yu, W.; et al. Prognostic Value of Inflammatory Biomarkers in Patients with Stage I Lung Adenocarcinoma Treated with Surgical Dissection. Front. Oncol. 2021, 11, 347. [Google Scholar] [CrossRef]
- Engqvist, H.; Parris, T.Z.; Kovács, A.; Rönnerman, E.W.; Sundfeldt, K.; Karlsson, P.; Helou, K. Validation of Novel Prognostic Biomarkers for Early-Stage Clear-Cell, Endometrioid and Mucinous Ovarian Carcinomas Using Immunohistochemistry. Front. Oncol. 2020, 10, 162. [Google Scholar] [CrossRef]
- Zhang, L.; Yan, Z.P.; Hou, Z.H.; Huang, P.; Yang, M.J.; Zhang, S.; Zhang, S.; Zhang, S.H.; Zhu, X.L.; Ni, C.F.; et al. Neutrophilto-Lymphocyte and Platelet-to-Lymphocyte Ratios as Predictors of Outcomes in Patients With Unresectable Hepatocellular Carcinoma Undergoing Transarterial Chemoembolization Plus Sorafenib. Front. Mol. Biosci. 2021, 8, 624366. [Google Scholar]
- Abbate, V.; Dell’Aversana Orabona, G.; Barone, S.; Troise, S.; Bonavolontà, P.; Pacella, D.; Iaconetta, G.; Califano, L. Relevance of Inflammatory Biomarkers in Salivary Gland Cancers Management. Eurasian J. Med. Oncol. 2021, 5, 311–317. [Google Scholar] [CrossRef]
- Committeri, U.; Fusco, R.; Di Bernardo, E.; Abbate, V.; Salzano, G.; Maglitto, F.; Orabona, G.D.; Piombino, P.; Bonavolontà, P.; Arena, A.; et al. Radiomics Metrics Combined with Clinical Data in the Surgical Management of Early-Stage (cT1-T2 N0) Tongue Squamous Cell Carcinomas: A Preliminary Study. Biology 2022, 11, 468. [Google Scholar] [CrossRef]
- Abbate, V.; Dell’Aversana Orabona, G.; Salzano, G.; Bonavolontà, P.; Maglitto, F.; Romano, A.; Tarabbia, F.; Turri-Zanoni, M.; Attanasi, F.; Di Lauro, A.E.; et al. Pre-treatment Neutrophil-to-Lymphocyte Ratio as a predictor for occult cervical metastasis in early stage (T1-T2 cN0) squamous cell carcinoma of the oral tongue. Surg. Oncol. 2018, 27, 503–507. [Google Scholar] [CrossRef]
- National Comprehensive Cancer Network Clinical Practice Guidelines in Oncology, Head and Neck Cancers, Version I. 2023. Available online: http://www.nccn.org/ (accessed on 6 March 2023).
- Piazza, C.; Montalto, N.; Paderno, A.; Taglietti, V.; Nicolai, P. Is it time to incorporate ‘depth of infiltration’ in the T staging of oral tongue and floor of mouth cancer? Curr. Opin. Otolaryngol. Head Neck Surg. 2014, 22, 81–89. [Google Scholar] [CrossRef]
- Abbate, V.; Barone, S.; Troise, S.; Laface, C.; Bonavolontà, P.; Pacella, D.; Salzano, G.; Iaconetta, G.; Califano, L.; Orabona, G.D. The Combination of Inflammatory Biomarkers as Prognostic Indicator in Salivary Gland Malignancy. Cancers 2022, 14, 5934, Published 2022 Nov 30. [Google Scholar] [CrossRef]
- Abbate, V.; Barone, S.; Borriello, G.; Troise, S.; Bonavolontà, P.; Pacella, D.; Vaira, L.A.; Turri-Zanoni, M.; Cuéllar, C.N.; Califano, L.; et al. Diagnostic performance of inflammatory biomarkers and cytological analysis in salivary gland tumors. Head Neck 2023, 45, 3015–3023. [Google Scholar] [CrossRef]
- Capote, A.; Escorial, V.; Muñoz-Guerra, M.F.; Rodríguez-Campo, F.J.; Gamallo, C.; Naval, L. Elective neck dissection in early-stage oral squamous cell carcinoma--does it influence recurrence and survival? Head Neck 2007, 29, 3–11. [Google Scholar] [CrossRef]
- Kowalski, L.P.; Medina, J.E. Nodal metastases: Predictive factors. Otolaryngol. Clin. N. Am. 1998, 31, 621–637. [Google Scholar] [CrossRef]
- Hasegawa, T.; Iga, T.; Takeda, D.; Amano, R.; Saito, I.; Kakei, Y.; Kusumoto, J.; Kimoto, A.; Sakakibara, A.; Akashi, M. Neutrophillymphocyte ratio associated with poor prognosis in oral cancer: A retrospective study. BMC Cancer 2020, 20, 568. [Google Scholar] [CrossRef]
- Lee, S.; Kim, D.W.; Kwon, S.; Kim, H.J.; Cha, I.H.; Nam, W. Prognostic value of systemic inflammatory markers for oral cancer patients based on the 8th edition of AJCC staging system. Sci. Rep. 2020, 10, 12111. [Google Scholar] [CrossRef] [PubMed]
- Sano, Y.; Kogashiwa, Y.; Araki, R.; Enoki, Y.; Ikeda, T.; Yoda, T.; Nakahira, M.; Sugasawa, M. Correlation of Inflammatory Markers, Survival, and COX2 Expression in Oral Cancer and Implications for Prognosis. Otolaryngol. Head Neck Surg. 2018, 158, 667–676. [Google Scholar] [CrossRef] [PubMed]
- Mizuno, R.; Kawada, K.; Itatani, Y.; Ogawa, R.; Kiyasu, Y.; Sakai, Y. The role of tumor-associated neutrophils in colorectal cancer. Int. J. Mol. Sci. 2019, 20, 529. [Google Scholar] [CrossRef]
- Quigley, D.A.; Kristensen, V. Predicting prognosis and therapeutic response from interactions between lymphocytes and tumor cells. Mol. Oncol. 2015, 9, 2054–2062. [Google Scholar] [CrossRef] [PubMed]
- Khan, S.R.; Zehra, N.E.; Shoaib, D.; Soomar, S.M.; Afzal, M.; Sidhu, S.M.; Tariq, M.; Zahir, M.N.; Moosajee, M.; Jabbar, A.A.; et al. Mean level of pretreatment neutrophil to lymphocyte ratio in patients with squamous cell carcinoma of the head and neck-Cross-sectional study. Heliyon 2023, 9, e15894. [Google Scholar] [CrossRef]
- Werner, J.; Strobel, K.; Lehnick, D.; Rajan, G.P. Overall Neutrophil-to-Lymphocyte Ratio and SUVmax of Nodal Metastases Predict Outcome in Head and Neck Cancer Before Chemoradiation. Front. Oncol. 2021, 11, 679287. [Google Scholar] [CrossRef]
- Wu, C.N.; Chuang, H.C.; Lin, Y.T.; Fang, F.M.; Li, S.H.; Chien, C.Y. Prognosis of neutrophil-to-lymphocyte ratio in clinical early-stage tongue (cT1/T2N0) cancer. Onco Targets Ther. 2017, 10, 3917–3924. [Google Scholar] [CrossRef]
- Salem, E.H.; Habaza, F.R.; Ebada, H.A.; Abu Shady, E.F.; Elkotamy, S.N.; Thabet, A.H.; Abdelmeguid, A.S.; Kamal, E.; Hamza, A.; Abdelaziz, M.; et al. Lymph Node Yield/Ratio, Neutrophil-Lymphocyte Ratio: Prognostic Factors in cN0 Laryngeal Carcinoma. Laryngoscope 2025, 1–7. [Google Scholar] [CrossRef]
- Yang, S.; Fei, C. Prognostic value of systemic immune-inflammation index and systemic inflammation response index for oral cancers: A systematic review and meta-analysis. Med. Oral Patol. Oral Cir. Bucal 2024, 29, e822–e831. [Google Scholar] [CrossRef]
- Binmadi, N.; Alsharif, M.; Almazrooa, S.; Aljohani, S.; Akeel, S.; Osailan, S.; Shahzad, M.; Elias, W.; Mair, Y. Perineural Invasion Is a Significant Prognostic Factor in Oral Squamous Cell Carcinoma: A Systematic Review and Meta-Analysis. Diagnostics 2023, 13, 3339. [Google Scholar] [CrossRef]
- Li, J.; Liu, S.; Li, Z.; Han, X.; Que, L. Prognostic Value of Perineural Invasion in Oral Tongue Squamous Cell Carcinoma: A Systematic Review and Meta-Analysis. Front. Oncol. 2021, 11, 683825. [Google Scholar] [CrossRef] [PubMed]
- Merola, R.; Vargas, M. Economic Indicators, Quantity and Quality of Health Care Resources Affecting Post-surgical Mortality. J. Epidemiol. Glob. Health 2024, 14, 613–620. [Google Scholar] [CrossRef] [PubMed]


| General Population Features | |
|---|---|
| Variables | Total Cases 81 |
| Age (years) | |
| <60 | 35 (43%) |
| >60 | 46 (57%) |
| Gender | |
| Female | 39 (48%) |
| Male | 42 (52%) |
| Tumor location | |
| Tongue | 39 (48%) |
| Oral floor | 27 (33%) |
| Inferior alveolar gingiva | 15 (19%) |
| cT status | |
| cT1 | 34 (43%) |
| cT2 | 47 (57%) |
| pT status | |
| pT1 | 30 (37%) |
| pT2 | 28 (35%) |
| pT3 | 14 (17%) |
| pT4 | 9 (11%) |
| p Grading | |
| G1 | 8 (10%) |
| G2 | 32 (39%) |
| G3 | 41 (51%) |
| pN status | |
| N0 | 62 (76.5%) |
| N1 | 2 (pT1) (2.5%) |
| 2 (pT2) (2.5%) | |
| 3 (pT3) (3.7%) | |
| 2 (pT4) (2.5%) | |
| N2 | |
| 1 (pT2) (1.2%) | |
| 3 (pT3) (3.7%) | |
| 3 (pT4) (3.7%) | |
| 2 (pT3) (2.5%) | |
| N3 | 1 (pT4) (1.2%) |
| Variable | Optimal Threshold | Accuracy | Specificity | Sensitivity | PPV | NPV |
|---|---|---|---|---|---|---|
| PLR | 249.30 | 75% | 84% | 56% | 61% | 81% |
| NLR | 13.09 | 81% | 96% | 48% | 86% | 81% |
| MLR | 0.44 | 74% | 80% | 60% | 58% | 82% |
| SII | 1043.12 | 73% | 71% | 76% | 54% | 87% |
| SIRI | 1.85 | 70% | 68% | 76% | 51% | 86% |
| Variable | Accuracy | Specificity | Sensitivity | PPV | NPV |
|---|---|---|---|---|---|
| PNI | 70% | 36% | 86% | 75% | 53% |
| LVI | 83% | 44% | 100% | 80% | 100% |
| Characteristic | N | OR | 95% CI | p-Value |
|---|---|---|---|---|
| Age | 81 | 0.9857 | 0.9519, 1.0203 | 0.411 |
| Sex | 81 | 1.6111 | 0.6244, 4.2904 | 0.328 |
| NLR | 81 | 1.1724 | 1.0850, 1.2882 | <0.001 |
| PLR | 81 | 1.0059 | 1.0024, 1.0100 | 0.003 |
| MLR | 81 | 0.9951 | 0.9923, 1.0032 | 0.732 |
| SII | 81 | 1.0005 | 1.0002, 1.0008 | 0.001 |
| SIRI | 81 | 1.0783 | 1.0001, 1.0006 | 0.001 |
| LVI | 81 | |||
| NO | — | — | ||
| YES | NE | NE | NE | |
| PNI | 81 | |||
| NO | — | — | ||
| YES | 3.3750 | 1.1160, 10.485 | 0.031 |
Disclaimer/Publisher’s Note: The statements, opinions and data contained in all publications are solely those of the individual author(s) and contributor(s) and not of MDPI and/or the editor(s). MDPI and/or the editor(s) disclaim responsibility for any injury to people or property resulting from any ideas, methods, instructions or products referred to in the content. |
© 2025 by the authors. Licensee MDPI, Basel, Switzerland. This article is an open access article distributed under the terms and conditions of the Creative Commons Attribution (CC BY) license (https://creativecommons.org/licenses/by/4.0/).
Share and Cite
Troise, S.; Di Blasi, F.; Esposito, M.; Togo, G.; Pacella, D.; Merola, R.; Di Crescenzo, R.M.; Staibano, S.; Abbate, V.; Bonavolontà, P.; et al. The Role of Blood Inflammatory Biomarkers and Perineural and Lympho-Vascular Invasion to Detect Occult Neck Lymph Node Metastases in Early-Stage (T1-T2/N0) Oral Cavity Carcinomas. Cancers 2025, 17, 1305. https://doi.org/10.3390/cancers17081305
Troise S, Di Blasi F, Esposito M, Togo G, Pacella D, Merola R, Di Crescenzo RM, Staibano S, Abbate V, Bonavolontà P, et al. The Role of Blood Inflammatory Biomarkers and Perineural and Lympho-Vascular Invasion to Detect Occult Neck Lymph Node Metastases in Early-Stage (T1-T2/N0) Oral Cavity Carcinomas. Cancers. 2025; 17(8):1305. https://doi.org/10.3390/cancers17081305
Chicago/Turabian StyleTroise, Stefania, Fabio Di Blasi, Maria Esposito, Giulia Togo, Daniela Pacella, Raffaele Merola, Rosa Maria Di Crescenzo, Stefania Staibano, Vincenzo Abbate, Paola Bonavolontà, and et al. 2025. "The Role of Blood Inflammatory Biomarkers and Perineural and Lympho-Vascular Invasion to Detect Occult Neck Lymph Node Metastases in Early-Stage (T1-T2/N0) Oral Cavity Carcinomas" Cancers 17, no. 8: 1305. https://doi.org/10.3390/cancers17081305
APA StyleTroise, S., Di Blasi, F., Esposito, M., Togo, G., Pacella, D., Merola, R., Di Crescenzo, R. M., Staibano, S., Abbate, V., Bonavolontà, P., Salzano, G., Nocini, R., Navarro Cuellar, C., & Dell’Aversana Orabona, G. (2025). The Role of Blood Inflammatory Biomarkers and Perineural and Lympho-Vascular Invasion to Detect Occult Neck Lymph Node Metastases in Early-Stage (T1-T2/N0) Oral Cavity Carcinomas. Cancers, 17(8), 1305. https://doi.org/10.3390/cancers17081305

