Impact of Small Area Level Deprivation on Colorectal Cancer Survival: Findings from the Regional Cancer Registry in Korea
Simple Summary
Abstract
1. Introduction
2. Materials and Methods
2.1. Data Source
2.2. Method
2.2.1. Outcome Variable
2.2.2. Explanatory Variables
2.2.3. Statistical Analysis
2.2.4. Ethical Considerations
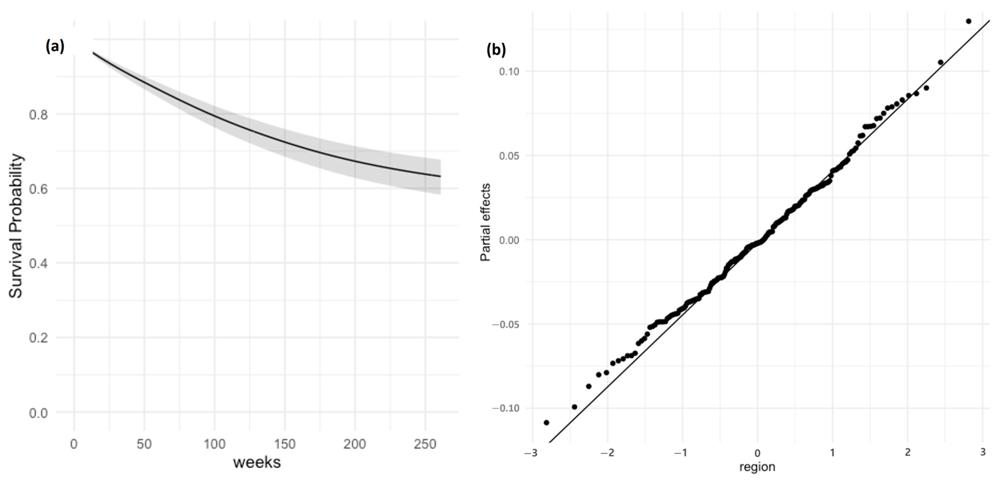
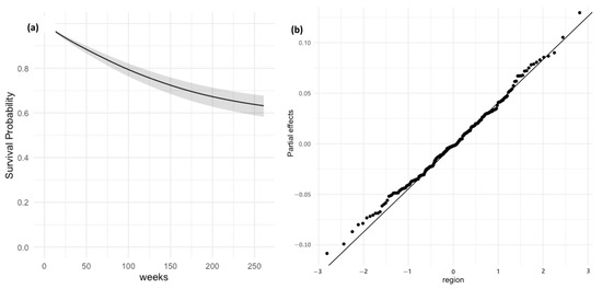
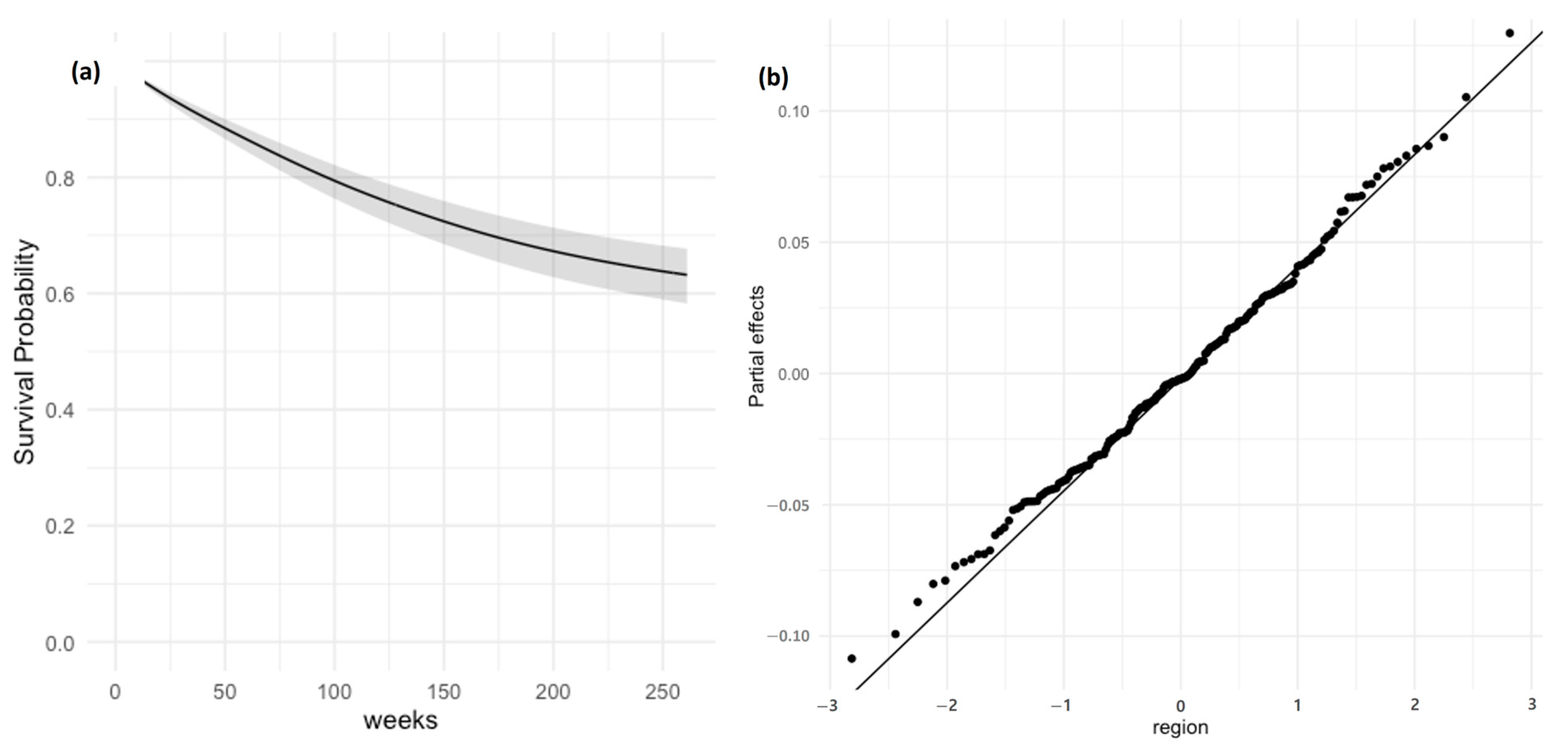
3. Results
4. Discussion
5. Conclusions
Author Contributions
Funding
Institutional Review Board Statement
Informed Consent Statement
Data Availability Statement
Conflicts of Interest
Abbreviations
Appendix A

References
- Kang, M.J.; Jung, K.W.; Bang, S.H.; Choi, S.H.; Park, E.H.; Yun, E.H.; Kim, H.J.; Kong, H.J.; Im, J.S.; Seo, H.G.; et al. Cancer Statistics in Korea: Incidence, Mortality, Survival, and Prevalence in 2020. Cancer Res. Treat. 2023, 55, 385–399. [Google Scholar] [CrossRef] [PubMed]
- Whitehead, M. The concepts and principles of equity and health. Int. J. Health Serv. Plan. Adm. Eval. 1992, 22, 429–445. [Google Scholar] [CrossRef]
- U.S. Department of Health and Human Services: Office of Disease Prevention and Health Promotion. Healthy People 2010. NASNewsletter 2000, 15, 3. [Google Scholar]
- Goddard, M.; Smith, P. Equity of access to health care services: Theory and evidence from the UK. Soc. Sci. Med. 2001, 53, 1149–1162. [Google Scholar] [CrossRef] [PubMed]
- Marmot, M.; Friel, S.; Bell, R.; Houweling, T.A.; Taylor, S. Commission on Social Determinants of, H. Closing the gap in a generation: Health equity through action on the social determinants of health. Lancet 2008, 372, 1661–1669. [Google Scholar] [CrossRef] [PubMed]
- Korea Health Promotion Institute, Republic of Korea Ministry of Health and Welfare. The 5th National Health Plan; Korea Health Promotion Institute: Seoul, Republic of Korea, 2022; p. 22, (In Korean). Available online: https://www.mohw.go.kr/boardDownload.es?bid=0008&list_no=365340&seq=1 (accessed on 5 December 2024).
- Singh, G.K.; Jemal, A. Socioeconomic and Racial/Ethnic Disparities in Cancer Mortality, Incidence, and Survival in the United States, 1950–2014: Over Six Decades of Changing Patterns and Widening Inequalities. J. Environ. Public Health 2017, 2017, 2819372. [Google Scholar] [CrossRef]
- Singh, G.K.; Williams, S.D.; Siahpush, M.; Mulhollen, A. Socioeconomic, Rural-Urban, and Racial Inequalities in US Cancer Mortality: Part I-All Cancers and Lung Cancer and Part II-Colorectal, Prostate, Breast, and Cervical Cancers. J. Cancer Epidemiol. 2011, 2011, 107497. [Google Scholar] [CrossRef]
- Kim, J.M.; Kim, H.M.; Jung, B.Y.; Park, E.C.; Cho, W.H.; Lee, S.G. The association between cancer incidence and family income: Analysis of Korean National Health Insurance cancer registration data. Asian Pac. J. Cancer Prev. APJCP 2012, 13, 1371–1376. [Google Scholar] [CrossRef]
- Jeong, S.M.; Jung, K.W.; Park, J.; Kim, N.; Shin, D.W.; Suh, M. Disparities in Cancer Incidence across Income Levels in South Korea. Cancers 2023, 15, 5898. [Google Scholar] [CrossRef] [PubMed]
- Clarke, N.; McNamara, D.; Kearney, P.M.; O’Morain, C.A.; Shearer, N.; Sharp, L. The role of area-level deprivation and gender in participation in population-based faecal immunochemical test (FIT) colorectal cancer screening. Prev. Med. 2016, 93, 198–203. [Google Scholar] [CrossRef]
- Smith, D.; Thomson, K.; Bambra, C.; Todd, A. The breast cancer paradox: A systematic review of the association between area-level deprivation and breast cancer screening uptake in Europe. Cancer Epidemiol. 2019, 60, 77–85. [Google Scholar] [CrossRef]
- Pampalon, R.; Hamel, D.; Gamache, P.; Raymond, G. A deprivation index for health planning in Canada. Chronic Dis. Can. 2009, 29, 178–191. [Google Scholar] [CrossRef] [PubMed]
- Havard, S.; Deguen, S.; Bodin, J.; Louis, K.; Laurent, O.; Bard, D. A small-area index of socioeconomic deprivation to capture health inequalities in France. Soc. Sci. Med. 2008, 67, 2007–2016. [Google Scholar] [CrossRef]
- Salmond, C.; Crampton, P.; Sutton, F. NZDep91: A New Zealand index of deprivation. Aust. N. Z. J. Public Health 1998, 22, 835–837. [Google Scholar] [CrossRef] [PubMed]
- Hoebel, J.; Kroll, L.E.; Fiebig, J.; Lampert, T.; Katalinic, A.; Barnes, B.; Kraywinkel, K. Socioeconomic Inequalities in Total and Site-Specific Cancer Incidence in Germany: A Population-Based Registry Study. Front. Oncol. 2018, 8, 402. [Google Scholar] [CrossRef] [PubMed]
- Tetzlaff, F.; Nowossadeck, E.; Jansen, L.; Michalski, N.; Barnes, B.; Kraywinkel, K.; Hoebel, J. Widening area-based socioeconomic inequalities in cancer mortality in Germany between 2003 and 2019. Sci. Rep. 2023, 13, 17833. [Google Scholar] [CrossRef]
- Cummins, S.; Curtis, S.; Diez-Roux, A.V.; Macintyre, S. Understanding and representing ‘place’ in health research: A relational approach. Soc. Sci. Med. 2007, 65, 1825–1838. [Google Scholar] [CrossRef]
- Zeng, Q.; Chen, C.; Chen, C.; Song, H.; Li, M.; Yan, J.; Lv, X. Serum Raman spectroscopy combined with convolutional neural network for rapid diagnosis of HER2-positive and triple-negative breast cancer. Spectrochim. Acta. Part A Mol. Biomol. Spectrosc. 2023, 286, 122000. [Google Scholar] [CrossRef]
- Tong, G.; Peng, T.; Chen, Y.; Sha, L.; Dai, H.; Xiang, Y.; Zou, Z.; He, H.; Wang, S. Effects of GLP-1 Receptor Agonists on Biological Behavior of Colorectal Cancer Cells by Regulating PI3K/AKT/mTOR Signaling Pathway. Front. Pharmacol. 2022, 13, 901559. [Google Scholar] [CrossRef] [PubMed]
- Su, Y.; Tian, X.; Gao, R.; Guo, W.; Chen, C.; Chen, C.; Jia, D.; Li, H.; Lv, X. Colon cancer diagnosis and staging classification based on machine learning and bioinformatics analysis. Comput. Biol. Med. 2022, 145, 105409. [Google Scholar] [CrossRef] [PubMed]
- Bourgeois, A.; Horrill, T.; Mollison, A.; Stringer, E.; Lambert, L.K.; Stajduhar, K. Barriers to cancer treatment for people experiencing socioeconomic disadvantage in high-income countries: A scoping review. BMC Health Serv. Res. 2024, 24, 670. [Google Scholar] [CrossRef] [PubMed]
- Kwak, M.; Kim, C. Disparities by Age, Sex, Tumor Stage, Diagnosis Path, and Area-level Socioeconomic Status in Survival Time for Major Cancers: Results from the Busan Cancer Registry. J. Korean Med. Sci. 2017, 32, 1974–1983. [Google Scholar] [CrossRef]
- Song, S.-K.; Kim, H.-S.; Lim, K.-M. A Study on Factors Affecting Cancer Mortality in Busan. Korean Soc. Health Serv. Manag. 2014, 8, 81–94. [Google Scholar]
- Korea Institute for Health and Social Affairs. 2019 Factbook: Health Inequalities in Statistics; Korea Institute for Health and Social Affairs: Sejong City, Republic of Korea, 2019; p. 10, (In Korean). Available online: https://koweps.re.kr/api/kihasa/file/download?seq=16025 (accessed on 5 December 2024).
- Shin, H.R.; Won, Y.J.; Jung, K.W.; Kong, H.J.; Yim, S.H.; Lee, J.K.; Noh, H.I.; Lee, J.K.; Pisani, P.; Park, J.G.; et al. Nationwide cancer incidence in Korea, 1999~2001; first result using the national cancer incidence database. Cancer Res. Treat. 2005, 37, 325–331. [Google Scholar] [CrossRef] [PubMed]
- Oh, C.M.; Won, Y.J.; Jung, K.W.; Kong, H.J.; Cho, H.; Lee, J.K.; Lee, D.H.; Lee, K.H.; The Community of Population-Based Regional Cancer Registries. Cancer Statistics in Korea: Incidence, Mortality, Survival, and Prevalence in 2013. Cancer Res. Treat. 2016, 48, 436–450. [Google Scholar] [CrossRef]
- Shaukat, A.; Kahi, C.J.; Burke, C.A.; Rabeneck, L.; Sauer, B.G.; Rex, D.K. ACG Clinical Guidelines: Colorectal Cancer Screening 2021. Am. J. Gastroenterol. 2021, 116, 458–479. [Google Scholar] [CrossRef] [PubMed]
- Choi, M.H.; Cheong, K.S.; Cho, B.M.; Hwang, I.K.; Kim, C.H.; Kim, M.H.; Hwang, S.S.; Lim, J.H.; Yoon, T.H. Deprivation and mortality at the town level in Busan, Korea: An ecological study. J. Prev. Med. Public Health 2011, 44, 242–248. [Google Scholar] [CrossRef] [PubMed]
- Diez-Roux, A.V. Multilevel analysis in public health research. Annu. Rev. Public Health 2000, 21, 171–192. [Google Scholar] [CrossRef]
- Duncan, C.; Jones, K.; Moon, G. Context, composition and heterogeneity: Using multilevel models in health research. Soc. Sci. Med. 1998, 46, 97–117. [Google Scholar] [CrossRef]
- Lee, J.; Park, J.; Kim, N.; Nari, F.; Bae, S.; Lee, H.J.; Lee, M.; Jun, J.K.; Choi, K.S.; Suh, M. Socioeconomic Disparities in Six Common Cancer Survival Rates in South Korea: Population-Wide Retrospective Cohort Study. JMIR Public Health Surveill. 2024, 10, e55011. [Google Scholar] [CrossRef]
- Hufnagel, D.H.; Khabele, D.; Yull, F.E.; Hull, P.C.; Schildkraut, J.; Crispens, M.A.; Beeghly-Fadiel, A. Increasing Area Deprivation Index negatively impacts ovarian cancer survival. Cancer Epidemiol. 2021, 74, 102013. [Google Scholar] [CrossRef]
- National Cancer Center. Viewing Cancer Trends Through Data: 2022 Report. 2022, pp. 53–55. (In Korean). Available online: https://www.cancer.go.kr/download.do?uuid=5ea6cfc3-4bd9-4aba-adc8-59c2f7939c59.pdf (accessed on 5 December 2024).
- Kim, G.H.; Lee, Y.C.; Kim, T.J.; Hong, S.N.; Chang, D.K.; Kim, Y.H.; Yang, D.H.; Moon, C.M.; Kim, K.; Kim, H.G.; et al. Trends in colorectal cancer incidence according to an increase in the number of colonoscopy cases in Korea. World J. Gastrointest. Oncol. 2024, 16, 51–60. [Google Scholar] [CrossRef] [PubMed]
- Chang, S.H.; Patel, N.; Du, M.; Liang, P.S. Trends in Early-onset vs Late-onset Colorectal Cancer Incidence by Race/Ethnicity in the United States Cancer Statistics Database. Clin. Gastroenterol. Hepatol. Off. Clin. Pract. J. Am. Gastroenterol. Assoc. 2022, 20, e1365–e1377. [Google Scholar] [CrossRef]
- Vuik, F.E.; Nieuwenburg, S.A.; Bardou, M.; Lansdorp-Vogelaar, I.; Dinis-Ribeiro, M.; Bento, M.J.; Zadnik, V.; Pellise, M.; Esteban, L.; Kaminski, M.F.; et al. Increasing incidence of colorectal cancer in young adults in Europe over the last 25 years. Gut 2019, 68, 1820–1826. [Google Scholar] [CrossRef]
- Mauri, G.; Sartore-Bianchi, A.; Russo, A.G.; Marsoni, S.; Bardelli, A.; Siena, S. Early-onset colorectal cancer in young individuals. Mol. Oncol. 2019, 13, 109–131. [Google Scholar] [CrossRef]
- Lui, R.N.; Tsoi, K.K.F.; Ho, J.M.W.; Lo, C.M.; Chan, F.C.H.; Kyaw, M.H.; Sung, J.J.Y. Global Increasing Incidence of Young-Onset Colorectal Cancer Across 5 Continents: A Joinpoint Regression Analysis of 1,922,167 Cases. Cancer Epidemiol. Biomark. Prev. 2019, 28, 1275–1282. [Google Scholar] [CrossRef] [PubMed]
- Young, J.P.; Win, A.K.; Rosty, C.; Flight, I.; Roder, D.; Young, G.P.; Frank, O.; Suthers, G.K.; Hewett, P.J.; Ruszkiewicz, A.; et al. Rising incidence of early-onset colorectal cancer in Australia over two decades: Report and review. J. Gastroenterol. Hepatol. 2015, 30, 6–13. [Google Scholar] [CrossRef]
- Shin, A.; Jung, K.W.; Jeong, S.Y. Right Then, Wrong Now: Early-Onset Colorectal Cancer in Korea. Cancer Res. Treat. 2023, 55, 1058–1060. [Google Scholar] [CrossRef]
- Jeong, M.A.; Kang, H.W. Early-onset Colorectal Cancer. Korean J. Gastroenterol. Taehan Sohwagi Hakhoe Chi 2019, 74, 4–10. [Google Scholar] [CrossRef]
- Nunez, O.; Rodriguez Barranco, M.; Fernandez-Navarro, P.; Redondo Sanchez, D.; Luque Fernandez, M.A.; Pollan Santamaria, M.; Sanchez, M.J. Deprivation gap in colorectal cancer survival attributable to stage at diagnosis: A population-based study in Spain. Cancer Epidemiol. 2020, 68, 101794. [Google Scholar] [CrossRef] [PubMed]
- Manser, C.N.; Bauerfeind, P. Impact of socioeconomic status on incidence, mortality, and survival of colorectal cancer patients: A systematic review. Gastrointest. Endosc. 2014, 80, 42–60 e49. [Google Scholar] [CrossRef] [PubMed]
- Hur, H.; Oh, C.M.; Won, Y.J.; Oh, J.H.; Kim, N.K. Characteristics and Survival of Korean Patients With Colorectal Cancer Based on Data From the Korea Central Cancer Registry Data. Ann. Coloproctology 2018, 34, 212–221. [Google Scholar] [CrossRef]
- Pickwell-Smith, B.A.; Spencer, K.; Sadeghi, M.H.; Greenley, S.; Lind, M.; Macleod, U. Where are the inequalities in colorectal cancer care in a country with universal healthcare? A systematic review and narrative synthesis. BMJ Open 2024, 14, e080467. [Google Scholar] [CrossRef]
- Dalstra, J.A.; Kunst, A.E.; Borrell, C.; Breeze, E.; Cambois, E.; Costa, G.; Geurts, J.J.; Lahelma, E.; Van Oyen, H.; Rasmussen, N.K.; et al. Socioeconomic differences in the prevalence of common chronic diseases: An overview of eight European countries. Int. J. Epidemiol. 2005, 34, 316–326. [Google Scholar] [CrossRef]
- Chen, W.; Altshuler, R.D.; Daschner, P.; Salvador Morales, C.; St Germain, D.C.; Guida, J.; Prasanna, P.G.S.; Buchsbaum, J.C. Older adults with cancer and common comorbidities-challenges and opportunities in improving their cancer treatment outcomes. J. Natl. Cancer Inst. 2024, 116, 1730–1738. [Google Scholar] [CrossRef]
- Chang, W.H.; Lai, A.G. Pan-cancer analyses of the associations between 109 pre-existing conditions and cancer treatment patterns across 19 adult cancers. Sci. Rep. 2024, 14, 464. [Google Scholar] [CrossRef]
- World Health Organization. The World Health Report: Health Systems Financing: The Path to Universal Coverage; World Health Organisation: Geneva, Switzerland, 2010. [Google Scholar]
- Lonnroth, K.; Glaziou, P.; Weil, D.; Floyd, K.; Uplekar, M.; Raviglione, M. Beyond UHC: Monitoring health and social protection coverage in the context of tuberculosis care and prevention. PLoS Med. 2014, 11, e1001693. [Google Scholar] [CrossRef]
- Benach, J.; Malmusi, D.; Yasui, Y.; Martinez, J.M.; Muntaner, C. Beyond Rose’s strategies: A typology of scenarios of policy impact on population health and health inequalities. Int. J. Health Serv. Plan. Adm. Eval. 2011, 41, 1–9. [Google Scholar] [CrossRef] [PubMed]
- Frohlich, K.L.; Potvin, L. Transcending the known in public health practice: The inequality paradox: The population approach and vulnerable populations. Am. J. Public Health 2008, 98, 216–221. [Google Scholar] [CrossRef]


| Number of Patients with Cancer | Median Survival | ||||
|---|---|---|---|---|---|
| (%) | p-Value | Probability (%) | p-Value | ||
| Age group | 0–44 | 2243 (6.4) | <0.001 | 85.4 (83.8, 86.9) | <0.001 |
| 45–64 | 15,577 (44.5) | 83.7 (83.1, 84.4) | |||
| 65–74 | 10,347 (29.6) | 78.4 (77.5, 79.2) | |||
| ≥75 | 6832 (19.5) | 59.4 (58.1, 60.7) | |||
| Gender | Men | 21,006 (60.0) | <0.001 | 78.6 (78.0, 79.1) | <0.001 |
| Women | 13,993 (40.0) | 76.5 (75.7, 77.2) | |||
| Stage | Local | 12,967 (37.0) | <0.001 | 92.3 (91.8, 92.8) | <0.001 |
| Regional | 15,872 (45.3) | 82.8 (82.2, 83.4) | |||
| Distant | 6160 (17.6) | 31.5 (30.3, 32.8) | |||
| Year of diagnosis | 2003 | 828 (2.4) | <0.001 | 68.0 (64.7, 71.4) | <0.001 |
| 2004 | 959 (2.7) | 70.5 (67.5, 73.6) | |||
| 2005 | 1165 (3.3) | 72.6 (70.0, 75.4) | |||
| 2006 | 1295 (3.7) | 75.5 (73.1, 78.0) | |||
| 2007 | 1547 (4.4) | 76.5 (74.3, 78.8) | |||
| 2008 | 1688 (4.8) | 74.7 (72.5, 76.9) | |||
| 2009 | 1953 (5.6) | 75.9 (74.0, 78.0) | |||
| 2010 | 2152 (6.1) | 77.8 (75.9, 79.6) | |||
| 2011 | 2267 (6.5) | 79.5 (77.7, 81.3) | |||
| 2012 | 2423 (6.9) | 81.3 (79.7, 83.0) | |||
| 2013 | 2439 (7.0) | 79.1 (77.4, 80.9) | |||
| 2014 | 2352 (6.7) | 76.9 (75.1, 78.8) | |||
| 2015 | 2380 (6.8) | 76.5 (74.7, 78.3) | |||
| 2016 | 2354 (6.7) | 77.6 (75.8, 79.4) | |||
| 2017 | 2436 (7.0) | 79.7 (78.0, 81.4) | |||
| 2018 | 2309 (6.6) | 75.9 (74.1, 77.8) | |||
| 2019 | 2273 (6.5) | 80.7 (79.0, 82.4) | |||
| 2020 | 2179 (6.2) | 87.5 (86.1, 89.0) | |||
| Deprivation index | 1st (least) | 7180 (20.5) | <0.001 | 80.5 (79.6, 81.5) | <0.001 |
| 2nd | 7057 (20.2) | 78.1 (77.1, 79.2) | |||
| 3rd | 6762 (19.3) | 77.2 (76.2, 78.3) | |||
| 4th | 7263 (20.8) | 77.6 (76.5, 78.6) | |||
| 5th (most) | 6737 (19.2) | 74.9 (73.8, 76.1) | |||
| Model 0 | Model 1 | Model 2 | ||||
|---|---|---|---|---|---|---|
| HR (95%CI) | HR (95%CI) | HR (95%CI) | ||||
| Fixed effect | ||||||
| Individual level | ||||||
| Age group (years) | 0–44 | (Ref.) | (Ref.) | |||
| 45–64 | 1.148 (1.027–1.284) | * | 1.141 (1.021–1.276) | * | ||
| 65–74 | 1.657 (1.48–1.856) | *** | 1.638 (1.462–1.834) | *** | ||
| ≥75 | 3.936 (3.514–4.408) | *** | 3.903 (3.485–4.371) | *** | ||
| Gender | Men | (Ref.) | (Ref.) | |||
| Women | 0.973 (0.929–1.018) | 0.973 (0.929–1.019) | ||||
| Stage | Local | (Ref.) | (Ref.) | |||
| Regional | 2.328 (2.168–2.499) | *** | 2.325 (2.166–2.497) | *** | ||
| Metastasis | 15.11 (14.09–16.21) | *** | 15.09 (14.07–16.19) | *** | ||
| Year of diagnosis | ||||||
| 2003 | 1.500 (1.291–1.743) | 1.491 (1.284–1.732) | *** | |||
| 2004 | 1.235 (1.066–1.431) | *** | 1.237 (1.068–1.433) | ** | ||
| 2005 | 1.202 (1.045–1.382) | ** | 1.202 (1.045–1.382) | ** | ||
| 2006 | 1.084 (0.942–1.247) | *** | 1.087 (0.945–1.250) | |||
| 2007 | 1.004 (0.878–1.147) | 1.004 (0.879–1.148) | ||||
| 2008 | 1.031 (0.905–1.175) | 1.029 (0.903–1.172) | ||||
| 2009 | 1.043 (0.92–1.182) | 1.044 (0.921–1.183) | ||||
| 2010 | (Ref.) | (Ref.) | ||||
| 2011 | 0.913 (0.805–1.036) | 0.916 (0.807–1.039) | ||||
| 2012 | 0.776 (0.683–0.881) | 0.776 (0.683–0.881) | *** | |||
| 2013 | 0.883 (0.779–1.001) | *** | 0.883 (0.779–1.001) | * | ||
| 2014 | 0.966 (0.855–1.092) | * | 0.966 (0.855–1.092) | |||
| 2015 | 0.864 (0.764–0.977) | 0.864 (0.764–0.978) | * | |||
| 2016 | 0.796 (0.703–0.902) | * | 0.795 (0.702–0.900) | *** | ||
| 2017 | 0.727 (0.64–0.825) | *** | 0.726 (0.639–0.824) | *** | ||
| 2018 | 0.791 (0.698–0.896) | *** | 0.792 (0.699–0.898) | *** | ||
| 2019 | 0.624 (0.545–0.715) | *** | 0.625 (0.546–0.715) | *** | ||
| 2020 | 0.491 (0.420–0.575) | *** | 0.490 (0.419–0.574) | *** | ||
| Area level | ||||||
| Deprivation | 1.066 (1.037–1.096) | *** | ||||
| Random part | ||||||
| (95% CI) | 0.126 (0.097–0.165) | 0.119 (0.090–0.157) | 0.111 (0.082–0.148) | |||
| MHR | 1.128 (1.097–1.170) | 1.120 (1.089–1.162) | 1.111 (1.082–1.152) | |||
Disclaimer/Publisher’s Note: The statements, opinions and data contained in all publications are solely those of the individual author(s) and contributor(s) and not of MDPI and/or the editor(s). MDPI and/or the editor(s) disclaim responsibility for any injury to people or property resulting from any ideas, methods, instructions or products referred to in the content. |
© 2025 by the authors. Licensee MDPI, Basel, Switzerland. This article is an open access article distributed under the terms and conditions of the Creative Commons Attribution (CC BY) license (https://creativecommons.org/licenses/by/4.0/).
Share and Cite
Hong, S.M.; Kim, A.; Kim, C.; Jang, S.; Kim, D.U.; Baek, D.H.; Lee, S.H.; Yi, Y.H.; Park, H.; Lee, J.; et al. Impact of Small Area Level Deprivation on Colorectal Cancer Survival: Findings from the Regional Cancer Registry in Korea. Cancers 2025, 17, 567. https://doi.org/10.3390/cancers17040567
Hong SM, Kim A, Kim C, Jang S, Kim DU, Baek DH, Lee SH, Yi YH, Park H, Lee J, et al. Impact of Small Area Level Deprivation on Colorectal Cancer Survival: Findings from the Regional Cancer Registry in Korea. Cancers. 2025; 17(4):567. https://doi.org/10.3390/cancers17040567
Chicago/Turabian StyleHong, Seung Min, Ahreum Kim, Changhoon Kim, Seunghye Jang, Dong Uk Kim, Dong Hoon Baek, Seung Hun Lee, Yu Hyeon Yi, Heeseung Park, Jonghyun Lee, and et al. 2025. "Impact of Small Area Level Deprivation on Colorectal Cancer Survival: Findings from the Regional Cancer Registry in Korea" Cancers 17, no. 4: 567. https://doi.org/10.3390/cancers17040567
APA StyleHong, S. M., Kim, A., Kim, C., Jang, S., Kim, D. U., Baek, D. H., Lee, S. H., Yi, Y. H., Park, H., Lee, J., Kim, T. I., & Lee, H. J. (2025). Impact of Small Area Level Deprivation on Colorectal Cancer Survival: Findings from the Regional Cancer Registry in Korea. Cancers, 17(4), 567. https://doi.org/10.3390/cancers17040567

