The Oncological Outcome of Postoperative Radiotherapy in Patients with Node-Negative Early-Stage (T1/T2/N0) Oral Squamous Cell Carcinoma and Perineural Invasion: A Meta-Analysis
Simple Summary
Abstract
1. Introduction
2. Methodology
3. Results
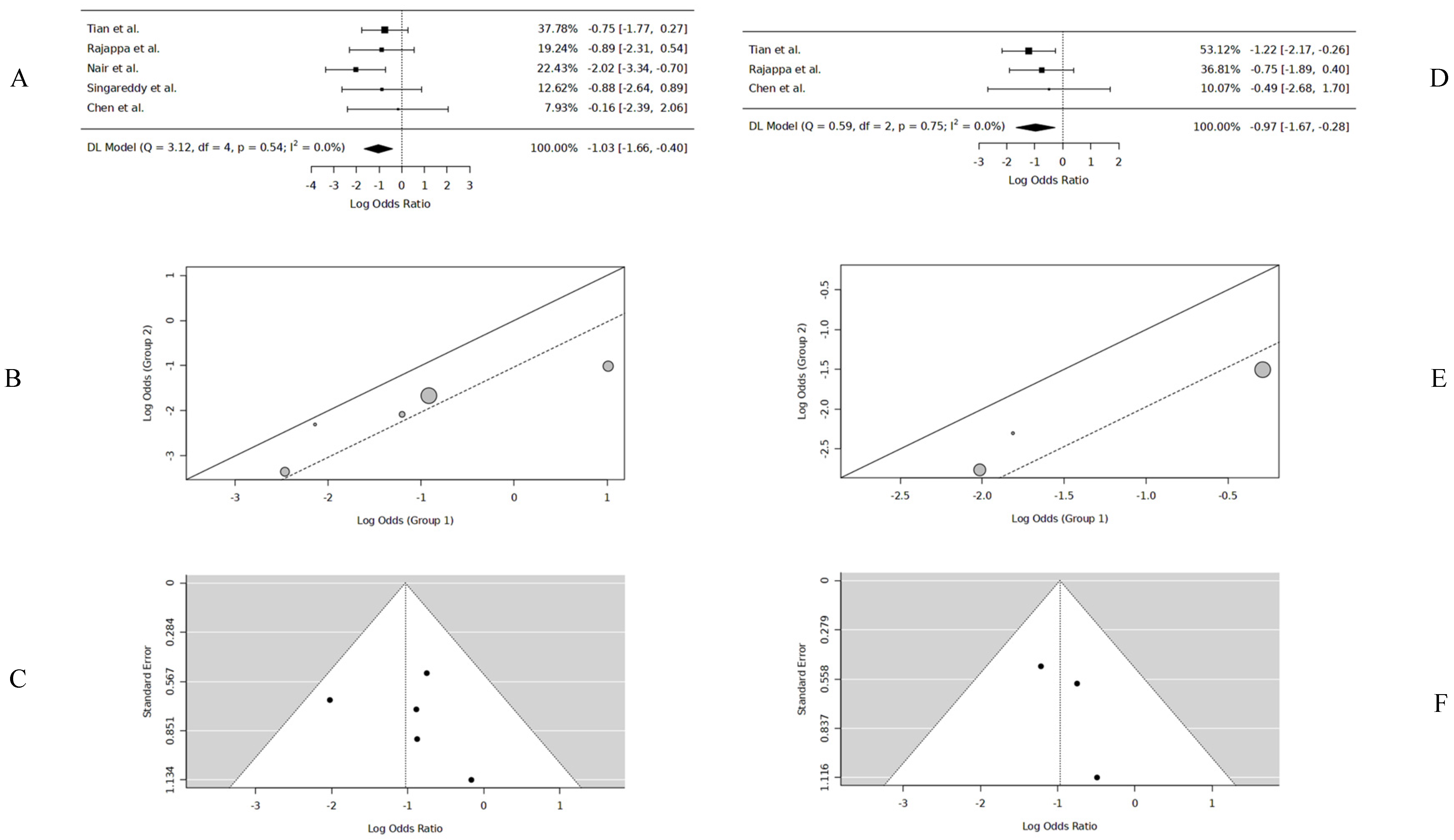
3.1. Three-Year OS
3.2. Five-Year OS
3.3. Three-Year DFS
3.4. Five-Year DFS
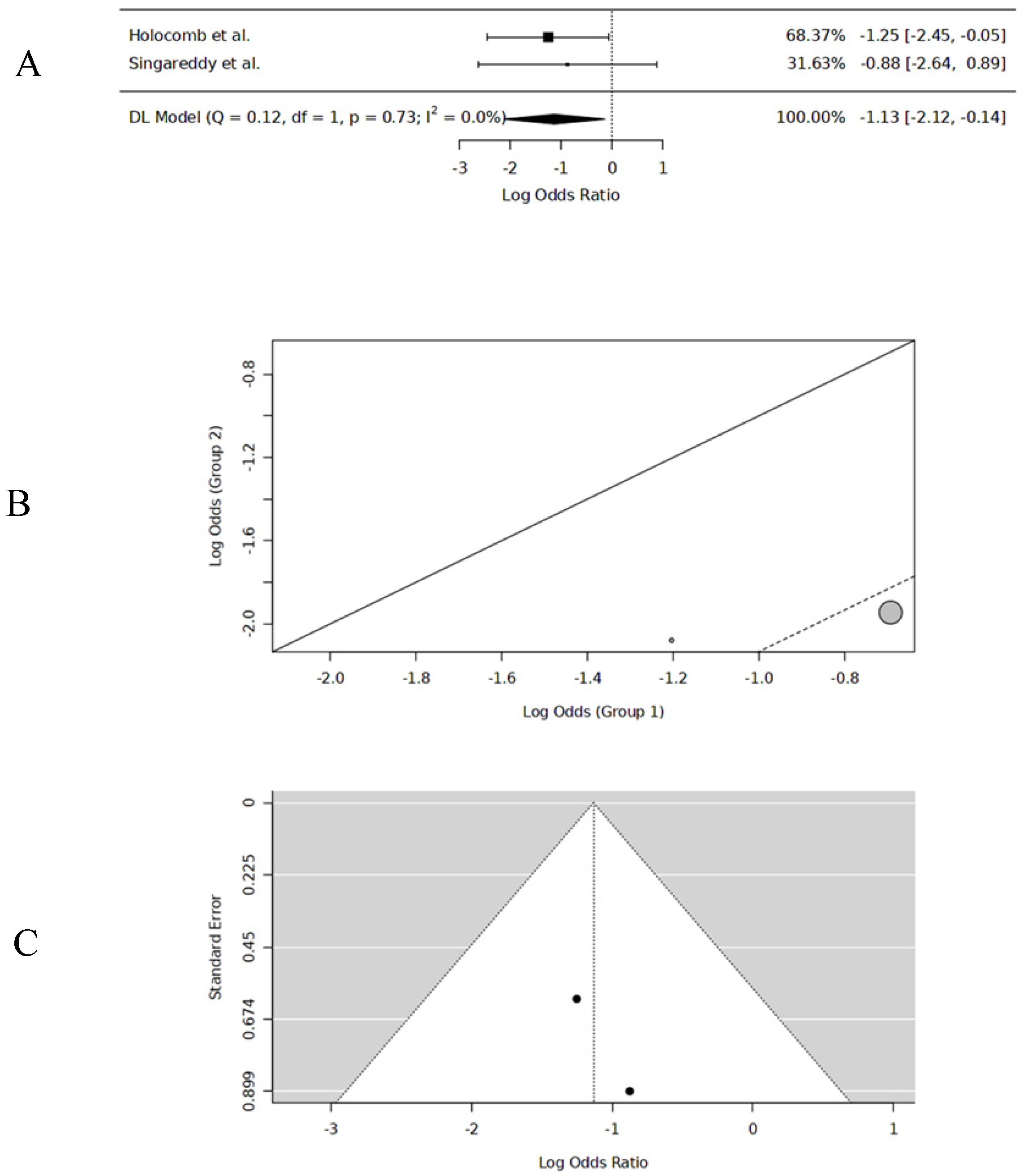
3.5. Three-Year LC
4. Discussion
5. Perspectives and Recommendations
6. Main Conclusions
Author Contributions
Funding
Data Availability Statement
Conflicts of Interest
References
- Asarkar, A.A.; Chang, B.A.; de Bree, R.; Kowalski, L.P.; Guntinas-Lichius, O.; Bradley, P.J.; de Graaf, P.; Strojan, P.; Rao, K.N.; Mäkitie, A.A.; et al. Primary management of operable locally advanced oral cavity squamous cell carcinoma: Current concepts and strategies. Adv. Ther. 2024, 41, 2133–2150. [Google Scholar] [CrossRef] [PubMed]
- Santos-Silva, A.R.; Martínez-Ramírez, J.; Lopes, M.A. Addressing discrepancies in oral cancer reporting: GLOBOCAN estimates versus ground reality in Latin America and the Caribbean. Cancer Epidemiol. 2024, 88, 102498. [Google Scholar] [CrossRef] [PubMed]
- Sun, R.; Dou, W.; Liu, W.; Li, J.; Han, X.; Li, S.; Wu, X.; Wang, F.; Xu, X.; Li, J. Global, regional, and national burden of oral cancer and its attributable risk factors from 1990 to 2019. Cancer Med. 2023, 12, 13811–13820. [Google Scholar] [CrossRef] [PubMed]
- Rao, K.N.; Arora, R.; Dange, P.; Nagarkar, N.; Mäkitie, A.A.; Kowalski, L.P.; Eisbruch, A.; Hamoir, M.; Civantos, F.J.; Vander Poorten, V.; et al. A meta-analysis of surgical outcomes of t4a and infranotch t4b oral cancers. Oncol. Ther. 2023, 11, 461–480. [Google Scholar] [CrossRef]
- Kämmerer, P.W.; Tribius, S.; Cohrs, L.; Engler, G.; Ettl, T.; Freier, K.; Frerich, B.; Ghanaati, S.; Gosau, M.; Haim, D.; et al. Adjuvant radiotherapy in patients with squamous cell carcinoma of the oral cavity or oropharynx and solitary ipsilateral lymph node metastasis (pn1)—A prospective multicentric cohort study. Cancers 2023, 15, 1833. [Google Scholar] [CrossRef]
- Recently Updated Guidelines. NCCN. Available online: https://www.nccn.org/guidelines/recently-published-guidelines (accessed on 10 July 2024).
- Misztal, C.I.; Green, C.; Mei, C.; Bhatia, R.; Velez Torres, J.M.; Kamrava, B.; Moon, S.; Nicolli, E.; Weed, D.; Sargi, Z.; et al. Molecular and cellular mechanisms of perineural invasion in oral squamous cell carcinoma: Potential targets for therapeutic intervention. Cancers 2021, 13, 6011. [Google Scholar] [CrossRef]
- Festa, B.M.; Costantino, A.; Pace, G.M.; Petruzzi, G.; Campo, F.; Pellini, R.; Spriano, G.; De Virgilio, A. Impact of adjuvant radiotherapy in squamous cell carcinoma of the oral cavity with perineural invasion. Laryngoscope 2024, 134, 2019–2027. [Google Scholar] [CrossRef]
- Hasmat, S.; Heller, G.; Cook, L.; Gupta, R.; Clark, J.R.; Ooi, E.H.; Low, T.-H.H. The impact of multifocal perineural invasion in predicting survival in patients with oral squamous cell carcinoma: A multicenter investigation. Head Neck 2023, 45, 2605–2612. [Google Scholar] [CrossRef]
- Fan, K.-H.; Kang, C.-J.; Lin, C.-Y.; Ng, S.-H.; Wang, H.-M.; Hsieh, C.-H.; Yeh, C.-H.; Lin, C.-H.; Tsao, C.-K.; Huang, S.-F.; et al. Quantitative measurement of perineural invasion for prognosis analysis of oral cavity cancer treated by radical surgery with or without adjuvant therapy. Technol. Cancer Res. Treat. 2023, 22, 15330338231176366. [Google Scholar] [CrossRef]
- Sapir, E.; Tolpadi, A.; McHugh, J.; Samuels, S.E.; Elalfy, E.; Spector, M.; Shuman, A.G.; Malloy, K.M.; Prince, M.E.; Bradford, C.R.; et al. Skin cancer of the head and neck with gross or microscopic perineural involvement: Patterns of failure. Radiother. Oncol. J. Eur. Soc. Ther. Radiol. Oncol. 2016, 120, 81–86. [Google Scholar] [CrossRef]
- Rajappa, S.K.; Ram, D.; Shukla, H.; Mandal, G.; Venkatasubramaniyan, M.; Dubey, A.; Agarwal, M.; Kumar, R.; Dewan, A.K. Oncological benefits of postoperative radiotherapy in node-negative early stage cancer of the oral cavity with isolated perineural invasion. Br. J. Oral Maxillofac. Surg. 2019, 57, 454–459. [Google Scholar] [CrossRef] [PubMed]
- Singareddy, R.; Bajwa, H.; Reddy, M.; Alluri, K.; Rao, L.; Thammineedi, S.R. Does adjuvant radiation therapy improve outcomes in pt1-2n0 oral tongue squamous cell carcinoma patients with isolated perineural invasion? Oral Oncol. 2016, 2, 1019. [Google Scholar]
- Nair, D.; Mair, M.; Singhvi, H.; Mishra, A.; Nair, S.; Agrawal, J.; Chaturvedi, P. Perineural invasion: Independent prognostic factor in oral cancer that warrants adjuvant treatment. Head Neck 2018, 40, 1780–1787. [Google Scholar] [CrossRef]
- Tian, Q.; Jiang, L.; Dai, D.; Liu, L.; Shi, X.; Guo, Y.; Wu, D.; Yang, J.; Xu, J.; Cai, Z.; et al. Impact of postoperative radiotherapy on the prognosis of early-stage (pt1-2n0m0) oral tongue squamous cell carcinoma. J. Clin. Oncol. Off. J. Am. Soc. Clin. Oncol. 2024, 42, 1754–1765. [Google Scholar] [CrossRef]
- Cheng, C.-S.; Chen, C.-C.; Liu, Y.-C.; Wang, C.-C.; Chou, Y.-S. Peri-neural invasion is an important prognostic factor of t2n0 oral cancer. Medicina 2022, 58, 1809. [Google Scholar] [CrossRef]
- Chen, T.-C.; Wang, C.-P.; Ko, J.-Y.; Yang, T.-L.; Hsu, C.-W.; Yeh, K.-A.; Chang, Y.-L.; Lou, P.-J. The impact of perineural invasion and/or lymphovascular invasion on the survival of early-stage oral squamous cell carcinoma patients. Ann. Surg. Oncol. 2013, 20, 2388–2395. [Google Scholar] [CrossRef] [PubMed]
- Holcomb, A.J.; Farrokhian, N.; Tolan, C.; Whiteford, E.; Villwock, M.; Kakarala, K.; Shnayder, Y.; Sykes, K.; Lominska, C.; Gan, G.; et al. Adjuvant radiotherapy mitigates impact of perineural invasion on oncologic outcomes in early-stage oral cavity squamous cell carcinoma. A multi-institutional analysis of 557 patients. Oral Oncol. 2023, 142, 106420. [Google Scholar] [CrossRef]
- Quintana, D.M.V.O.; Dedivitis, R.A.; Kowalski, L.P. Prognostic impact of perineural invasion in oral cancer: A systematic review. Acta Otorhinolaryngol. Ital. 2022, 42, 17–25. [Google Scholar] [CrossRef]
- Hasmat, S.; Ebrahimi, A.; Gao, K.; Low, T.-H.H.; Palme, C.; Gupta, R.; Clark, J. Multifocal perineural invasion is a better prognosticator than depth of invasion in oral squamous cell carcinoma. Head Neck 2019, 41, 3992–3999. [Google Scholar] [CrossRef]
- Alterio, D.; D’Urso, P.; Volpe, S.; Tagliabue, M.; De Berardinis, R.; Augugliaro, M.; Gandini, S.; Maffini, F.A.; Bruschini, R.; Turturici, I.; et al. The impact of post-operative radiotherapy in early stage (pt1-pt2n0m0) oral tongue squamous cell carcinoma in era of DOI. Cancers 2021, 13, 4851. [Google Scholar] [CrossRef]
- Page, M.J.; McKenzie, J.E.; Bossuyt, P.M.; Boutron, I.; Hoffmann, T.C.; Mulrow, C.D.; Shamseer, L.; Tetzlaff, J.M.; Akl, E.A.; Brennan, S.E.; et al. The prisma 2020 statement: An updated guideline for reporting systematic reviews. BMJ 2021, 372, n71. [Google Scholar] [CrossRef]
- Shea, B.J.; Reeves, B.C.; Wells, G.; Thuku, M.; Hamel, C.; Moran, J.; Moher, D.; Tugwell, P.; Welch, V.; Kristjansson, E.; et al. Amstar 2: A critical appraisal tool for systematic reviews that include randomised or non-randomised studies of healthcare interventions, or both. BMJ 2017, 358, j4008. [Google Scholar] [CrossRef] [PubMed]
- Automeris.io: AI Assisted Data Extraction from Charts Using WebPlotDigitizer. Available online: https://automeris.io/ (accessed on 10 July 2024).
- Chapter 10: Analysing Data and Undertaking Meta-Analyses. Available online: https://training.cochrane.org/handbook/current/chapter-10 (accessed on 10 July 2024).
- Ocebm Levels of Evidence—Centre for Evidence-Based Medicine (CEBM), University of Oxford. Available online: https://www.cebm.ox.ac.uk/resources/levels-of-evidence/ocebm-levels-of-evidence (accessed on 10 July 2024).
- Luchini, C.; Stubbs, B.; Solmi, M.; Veronese, N. Assessing the quality of studies in meta-analyses: Advantages and limitations of the Newcastle Ottawa Scale. World J. Meta-Anal. 2017, 5, 80–84. [Google Scholar] [CrossRef]
- Robins-i Tool | Cochrane Methods. Available online: https://methods.cochrane.org/robins-i (accessed on 10 July 2024).
- Chapter 6: Choosing Effect Measures and Computing Estimates of Effect. Available online: https://training.cochrane.org/handbook/current/chapter-06 (accessed on 10 July 2024).
- Veroniki, A.A.; Jackson, D.; Viechtbauer, W.; Bender, R.; Bowden, J.; Knapp, G.; Kuss, O.; Higgins, J.P.; Langan, D.; Salanti, G. Methods to estimate the between-study variance and its uncertainty in meta-analysis. Res. Synth. Methods 2016, 7, 55–79. [Google Scholar] [CrossRef] [PubMed]
- Dettori, J.R.; Norvell, D.C.; Chapman, J.R. Seeing the forest by looking at the trees: How to interpret a meta-analysis forest plot. Glob. Spine J. 2021, 11, 614–616. [Google Scholar] [CrossRef] [PubMed]
- Lin, L.; Chu, H. Quantifying publication bias in meta-analysis. Biometrics 2018, 74, 785–794. [Google Scholar] [CrossRef]
- 9.5—Identifying Influential Data Points|Stat 462. Available online: https://online.stat.psu.edu/stat462/node/173/ (accessed on 10 July 2024).
- Peters, J.L.; Sutton, A.J.; Jones, D.R.; Abrams, K.R.; Rushton, L. Comparison of two methods to detect publication bias in meta-analysis. JAMA 2006, 295, 676–680. [Google Scholar] [CrossRef]
- Bakst, R.L.; Wong, R.J. Mechanisms of perineural invasion. J. Neurol. Surg. Part B Skull Base 2016, 77, 96–106. [Google Scholar] [CrossRef]
- Schmitd, L.B.; Scanlon, C.S.; D’Silva, N.J. Perineural invasion in head and neck cancer. J. Dent. Res. 2018, 97, 742–750. [Google Scholar] [CrossRef]
- Batsakis, J.G. Nerves and neurotropic carcinomas. Ann. Otol. Rhinol. Laryngol. 1985, 94, 426–427. [Google Scholar] [CrossRef]
- Liebig, C.; Ayala, G.; Wilks, J.A.; Berger, D.H.; Albo, D. Perineural invasion in cancer. Cancer 2009, 115, 3379–3391. [Google Scholar] [CrossRef] [PubMed]
- Tao, Z.-Y.; Chu, G.; Su, Y.-X. The prognostic role of perineural invasion for survival in head and neck squamous cell carcinoma: A systematic review and meta-analysis. Cancers 2024, 16, 2514. [Google Scholar] [CrossRef]
- Brandwein-Gensler, M.; Teixeira, M.S.; Lewis, C.M.; Lee, B.; Rolnitzky, L.; Hille, J.J.; Genden, E.; Urken, M.L.; Wang, B.Y. Oral squamous cell carcinoma: Histologic risk assessment, but not margin status, is strongly predictive of local disease-free and overall survival. Am. J. Surg. Pathol. 2005, 29, 167–178. [Google Scholar] [CrossRef] [PubMed]
- Bernier, J.; Domenge, C.; Ozsahin, M.; Matuszewska, K.; Lefèbvre, J.-L.; Greiner, R.H.; Giralt, J.; Maingon, P.; Rolland, F.; Bolla, M.; et al. Postoperative irradiation with or without concomitant chemotherapy for locally advanced head and neck cancer. N. Engl. J. Med. 2004, 350, 1945–1952. [Google Scholar] [CrossRef] [PubMed]
- puf_data_dictionary_2016.pdf. Available online: https://www.facs.org/media/hc4jlsuv/puf_data_dictionary_2016.pdf (accessed on 10 July 2024).
- Wang, K.; Tepper, J.E. Radiation therapy-associated toxicity: Etiology, management, and prevention. CA. Cancer J. Clin. 2021, 71, 437–454. [Google Scholar] [CrossRef]
- Aivazian, K.; Ebrahimi, A.; Low, T.-H.H.; Gao, K.; Clifford, A.; Shannon, K.; Clark, J.R.; Gupta, R. Perineural invasion in oral squamous cell carcinoma: Quantitative subcategorisation of perineural invasion and prognostication. J. Surg. Oncol. 2015, 111, 352–358. [Google Scholar] [CrossRef]




| Author | Year | Country | Study | OCEBM | Site | Stage | No. of PNI | PNI with PORT | PNI with No-PORT | 3y OS PORT (%) | 3y OS No-PORT (%) | 5y OS PORT (%) | 5y OS No-PORT (%) | 3y DFS PORT (%) | 3y DFS No-PORT (%) | 5y DFS PORT (%) | 5y DFS No-PORT (%) | 3y DSS PORT (%) | 3y DSS No-PORT (%) | 5y DSS PORT (%) | 5y DSS No-PORT (%) | 3y LC PORT (%) | 3y LC No-PORT (%) | 5y LC PORT (%) | 5y LC No-PORT (%) |
|---|---|---|---|---|---|---|---|---|---|---|---|---|---|---|---|---|---|---|---|---|---|---|---|---|---|
| Tian et al. [15] | 2024 | China | R | 3b | Tongue | T1/2N0 | 89 | 44 | 49 | 84.5 | 71.6 | 81.4 | 58.1 | 84 | 52.3 | 76 | 47.6 | ||||||||
| Holocomb et al. [18] | 2023 | USA | R | 3b | Oral Cavity | T1/2N0 | 83 | 32 | 51 | 78.5 | 55.2 | 74.5 | 52.2 | 89 | 67.5 | 84.7 | 63.7 | ||||||||
| Cheng et al. [16] | 2022 | Taiwan | R | 3b | Oral Cavity | T1/2N0 | 16 | 4 | 12 | 100 | 42.3 | 100 | 42.3 | 100 | 38.6 | 100 | 38.6 | ||||||||
| Rajappa et al. [12] | 2019 | India | R | 3b | Oral Cavity | T1/2N0 | 169 | 118 | 51 | 96.6 | 91.2 | 93.9 | 88.7 | 82.2 | 62.7 | 75.6 | 62.7 | ||||||||
| Nair et al. [14] | 2018 | India | R | 3b | Oral Cavity | T1/2N0 | 60 | 45 | 15 | 72.6 | 27.3 | ||||||||||||||
| Singareddy et al. [13] | 2016 | India | R | 3b | Oral Cavity | T1/2N0 | 40 | 27 | 13 | 88.9 | 77 | 88.9 | 76.9 | ||||||||||||
| Chen et al. [17] | 2013 | Taiwan | R | 3b | Oral Cavity | T1/2N0 | 65 | 11 | 57 | 88.9 | 88.6 | 88.9 | 85.2 | 86.6 | 78.2 | 61.1 | 70.2 | ||||||||
| 522 | 281 | 248 | 86.3 | 71.1 | 88.1 | 77.3 | 86.3 | 58.1 | 77.4 | 55.0 | 100.0 | 38.6 | 100.0 | 38.6 | 89.0 | 72.2 | 84.7 | 63.7 | |||||||
| 3y OS | 5y OS | 3y DFS | 5y DFS | 3y LC | |||
|---|---|---|---|---|---|---|---|
| Number of studies (k) | k = 5 | k = 3 | k = 5 | k = 5 | k = 2 | ||
| Log odds ratios (range) | −1.66 to −0.4 | −1.67 to −0.28 | −1.68 to −0.7 | −1.31 to −0.26 | −2.1 to −0.14 | ||
| Majority of estimates | Direction | Negative | Negative | Negative | Negative | Negative | |
| % Studies | 100% | 100% | 100% | 80% | 100% | ||
| Estimated average log odds ratio | −1.03 | −0.97 | −1.79 | −0.78 | −1.13 | ||
| Odds ratio | 0.36 | 0.37 | 0.3 | 0.45 | 0.32 | ||
| Survival probability | 73.7% | 72.6% | 76.8% | 68.7% | 75.7% | ||
| Significance of average outcome | Z score | −3.22 | −2.7 | −4.77 | −2.9 | −2.2 | |
| p value | 0.0012 | 0.0061 | <0.001 | 0.0034 | 0.025 | ||
| Maximum weightage | Study | Tian et al. [15] | Tian et al. [15] | Rajappa et al. [12] | Rajappa et al. [12] | Holocomb et al. [18] | |
| % weight | 37.78% | 53.12% | 43.9% | 35.59% | 68.3% | ||
| Heterogeneity | Q test | 3.12 | 0.58 | 1.4 | 4.97 | 0.12 | |
| tau2 | 0 | 0 | 0 | 0.071 | 0 | ||
| I2 | 0% | 0% | 0% | 19.63% | 0% | ||
| Outliers | studies | None | None | None | Chen et al. [17] | None | |
| Influential studies | Cook’s distances | >1 | <1 | <1 | <1 | <1 | |
| studies | Nair et al. [14] | None | None | None | None | ||
| Funnel plot asymmetry | Rank correlation p-value | 0.81 | 1 | 0.23 | 1 | 1 | |
| Egger’s regression test p-value | 0.71 | 0.55 | 0.5 | 0.59 | 0.56 | ||
Disclaimer/Publisher’s Note: The statements, opinions and data contained in all publications are solely those of the individual author(s) and contributor(s) and not of MDPI and/or the editor(s). MDPI and/or the editor(s) disclaim responsibility for any injury to people or property resulting from any ideas, methods, instructions or products referred to in the content. |
© 2025 by the authors. Licensee MDPI, Basel, Switzerland. This article is an open access article distributed under the terms and conditions of the Creative Commons Attribution (CC BY) license (https://creativecommons.org/licenses/by/4.0/).
Share and Cite
Rao, K.N.; Sreeram, M.P.; de Bree, R.; Mendenhall, W.M.; Strojan, P.; Stenman, G.; Mäkitie, A.; Nadal, A.; Rodrigo, J.P.; Ng, S.P.; et al. The Oncological Outcome of Postoperative Radiotherapy in Patients with Node-Negative Early-Stage (T1/T2/N0) Oral Squamous Cell Carcinoma and Perineural Invasion: A Meta-Analysis. Cancers 2025, 17, 862. https://doi.org/10.3390/cancers17050862
Rao KN, Sreeram MP, de Bree R, Mendenhall WM, Strojan P, Stenman G, Mäkitie A, Nadal A, Rodrigo JP, Ng SP, et al. The Oncological Outcome of Postoperative Radiotherapy in Patients with Node-Negative Early-Stage (T1/T2/N0) Oral Squamous Cell Carcinoma and Perineural Invasion: A Meta-Analysis. Cancers. 2025; 17(5):862. https://doi.org/10.3390/cancers17050862
Chicago/Turabian StyleRao, Karthik N., M. P. Sreeram, Remco de Bree, William M. Mendenhall, Primož Strojan, Göran Stenman, Antti Mäkitie, Alfons Nadal, Juan P. Rodrigo, Sweet Ping Ng, and et al. 2025. "The Oncological Outcome of Postoperative Radiotherapy in Patients with Node-Negative Early-Stage (T1/T2/N0) Oral Squamous Cell Carcinoma and Perineural Invasion: A Meta-Analysis" Cancers 17, no. 5: 862. https://doi.org/10.3390/cancers17050862
APA StyleRao, K. N., Sreeram, M. P., de Bree, R., Mendenhall, W. M., Strojan, P., Stenman, G., Mäkitie, A., Nadal, A., Rodrigo, J. P., Ng, S. P., Corry, J., Rinaldo, A., Eisbruch, A., & Ferlito, A. (2025). The Oncological Outcome of Postoperative Radiotherapy in Patients with Node-Negative Early-Stage (T1/T2/N0) Oral Squamous Cell Carcinoma and Perineural Invasion: A Meta-Analysis. Cancers, 17(5), 862. https://doi.org/10.3390/cancers17050862

