Multi-Omics Classification of Intrahepatic Cholangiocarcinoma: A Systematic Review and Meta-Analysis
Abstract
Simple Summary
Abstract
1. Introduction
2. Materials and Methods
2.1. Study Selection
2.2. Data Extraction and Quality Assessment
2.3. Statistical Analysis
3. Results
3.1. Search Results
3.2. Multi-Omics Classification and Cluster Analysis
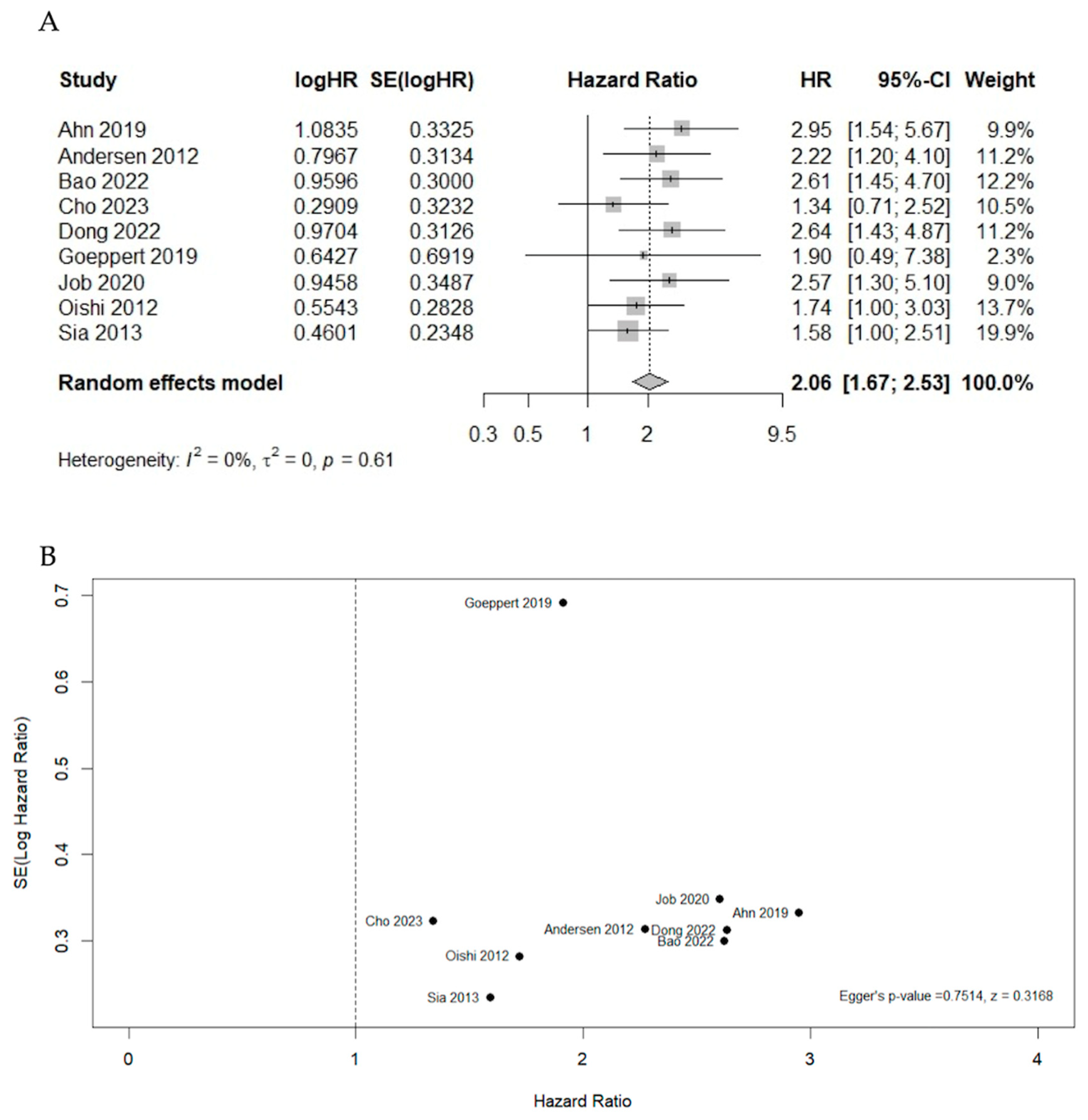
3.3. Long-Term Outcomes
3.4. Cluster-Specific Clinical and Prognostic Characteristics
4. Discussion
5. Conclusions
Supplementary Materials
Author Contributions
Funding
Data Availability Statement
Conflicts of Interest
References
- Nagtegaal, I.D.; Odze, R.D.; Klimstra, D.; Paradis, V.; Rugge, M.; Schirmacher, P.; Washington, K.M.; Carneiro, F.; Cree, I.A.; WHO Classification of Tumours Editorial Board. The 2019 WHO classification of tumours of the digestive system. Histopathology 2020, 76, 182–188. [Google Scholar] [CrossRef] [PubMed]
- Bertuccio, P.; Malvezzi, M.; Carioli, G.; Hashim, D.; Boffetta, P.; El-Serag, H.B.; La Vecchia, C.; Negri, E. Global trends in mortality from intrahepatic and extrahepatic cholangiocarcinoma. J. Hepatol. 2019, 71, 104–114. [Google Scholar] [CrossRef] [PubMed]
- Brown, K.M.; Parmar, A.D.; Geller, D.A. Intrahepatic cholangiocarcinoma. Surg. Oncol. Clin. N. Am. 2014, 23, 231–246. [Google Scholar] [CrossRef] [PubMed]
- Banales, J.M.; Cardinale, V.; Carpino, G.; Marzioni, M.; Andersen, J.B.; Invernizzi, P.; Lind, G.E.; Folseraas, T.; Forbes, S.J.; Fouassier, L.; et al. Expert consensus document: Cholangiocarcinoma: Current knowledge and future perspectives consensus statement from the European Network for the Study of Cholangiocarcinoma (ENS-CCA). Nat. Rev. Gastroenterol. Hepatol. 2016, 13, 261–280. [Google Scholar] [CrossRef] [PubMed]
- Beal, E.W.; Cloyd, J.M.; Pawlik, T.M. Surgical Treatment of Intrahepatic Cholangiocarcinoma: Current and Emerging Principles. J. Clin. Med. 2020, 10, 104. [Google Scholar] [CrossRef] [PubMed]
- Hyder, O.; Hatzaras, I.; Sotiropoulos, G.C.; Paul, A.; Alexandrescu, S.; Marques, H.; Pulitano, C.; Barroso, E.; Clary, B.M.; Aldrighetti, L.; et al. Recurrence after operative management of intrahepatic cholangiocarcinoma. Surgery 2013, 153, 811–818. [Google Scholar] [CrossRef] [PubMed]
- Ahn, K.S.; Kang, K.J. Molecular heterogeneity in intrahepatic cholangiocarcinoma. World J. Hepatol. 2020, 12, 1148–1157. [Google Scholar] [CrossRef] [PubMed]
- Feng, Y.; Zhao, M.; Wang, L.; Li, L.; Lei, J.H.; Zhou, J.; Chen, J.; Wu, Y.; Miao, K.; Deng, C.X. The heterogeneity of signaling pathways and drug responses in intrahepatic cholangiocarcinoma with distinct genetic mutations. Cell Death Dis. 2024, 15, 34. [Google Scholar] [CrossRef] [PubMed]
- Lampertico, P.; Agarwal, K.; Berg, T.; Buti, M.; Janssen, H.L.A.; Papatheodoridis, G.; European Association for the Study of the Liver. Electronic address: Easloffice@easloffice.eu; European Association for the Study of the Liver. EASL-ILCA Clinical Practice Guidelines on the management of intrahepatic cholangiocarcinoma. J. Hepatol. 2023, 79, 181–208, Erratum in J. Hepatol. 2023, 79, 1342. [Google Scholar] [CrossRef]
- Nakamura, H.; Arai, Y.; Totoki, Y.; Shirota, T.; Elzawahry, A.; Kato, M.; Hama, N.; Hosoda, F.; Urushidate, T.; Ohashi, S.; et al. Genomic spectra of biliary tract cancer. Nat. Genet. 2015, 47, 1003–1010. [Google Scholar] [CrossRef]
- Montal, R.; Sia, D.; Montironi, C.; Leow, W.Q.; Esteban-Fabró, R.; Pinyol, R.; Torres-Martin, M.; Bassaganyas, L.; Moeini, A.; Peix, J.; et al. Molecular classification and therapeutic targets in extrahepatic cholangiocarcinoma. J. Hepatol. 2020, 73, 315–327. [Google Scholar] [CrossRef] [PubMed]
- Silvestri, M.; Nghia Vu, T.; Nichetti, F.; Niger, M.; Di Cosimo, S.; De Braud, F.; Pruneri, G.; Pawitan, Y.; Calza, S.; Cappelletti, V. Comprehensive transcriptomic analysis to identify biological and clinical differences in cholangiocarcinoma. Cancer Med. 2023, 12, 10156–10168. [Google Scholar] [CrossRef] [PubMed]
- Page, M.J.; McKenzie, J.E.; Bossuyt, P.M.; Boutron, I.; Hoffmann, T.C.; Mulrow, C.D.; Shamseer, L.; Tetzlaff, J.M.; Akl, E.A.; Brennan, S.E.; et al. The PRISMA 2020 statement: An updated guideline for reporting systematic reviews. BMJ 2021, 372, n71. [Google Scholar] [CrossRef] [PubMed]
- Kohl, C.; McIntosh, E.J.; Unger, S.; Haddaway, N.R.; Kecke, S.; Schiemann, J.; Wilhelm, R. Online tools supporting the conduct and reporting of systematic reviews and systematic maps: A case study on CADIMA and review of existing tools. Environ. Evid. 2018, 7, 8. [Google Scholar] [CrossRef]
- Amin, M.B.; Greene, F.L.; Edge, S.B.; Compton, C.C.; Gershenwald, J.E.; Brookland, R.K.; Meyer, L.; Gress, D.M.; Byrd, D.R.; Winchester, D.P. The Eighth Edition AJCC Cancer Staging Manual: Continuing to build a bridge from a population-based to a more “personalized” approach to cancer staging. CA Cancer J. Clin. 2017, 67, 93–99. [Google Scholar] [CrossRef] [PubMed]
- Riley, R.D.; Higgins, J.P.; Deeks, J.J. Interpretation of random effects meta-analyses. BMJ 2011, 342, d549. [Google Scholar] [CrossRef] [PubMed]
- Higgins, J.P.T.; Thomas, J.; Chandler, J.; Cumpston, M.; Li, T.; Page, M.J.; Welch, V.A. (Eds.) Cochrane Handbook for Systematic Reviews of Interventions Version 6.4 (Updated August 2023); Cochrane: Oxford, UK, 2023; Available online: www.training.cochrane.org/handbook (accessed on 15 September 2023).
- Song, G.; Shi, Y.; Meng, L.; Ma, J.; Huang, S.; Zhang, J.; Wu, Y.; Li, J.; Lin, Y.; Yang, S.; et al. Single-cell transcriptomic analysis suggests two molecularly subtypes of intrahepatic cholangiocarcinoma. Nat. Commun. 2022, 13, 1642. [Google Scholar] [CrossRef] [PubMed]
- Lin, J.; Dai, Y.; Sang, C.; Song, G.; Xiang, B.; Zhang, M.; Dong, L.; Xia, X.; Ma, J.; Shen, X.; et al. Multimodule characterization of immune subgroups in intrahepatic cholangiocarcinoma reveals distinct therapeutic vulnerabilities. J. Immunother. Cancer 2022, 10, e004892. [Google Scholar] [CrossRef]
- Wang, X.Y.; Zhu, W.W.; Wang, Z.; Huang, J.B.; Wang, S.H.; Bai, F.M.; Li, T.E.; Zhu, Y.; Zhao, J.; Yang, X.; et al. Driver mutations of intrahepatic cholangiocarcinoma shape clinically relevant genomic clusters with distinct molecular features and therapeutic vulnerabilities. Theranostics 2022, 12, 260–276. [Google Scholar] [CrossRef]
- Ahn, K.S.; O’Brien, D.; Kang, Y.N.; Mounajjed, T.; Kim, Y.H.; Kim, T.S.; Kocher, J.A.; Allotey, L.K.; Borad, M.J.; Roberts, L.R.; et al. Prognostic subclass of intrahepatic cholangiocarcinoma by integrative molecular-clinical analysis and potential targeted approach. Hepatol. Int. 2019, 13, 490–500. [Google Scholar] [CrossRef]
- Andersen, J.B.; Spee, B.; Blechacz, B.R.; Avital, I.; Komuta, M.; Barbour, A.; Conner, E.A.; Gillen, M.C.; Roskams, T.; Roberts, L.R.; et al. Genomic and genetic characterization of cholangiocarcinoma identifies therapeutic targets for tyrosine kinase inhibitors. Gastroenterology 2012, 142, 1021–1031.e15. [Google Scholar] [CrossRef] [PubMed]
- Sia, D.; Hoshida, Y.; Villanueva, A.; Roayaie, S.; Ferrer, J.; Tabak, B.; Peix, J.; Sole, M.; Tovar, V.; Alsinet, C.; et al. Integrative molecular analysis of intrahepatic cholangiocarcinoma reveals 2 classes that have different outcomes. Gastroenterology 2013, 144, 829–840. [Google Scholar] [CrossRef] [PubMed]
- Cho, S.Y.; Hwang, H.; Kim, Y.H.; Yoo, B.C.; Han, N.; Kong, S.Y.; Baek, M.J.; Kim, K.H.; Lee, M.R.; Park, J.G.; et al. Refining Classification of Cholangiocarcinoma Subtypes via Proteogenomic Integration Reveals New Therapeutic Prospects. Gastroenterology 2023, 164, 1293–1309. [Google Scholar] [CrossRef] [PubMed]
- Bao, X.; Li, Q.; Chen, J.; Chen, D.; Ye, C.; Dai, X.; Wang, Y.; Li, X.; Rong, X.; Cheng, F.; et al. Molecular Subgroups of Intrahepatic Cholangiocarcinoma Discovered by Single-Cell RNA Sequencing-Assisted Multiomics Analysis. Cancer Immunol. Res. 2022, 10, 811–828. [Google Scholar] [CrossRef] [PubMed]
- Dong, L.; Lu, D.; Chen, R.; Lin, Y.; Zhu, H.; Zhang, Z.; Cai, S.; Cui, P.; Song, G.; Rao, D.; et al. Proteogenomic characterization identifies clinically relevant subgroups of intrahepatic cholangiocarcinoma. Cancer Cell 2022, 40, 70–87.e15. [Google Scholar] [CrossRef] [PubMed]
- Oishi, N.; Kumar, M.R.; Roessler, S.; Ji, J.; Forgues, M.; Budhu, A.; Zhao, X.; Andersen, J.B.; Ye, Q.H.; Jia, H.L.; et al. Transcriptomic profiling reveals hepatic stem-like gene signatures and interplay of miR-200c and epithelial-mesenchymal transition in intrahepatic cholangiocarcinoma. Hepatology 2012, 56, 1792–1803. [Google Scholar] [CrossRef]
- Goeppert, B.; Toth, R.; Singer, S.; Albrecht, T.; Lipka, D.B.; Lutsik, P.; Brocks, D.; Baehr, M.; Muecke, O.; Assenov, Y.; et al. Integrative Analysis Defines Distinct Prognostic Subgroups of Intrahepatic Cholangiocarcinoma. Hepatology 2019, 69, 2091–2106. [Google Scholar] [CrossRef] [PubMed]
- Job, S.; Rapoud, D.; Dos Santos, A.; Gonzalez, P.; Desterke, C.; Pascal, G.; Elarouci, N.; Ayadi, M.; Adam, R.; Azoulay, D.; et al. Identification of Four Immune Subtypes Characterized by Distinct Composition and Functions of Tumor Microenvironment in Intrahepatic Cholangiocarcinoma. Hepatology 2020, 72, 965–981. [Google Scholar] [CrossRef] [PubMed]
- Sapisochin, G.; Ivanics, T.; Subramanian, V.; Doyle, M.; Heimbach, J.K.; Hong, J.C. Multidisciplinary treatment for hilar and intrahepatic cholangiocarcinoma: A review of the general principles. Int. J. Surg. 2020, 82S, 77–81. [Google Scholar] [CrossRef]
- Groot Koerkamp, B.; Wiggers, J.K.; Allen, P.J.; Besselink, M.G.; Blumgart, L.H.; Busch, O.R.; Coelen, R.J.; D’Angelica, M.I.; DeMatteo, R.P.; Gouma, D.J.; et al. Recurrence Rate and Pattern of Perihilar Cholangiocarcinoma after Curative Intent Resection. J. Am. Coll. Surg. 2015, 221, 1041–1049. [Google Scholar] [CrossRef]
- Komaya, K.; Ebata, T.; Yokoyama, Y.; Igami, T.; Sugawara, G.; Mizuno, T.; Yamaguchi, J.; Nagino, M. Recurrence after curative-intent resection of perihilar cholangiocarcinoma: Analysis of a large cohort with a close postoperative follow-up approach. Surgery 2018, 163, 732–738. [Google Scholar] [CrossRef] [PubMed]
- Chung, T.; Park, Y.N. Up-to-Date Pathologic Classification and Molecular Characteristics of Intrahepatic Cholangiocarcinoma. Front. Med. 2022, 9, 857140. [Google Scholar] [CrossRef] [PubMed]
- Guo, X.; Shen, W. Latest evidence on immunotherapy for cholangiocarcinoma. Oncol. Lett. 2020, 20, 381. [Google Scholar] [CrossRef] [PubMed]
- Farshidfar, F.; Zheng, S.; Gingras, M.C.; Newton, Y.; Shih, J.; Robertson, A.G.; Hinoue, T.; Hoadley, K.A.; Gibb, E.A.; Roszik, J.; et al. Integrative Genomic Analysis of Cholangiocarcinoma Identifies Distinct IDH-Mutant Molecular Profiles. Cell Rep. 2017, 18, 2780–2794. [Google Scholar] [CrossRef] [PubMed]
- Murakami, Y.; Kubo, S.; Tamori, A.; Itami, S.; Kawamura, E.; Iwaisako, K.; Ikeda, K.; Kawada, N.; Ochiya, T.; Taguchi, Y.H. Comprehensive analysis of transcriptome and metabolome analysis in Intrahepatic Cholangiocarcinoma and Hepatocellular Carcinoma. Sci. Rep. 2015, 5, 16294. [Google Scholar] [CrossRef] [PubMed]
- Simbolo, M.; Fassan, M.; Ruzzenente, A.; Mafficini, A.; Wood, L.D.; Corbo, V.; Melisi, D.; Malleo, G.; Vicentini, C.; Malpeli, G.; et al. Multigene mutational profiling of cholangiocarcinomas identifies actionable molecular subgroups. Oncotarget 2014, 5, 2839–2852. [Google Scholar] [CrossRef] [PubMed]
- Vahabi, N.; Michailidis, G. Unsupervised Multi-Omics Data Integration Methods: A Comprehensive Review. Front. Genet. 2022, 13, 854752. [Google Scholar] [CrossRef]
- Alaimo, L.; Moazzam, Z.; Endo, Y.; Lima, H.A.; Ruzzenente, A.; Guglielmi, A.; Aldrighetti, L.; Weiss, M.; Bauer, T.W.; Alexandrescu, S.; et al. Long-Term Recurrence-Free and Overall Survival Differ Based on Common, Proliferative, and Inflammatory Subtypes After Resection of Intrahepatic Cholangiocarcinoma. Ann. Surg. Oncol. 2023, 30, 1392–1403. [Google Scholar] [CrossRef]
- Carotenuto, M.; Sacco, A.; Forgione, L.; Normanno, N. Genomic alterations in cholangiocarcinoma: Clinical significance and relevance to therapy. Explor. Target. Anti-Tumor Ther. 2022, 3, 200–223. [Google Scholar] [CrossRef]
- Cardinale, V.; Bragazzi, M.C.; Carpino, G.; Torrice, A.; Fraveto, A.; Gentile, R.; Pasqualino, V.; Melandro, F.; Aliberti, C.; Bastianelli, C.; et al. Cholangiocarcinoma: Increasing burden of classifications. Hepatobiliary Surg. Nutr. 2013, 2, 272–280. [Google Scholar] [CrossRef]
- Borger, D.R.; Tanabe, K.K.; Fan, K.C.; Lopez, H.U.; Fantin, V.R.; Straley, K.S.; Schenkein, D.P.; Hezel, A.F.; Ancukiewicz, M.; Liebman, H.M.; et al. Frequent mutation of isocitrate dehydrogenase (IDH)1 and IDH2 in cholangiocarcinoma identified through broad-based tumor genotyping. Oncologist 2012, 17, 72–79. [Google Scholar] [CrossRef] [PubMed]
- Churi, C.R.; Shroff, R.; Wang, Y.; Rashid, A.; Kang, H.C.; Weatherly, J.; Zuo, M.; Zinner, R.; Hong, D.; Meric-Bernstam, F.; et al. Mutation profiling in cholangiocarcinoma: Prognostic and therapeutic implications. PLoS ONE 2014, 9, e115383. [Google Scholar] [CrossRef]
- Wu, Y.M.; Su, F.; Kalyana-Sundaram, S.; Khazanov, N.; Ateeq, B.; Cao, X.; Lonigro, R.J.; Vats, P.; Wang, R.; Lin, S.F.; et al. Identification of targetable FGFR gene fusions in diverse cancers. Cancer Discov. 2013, 3, 636–647. [Google Scholar] [CrossRef] [PubMed]
- Graham, R.P.; Barr Fritcher, E.G.; Pestova, E.; Schulz, J.; Sitailo, L.A.; Vasmatzis, G.; Murphy, S.J.; McWilliams, R.R.; Hart, S.N.; Halling, K.C.; et al. Fibroblast growth factor receptor 2 translocations in intrahepatic cholangiocarcinoma. Hum. Pathol. 2014, 45, 1630–1638. [Google Scholar] [CrossRef] [PubMed]
- Wang, L.; Zhu, H.; Zhao, Y.; Pan, Q.; Mao, A.; Zhu, W.; Zhang, N.; Lin, Z.; Zhou, J.; Wang, Y.; et al. Comprehensive molecular profiling of intrahepatic cholangiocarcinoma in the Chinese population and therapeutic experience. J. Transl. Med. 2020, 18, 273. [Google Scholar] [CrossRef]
- Hasita, H.; Komohara, Y.; Okabe, H.; Masuda, T.; Ohnishi, K.; Lei, X.F.; Beppu, T.; Baba, H.; Takeya, M. Significance of alternatively activated macrophages in patients with intrahepatic cholangiocarcinoma. Cancer Sci. 2010, 101, 1913–1919. [Google Scholar] [CrossRef] [PubMed]
- Wu, H.J.; Chu, P.Y. Role of Cancer Stem Cells in Cholangiocarcinoma and Therapeutic Implications. Int. J. Mol. Sci. 2019, 20, 4154. [Google Scholar] [CrossRef]
- Jing, C.Y.; Fu, Y.P.; Huang, J.L.; Zhang, M.X.; Yi, Y.; Gan, W.; Xu, X.; Shen, H.J.; Lin, J.J.; Zheng, S.S.; et al. Prognostic Nomogram Based on Histological Characteristics of Fibrotic Tumor Stroma in Patients Who Underwent Curative Resection for Intrahepatic Cholangiocarcinoma. Oncologist 2018, 23, 1482–1493. [Google Scholar] [CrossRef] [PubMed]
- Ilyas, S.I.; Affo, S.; Goyal, L.; Lamarca, A.; Sapisochin, G.; Yang, J.D.; Gores, G.J. Cholangiocarcinoma—Novel biological insights and therapeutic strategies. Nat. Rev. Clin. Oncol. 2023, 20, 470–486. [Google Scholar] [CrossRef]
- Pavicevic, S.; Reichelt, S.; Uluk, D.; Lurje, I.; Engelmann, C.; Modest, D.P.; Pelzer, U.; Krenzien, F.; Raschzok, N.; Benzing, C.; et al. Prognostic and Predictive Molecular Markers in Cholangiocarcinoma. Cancers 2022, 14, 1026. [Google Scholar] [CrossRef]
- Moro, A.; Mehta, R.; Sahara, K.; Tsilimigras, D.I.; Paredes, A.Z.; Farooq, A.; Hyer, J.M.; Endo, I.; Shen, F.; Guglielmi, A.; et al. The Impact of Preoperative CA19-9 and CEA on Outcomes of Patients with Intrahepatic Cholangiocarcinoma. Ann. Surg. Oncol. 2020, 27, 2888–2901. [Google Scholar] [CrossRef] [PubMed]
- Primrose, J.N.; Fox, R.P.; Palmer, D.H.; Malik, H.Z.; Prasad, R.; Mirza, D.; Anthony, A.; Corrie, P.; Falk, S.; Coxon, F.; et al. Capecitabine compared with observation in resected biliary tract cancer (BILCAP): A randomised, controlled, multicentre, phase 3 study. Lancet Oncol. 2019, 20, 663–673. [Google Scholar] [CrossRef] [PubMed]
- Zhu, A.X.; Macarulla, T.; Javle, M.M.; Kelley, R.K.; Lubner, S.J.; Adeva, J.; Cleary, J.M.; Catenacci, D.V.T.; Borad, M.J.; Bridgewater, J.A.; et al. Final Overall Survival Efficacy Results of Ivosidenib for Patients With Advanced Cholangiocarcinoma With IDH1 Mutation: The Phase 3 Randomized Clinical ClarIDHy Trial. JAMA Oncol. 2021, 7, 1669–1677. [Google Scholar] [CrossRef] [PubMed]


| Study ID | Patients | Age | Country | Time Frame | Outcomes |
|---|---|---|---|---|---|
| n | Mean (Range) | ||||
| Ahn 2019 [21] | 30 | 65.0 (49.0–79.0) | Korea | 2008–2013 | OS, DFS |
| Andersen 2012 [22] | 104 | 64.0 | Europe, US, Australia | 1991–2008 | OS, DFS |
| Bao 2022 [25] | 110 | 60.0 (54.0–66.0) a | China | 2014–2021 | OS |
| Cho 2023 [24] | 102 | 64.0 (38.0–91-0) | Korea | 2001–2018 | OS, DFS |
| Dong 2022 [26] | 262 | 61.0 | China | 2014–2018 | OS |
| Goeppert 2019 [28] | 52 | 59.9 | Europe | - | OS |
| Job 2020 [29] | 78 | 62.0 (52.0–69.0) a | France | 2001–2014 | OS |
| Oishi 2012 [27] | 23 | 59.5 | China, Japan | 2002–2003; 2008–2010 | OS |
| Sia 2013 [23] | 149 | 64.0 (54.0–70.0) a | Europe, US | 1995–2007 | OS, DFS |
| Study ID | Clusters | Good Prognosis Cluster | Bad Prognosis Cluster | Classifier | Validation |
|---|---|---|---|---|---|
| n | n of patients (%) | n of patients (%) | |||
| Ahn 2019 [21] | 2 | 12 (37.5) | 18 (56.3) | Yes | Yes |
| Andersen 2012 [22] | 2 | 51 (49.0) | 53 (51.0) | Yes | Yes |
| Bao 2022 [25] | 3 | 33 (30.0) | 37 (33.6) | No | Yes |
| Cho 2023 [24] | 3 | 35 (34.3) | 25 (24.5) | Yes | Yes |
| Dong 2022 [26] | 4 | 67 (25.6) | 41 (15.6) | No | Yes |
| Goeppert 2019 [28] | 4 | 14 (26.9) | 13 (25.0) | No | No |
| Job 2020 [29] | 4 | 8 (10.3) | 14 (17.9) | Yes | Yes |
| Oishi 2012 [27] | 2 | 15 (65.2) | 8 (34.8) | Yes | Yes |
| Sia 2013 [23] | 2 | 57 (38.3) | 92 (61.7) | Yes | Yes |
| Mutations | Gene Expression Signature * | Prognosis | ||||||||||||
|---|---|---|---|---|---|---|---|---|---|---|---|---|---|---|
| Study ID | Cluster | KRAS | TP53 | IDH1 | FGFR2 | BRAF | ARID1A | Inflammation | Proliferation | Mesenchymal | Immune | Metabolic | Good | Bad |
| Ahn 2019 [21] | 1 | + | + | + | + | |||||||||
| 2 | + | + | + | + | + | + | ||||||||
| Andersen 2012 [22] | 1 | + | + | |||||||||||
| 2 | + | + | + | + | + | |||||||||
| Bao 2022 [25] | 1 | + | + | + | + | |||||||||
| 2 | + | |||||||||||||
| 3 | + | + | + | + | ||||||||||
| Cho 2023 [24] | 1 | + | + | + | + | |||||||||
| 2 | ||||||||||||||
| 3 | + | + | + | + | ||||||||||
| Dong 2022 [26] | 1 | + | + | |||||||||||
| 2 | + | + | + | |||||||||||
| 3 | + | + | ||||||||||||
| 4 | + | + | + | |||||||||||
| Goeppert 2019 [28] | 1 | + | ||||||||||||
| 2 | + | |||||||||||||
| 3 | ||||||||||||||
| 4 | + | |||||||||||||
| Job 2020 [29] | 1 | + | + | + | + | |||||||||
| 2 | ||||||||||||||
| 3 | + | + | ||||||||||||
| 4 | + | + | + | + | ||||||||||
| Oishi 2012 [27] | 1 | + | ||||||||||||
| 2 | + | + | ||||||||||||
| Sia 2013 [23] | 1 | + | + | + | ||||||||||
| 2 | + | + | + | |||||||||||
| Study ID | Patients | Clusters’ Median OS | Clusters’ 3-Yr OS | Clusters’ 5-Yr OS | |||||||||
|---|---|---|---|---|---|---|---|---|---|---|---|---|---|
| n | Months | % | % | ||||||||||
| 1 | 2 | 3 | 4 | 1 | 2 | 3 | 4 | 1 | 2 | 3 | 4 | ||
| Ahn 2019 [21] | 30 | NA | 25.3 | 70.7 | 25.8 | 70.7 | 7.6 | ||||||
| Andersen 2012 [22] | 104 | NA | 22.0 | 73.0 | 43.0 | 72.0 | 30.0 | ||||||
| Bao 2022 [25] | 110 | NA | 30.0 | 15.9 | 58.8 | 21.5 | 15.9 | ||||||
| Cho 2023 [24] | 101 | 63.0 | 42.0 | 11.0 | 70.3 | 54.3 | 25.3 | 56.0 | 42.7 | 25.3 | |||
| Dong 2022 [26] | 214 | NA | 38.3 | 26.3 | 18.2 | 74.4 | 53.0 | 37.2 | 30.3 | 67.1 | 46.7 | 36.2 | 21.8 |
| Goeppert 2019 [28] | 49 | NA | 48.2 | 36.2 | 12.3 | 91.2 | 65.0 | 38.7 | 30.0 | 78.0 | 32.1 | 27.9 | 14.2 |
| Job 2020 [29] | 76 | 72.6 | 41.4 | 24.6 | 16.3 | 74.1 | 58.0 | 34.0 | 20.0 | 59.3 | 42.4 | 33.4 | 9.8 |
| Oishi 2012 [27] | 23 | NA | 28.9 | 63.1 | 0 | ||||||||
| Sia 2013 [23] | 119 a | 47.7 | 24.4 | 56.6 | 41.4 | 39.8 | 28.3 | ||||||
| Cluster | Ahn 2019 [21] | Andersen 2012 [22] | Bao 2022 [25] | Cho 2023 [24] | Dong 2022 [26] | Goeppert 2019 [28] | Job 2020 [29] | Oishi 2012 [27] | Sia 2013 [23] | |
|---|---|---|---|---|---|---|---|---|---|---|
| CEA < 5 ng/mL, n (%) | Good | 11 (91.7) * | 61 (91.0) * | |||||||
| Bad | 9 (50.0) * | 27 (65.8) * | ||||||||
| CEA > 5 ng/mL, n (%) | Good | 0 * | 6 (8.9) * | |||||||
| Bad | 7 (38.9) * | 14 (34.1) * | ||||||||
| HBV, n (%) | Good | 4 (33.3) * | 26 (78.8) | 1 (6.7) | 0 | 6 (13.0) | ||||
| Bad | 0 * | 30 (81.1) | 0 | 1 (7.1) | 5 (7.0) | |||||
| Tumor size (cm) | Good | 6.3 ± 6.0 a | 6.7 ± 0.43 a | 6 (4–8.4) b | ||||||
| Bad | 6.0 ± 2.9 a | 5.1 ± 0.43 a | 7 (4.0–10.0) b | |||||||
| Nodal metastases, n (%) | Good | 2 (16.7) | 4 (6.0) * | |||||||
| Bad | 5 (27.8) | 10 (24.4) * | ||||||||
| TNM stage, n (%) | ||||||||||
| I | Good | 7 (58.3) | I + II 24.0 (72.7) | 34 (50.7) * | 8 (53.3) | 3 (37.5) | I + II 37 (78.0) | |||
| Bad | 8 (44.4) | I + II 20.0 (54.1) | 6 (14.6) * | 4 (28.6) | 0 | I + II 57 (79.0) | ||||
| II | Good | 3 (25.0) | 20 (29.8) * | 5 (33.3) | 1 (12.5) | |||||
| Bad | 3 (16.7) | 18 (43.9) * | 8 (57.1) | 8 (57.1) | ||||||
| III | Good | 0 | III + IV 9.0 (27.3) | 12 (17.9) * | 2 (13.3) | 0 | III + IV 9 (19.0) | |||
| Bad | 1 (5.6) | III + IV 17.0 (46.0) | 12 (29.3) * | 2 (14.3) | 2 (14.3) | III + IV 15 (21.0) | ||||
| IV | Good | 2 (16.6) | 1 (1.5) * | 0 | 3 (37.5) | |||||
| Bad | 6 (33.3) | 5.0 (12.2) * | 0 | 2 (14.3) | ||||||
| VI, n (%) | Good | 5 (41.7) | 23 (34.3) | 3 (37.5) | 4 (9.0) | |||||
| Bad | 7 (38.8) | 20 (42.5) | 6 (42.5) | 12 (17.0) | ||||||
| Histological type n (%) | ||||||||||
| Large duct | Good | 2 (6.1) * | 9 (25.0) | 5 (33.3) | ||||||
| Bad | 13 (72.2) * | 27 (75.0) | 5 (35.7) | |||||||
| Small duct | Good | 10 (83.3) * | 42 (61.8) | 10 (66.7) | ||||||
| Bad | 5 (27.8) * | 26 (38.2) | 9 (64.3) | |||||||
| Grade, n (%) | ||||||||||
| G1 | Good | 3 (37.5) | ||||||||
| Bad | 3 (37.5) | |||||||||
| G2 | Good | 3 (37.5) | ||||||||
| Bad | 9 (64.3) | |||||||||
| G3 | Good | 2 (25.0) | ||||||||
| Bad | 2 (14.3) | |||||||||
| PNI, n (%) | Good | 14 (29.8) * | 4 (5.9) * | 2 (25.0) | 2 (4.0) * | |||||
| Bad | 28.0 (62.2) * | 13.0 (24.4) * | 4 (28.6) | 18 (25.0) * |
Disclaimer/Publisher’s Note: The statements, opinions and data contained in all publications are solely those of the individual author(s) and contributor(s) and not of MDPI and/or the editor(s). MDPI and/or the editor(s) disclaim responsibility for any injury to people or property resulting from any ideas, methods, instructions or products referred to in the content. |
© 2024 by the authors. Licensee MDPI, Basel, Switzerland. This article is an open access article distributed under the terms and conditions of the Creative Commons Attribution (CC BY) license (https://creativecommons.org/licenses/by/4.0/).
Share and Cite
Alaimo, L.; Boggio, S.; Catalano, G.; Calderone, G.; Poletto, E.; De Bellis, M.; Campagnaro, T.; Pedrazzani, C.; Conci, S.; Ruzzenente, A. Multi-Omics Classification of Intrahepatic Cholangiocarcinoma: A Systematic Review and Meta-Analysis. Cancers 2024, 16, 2596. https://doi.org/10.3390/cancers16142596
Alaimo L, Boggio S, Catalano G, Calderone G, Poletto E, De Bellis M, Campagnaro T, Pedrazzani C, Conci S, Ruzzenente A. Multi-Omics Classification of Intrahepatic Cholangiocarcinoma: A Systematic Review and Meta-Analysis. Cancers. 2024; 16(14):2596. https://doi.org/10.3390/cancers16142596
Chicago/Turabian StyleAlaimo, Laura, Sara Boggio, Giovanni Catalano, Giuseppe Calderone, Edoardo Poletto, Mario De Bellis, Tommaso Campagnaro, Corrado Pedrazzani, Simone Conci, and Andrea Ruzzenente. 2024. "Multi-Omics Classification of Intrahepatic Cholangiocarcinoma: A Systematic Review and Meta-Analysis" Cancers 16, no. 14: 2596. https://doi.org/10.3390/cancers16142596
APA StyleAlaimo, L., Boggio, S., Catalano, G., Calderone, G., Poletto, E., De Bellis, M., Campagnaro, T., Pedrazzani, C., Conci, S., & Ruzzenente, A. (2024). Multi-Omics Classification of Intrahepatic Cholangiocarcinoma: A Systematic Review and Meta-Analysis. Cancers, 16(14), 2596. https://doi.org/10.3390/cancers16142596

