The Impact of HER2-Low Expression on Oncologic Outcomes in Hormone Receptor-Positive Breast Cancer
Abstract
:Simple Summary
Abstract
1. Introduction
2. Materials and Methods
2.1. Study Population
2.2. Data Collection
2.3. Statistical Analysis
2.4. Ethics
3. Results
3.1. Clinical-Pathological Characteristics
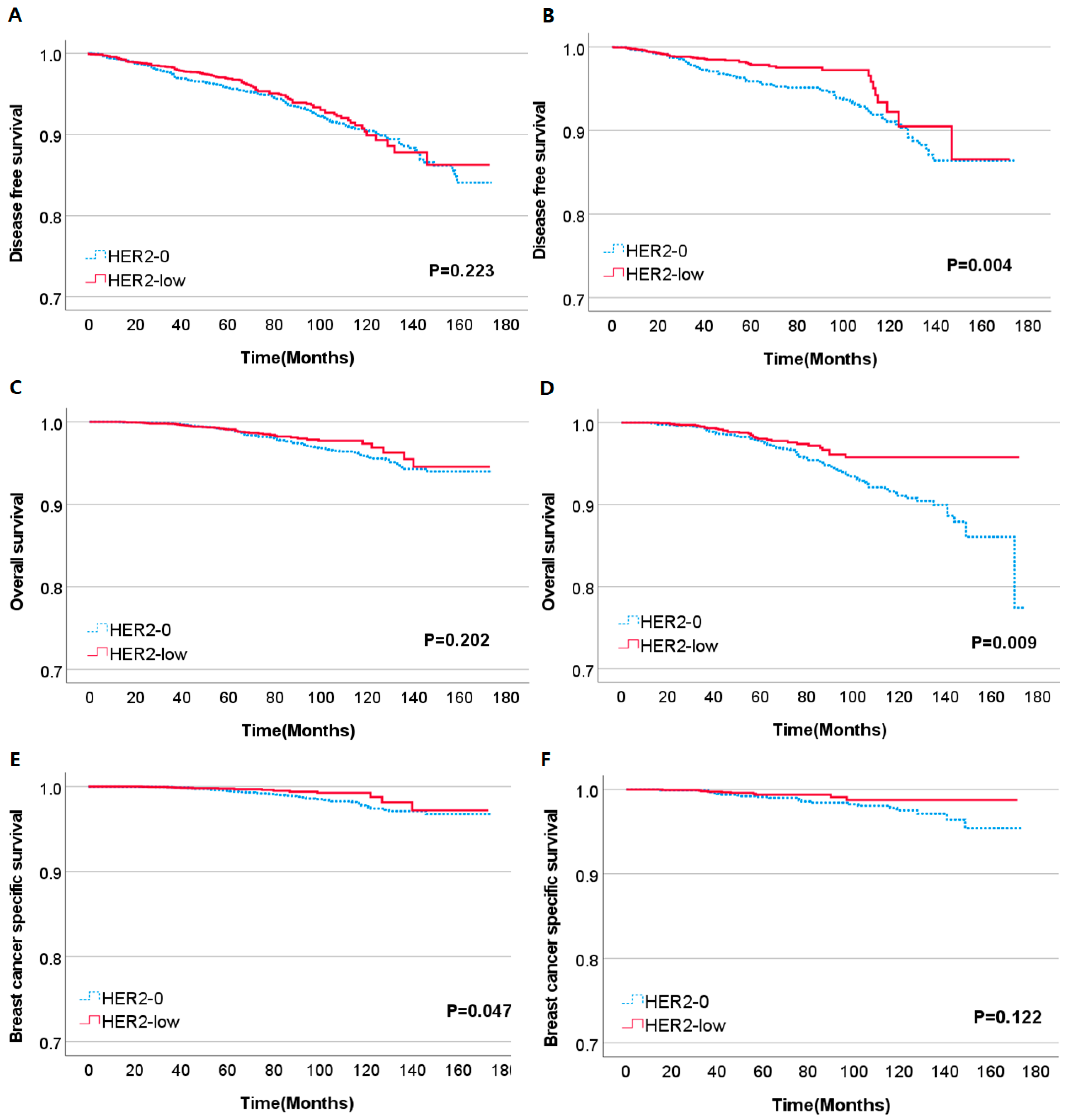
3.2. Oncologic Outcomes according to HER2 Status
3.3. Factors Associated with Oncologic Outcomes
3.4. Subgroup Analysis of HER2-Low Postmenopausal Patients according to Adjuvant Endocrine Treatment
4. Discussion
5. Conclusions
Supplementary Materials
Author Contributions
Funding
Institutional Review Board Statement
Informed Consent Statement
Data Availability Statement
Conflicts of Interest
References
- Wolff, A.C.; Hammond, M.E.H.; Allison, K.H.; Harvey, B.E.; Mangu, P.B.; Bartlett, J.M.S.; Bilous, M.; Ellis, I.O.; Fitzgibbons, P.; Hanna, W.; et al. Human Epidermal Growth Factor Receptor 2 Testing in Breast Cancer: American Society of Clinical Oncology/College of American Pathologists Clinical Practice Guideline Focused Update. J. Clin. Oncol. 2018, 36, 2105–2122. [Google Scholar] [CrossRef]
- Slamon, D.J.; Leyland-Jones, B.; Shak, S.; Fuchs, H.; Paton, V.; Bajamonde, A.; Fleming, T.; Eiermann, W.; Wolter, J.; Pegram, M.; et al. Use of chemotherapy plus a monoclonal antibody against HER2 for metastatic breast cancer that overexpresses HER2. N. Engl. J. Med. 2001, 344, 783–792. [Google Scholar] [CrossRef] [PubMed]
- Swain, S.M.; Baselga, J.; Kim, S.B.; Ro, J.; Semiglazov, V.; Campone, M.; Ciruelos, E.; Ferrero, J.M.; Schneeweiss, A.; Heeson, S.; et al. Pertuzumab, trastuzumab, and docetaxel in HER2-positive metastatic breast cancer. N. Engl. J. Med. 2015, 372, 724–734. [Google Scholar] [CrossRef]
- Swain, S.M.; Kim, S.B.; Cortes, J.; Ro, J.; Semiglazov, V.; Campone, M.; Ciruelos, E.; Ferrero, J.M.; Schneeweiss, A.; Knott, A.; et al. Pertuzumab, trastuzumab, and docetaxel for HER2-positive metastatic breast cancer (CLEOPATRA study): Overall survival results from a randomised, double-blind, placebo-controlled, phase 3 study. Lancet Oncol. 2013, 14, 461–471. [Google Scholar] [CrossRef] [PubMed]
- Slamon, D.J.; Clark, G.M.; Wong, S.G.; Levin, W.J.; Ullrich, A.; McGuire, W.L. Human breast cancer: Correlation of relapse and survival with amplification of the HER-2/neu oncogene. Science 1987, 235, 177–182. [Google Scholar] [CrossRef]
- Slamon, D.J.; Godolphin, W.; Jones, L.A.; Holt, J.A.; Wong, S.G.; Keith, D.E.; Levin, W.J.; Stuart, S.G.; Udove, J.; Ullrich, A.; et al. Studies of the HER-2/neu proto-oncogene in human breast and ovarian cancer. Science 1989, 244, 707–712. [Google Scholar] [CrossRef] [PubMed]
- Modi, S.; Jacot, W.; Yamashita, T.; Sohn, J.; Vidal, M.; Tokunaga, E.; Tsurutani, J.; Ueno, N.T.; Prat, A.; Chae, Y.S.; et al. Trastuzumab Deruxtecan in Previously Treated HER2-Low Advanced Breast Cancer. N. Engl. J. Med. 2022, 387, 9–20. [Google Scholar] [CrossRef] [PubMed]
- Tan, R.; Ong, W.S.; Lee, K.H.; Lim, A.H.; Park, S.; Park, Y.H.; Lin, C.H.; Lu, Y.S.; Ono, M.; Ueno, T.; et al. HER2 expression, copy number variation and survival outcomes in HER2-low non-metastatic breast cancer: An international multicentre cohort study and TCGA-METABRIC analysis. BMC Med. 2022, 20, 105. [Google Scholar] [CrossRef] [PubMed]
- Rosso, C.; Voutsadakis, I.A. Characteristics, Clinical Differences and Outcomes of Breast Cancer Patients with Negative or Low HER2 Expression. Clin. Breast Cancer 2022, 22, 391–397. [Google Scholar] [CrossRef]
- Ergun, Y.; Ucar, G.; Akagunduz, B. Comparison of HER2-zero and HER2-low in terms of clinicopathological factors and survival in early-stage breast cancer: A systematic review and meta-analysis. Cancer Treat. Rev. 2023, 115, 102538. [Google Scholar] [CrossRef]
- Denkert, C.; Seither, F.; Schneeweiss, A.; Link, T.; Blohmer, J.U.; Just, M.; Wimberger, P.; Forberger, A.; Tesch, H.; Jackisch, C.; et al. Clinical and molecular characteristics of HER2-low-positive breast cancer: Pooled analysis of individual patient data from four prospective, neoadjuvant clinical trials. Lancet Oncol. 2021, 22, 1151–1161. [Google Scholar] [CrossRef] [PubMed]
- Won, H.S.; Ahn, J.; Kim, Y.; Kim, J.S.; Song, J.Y.; Kim, H.K.; Lee, J.; Park, H.K.; Kim, Y.S. Clinical significance of HER2-low expression in early breast cancer: A nationwide study from the Korean Breast Cancer Society. Breast Cancer Res. 2022, 24, 22. [Google Scholar] [CrossRef] [PubMed]
- Almstedt, K.; Heimes, A.S.; Kappenberg, F.; Battista, M.J.; Lehr, H.A.; Krajnak, S.; Lebrecht, A.; Gehrmann, M.; Stewen, K.; Brenner, W.; et al. Long-term prognostic significance of HER2-low and HER2-zero in node-negative breast cancer. Eur. J. Cancer 2022, 173, 10–19. [Google Scholar] [CrossRef] [PubMed]
- Agostinetto, E.; Rediti, M.; Fimereli, D.; Debien, V.; Piccart, M.; Aftimos, P.; Sotiriou, C.; de Azambuja, E. HER2-Low Breast Cancer: Molecular Characteristics and Prognosis. Cancers 2021, 13, 2824. [Google Scholar] [CrossRef] [PubMed]
- Douganiotis, G.; Kontovinis, L.; Markopoulou, E.; Ainali, A.; Zarampoukas, T.; Natsiopoulos, I.; Papazisis, K. Prognostic Significance of Low HER2 Expression in Patients With Early Hormone Receptor Positive Breast Cancer. Cancer Diagn. Progn. 2022, 2, 316–323. [Google Scholar] [CrossRef] [PubMed]
- Horisawa, N.; Adachi, Y.; Takatsuka, D.; Nozawa, K.; Endo, Y.; Ozaki, Y.; Sugino, K.; Kataoka, A.; Kotani, H.; Yoshimura, A.; et al. The frequency of low HER2 expression in breast cancer and a comparison of prognosis between patients with HER2-low and HER2-negative breast cancer by HR status. Breast Cancer 2022, 29, 234–241. [Google Scholar] [CrossRef]
- Xu, B.; Shen, J.; Shen, J.; Wang, L. Prognostic impact of HER2-low expression in HER2-negative breast cancer under different hormone receptor status. Int. J. Clin. Oncol. 2023, 28, 543–549. [Google Scholar] [CrossRef]
- Mutai, R.; Barkan, T.; Moore, A.; Sarfaty, M.; Shochat, T.; Yerushalmi, R.; Stemmer, S.M.; Goldvaser, H. Prognostic impact of HER2-low expression in hormone receptor positive early breast cancer. Breast 2021, 60, 62–69. [Google Scholar] [CrossRef]
- Tarantino, P.; Curigliano, G.; Tolaney, S.M. Navigating the HER2-Low Paradigm in Breast Oncology: New Standards, Future Horizons. Cancer Discov. 2022, 12, 2026–2030. [Google Scholar] [CrossRef]
- Jacot, W.; Maran-Gonzalez, A.; Massol, O.; Sorbs, C.; Mollevi, C.; Guiu, S.; Boissiere-Michot, F.; Ramos, J. Prognostic Value of HER2-Low Expression in Non-Metastatic Triple-Negative Breast Cancer and Correlation with Other Biomarkers. Cancers 2021, 13, 6059. [Google Scholar] [CrossRef]
- Gampenrieder, S.P.; Rinnerthaler, G.; Tinchon, C.; Petzer, A.; Balic, M.; Heibl, S.; Schmitt, C.; Zabernigg, A.F.; Egle, D.; Sandholzer, M.; et al. Landscape of HER2-low metastatic breast cancer (MBC): Results from the Austrian AGMT_MBC-Registry. Breast Cancer Res. 2021, 23, 112. [Google Scholar] [CrossRef] [PubMed]
- Wu, Y.; Zhong, R.; Ma, F. HER2-low breast cancer: Novel detections and treatment advances. Crit. Rev. Oncol. Hematol. 2023, 181, 103883. [Google Scholar] [CrossRef] [PubMed]
- Zhang, H.; Katerji, H.; Turner, B.M.; Audeh, W.; Hicks, D.G. HER2-low breast cancers: Incidence, HER2 staining patterns, clinicopathologic features, MammaPrint and BluePrint genomic profiles. Mod. Pathol. 2022, 35, 1075–1082. [Google Scholar] [CrossRef] [PubMed]
- Lambein, K.; Van Bockstal, M.; Vandemaele, L.; Geenen, S.; Rottiers, I.; Nuyts, A.; Matthys, B.; Praet, M.; Denys, H.; Libbrecht, L. Distinguishing score 0 from score 1+ in HER2 immunohistochemistry-negative breast cancer: Clinical and pathobiological relevance. Am. J. Clin. Pathol. 2013, 140, 561–566. [Google Scholar] [CrossRef]



| HER2 Status | p Value | ||
|---|---|---|---|
| HER2-0 | HER2-Low | ||
| Clinical Variables | |||
| Total no. | 4429 | 5757 | |
| Age | |||
| Mean ± SD | 48.84 ± 9.85 | 49.07 ± 9.68 | 0.236 |
| Median(range) | 47 (22–86) | 48 (20–86) | |
| Sex, no. (%) | 0.815 | ||
| Male | 23 (0.5%) | 28 (0.5%) | |
| Female | 4406 (99.5%) | 5729 (99.5%) | |
| Menopausal status, no. (%) | 0.125 | ||
| Pre | 2991 (67.9%) | 3807 (66.4%) | |
| Post | 1415 (32.1%) | 1923 (33.6%) | |
| BRCA1/2 mutation, no. (%) | 0.002 | ||
| Not detected | 4384 (99.0%) | 5657 (98.3%) | |
| Detected | 45 (1.0%) | 100 (1.7%) | |
| Breast surgery, no. (%) | <0.001 | ||
| BCS | 3243 (73.2%) | 3750 (65.1%) | |
| Mastectomy | 1186 (26.8%) | 2007 (34.9%) | |
| Axillary surgery, no. (%) | <0.001 | ||
| No axillary surgery | 15 (0.3%) | 17 (0.3%) | |
| SLNB | 2895 (65.4%) | 4108 (71.4%) | |
| ALND | 1519 (34.3%) | 1632 (28.3%) | |
| Adjuvant chemotherapy, no. (%) | <0.001 | ||
| Not done | 2455 (55.7%) | 3628 (63.2%) | |
| Yes | 1952 (44.3%) | 2112 (36.8%) | |
| Neo-adjuvant chemotherapy, no. (%) | 0.631 | ||
| No | 4224 (95.4%) | 5502 (95.6%) | |
| Yes | 205 (4.6%) | 255 (4.4%) | |
| Radiation therapy, no. (%) | <0.001 | ||
| No | 811 (18.5%) | 1048 (24.5%) | |
| Yes | 3573 (81.5%) | 4332 (75.5%) | |
| Anti-hormonal therapy, no. (%) | 0.282 | ||
| Tamoxifen | 3223 (74.2%) | 4068 (73.2%) | |
| Aromatase inhibitor | 1122 (25.8%) | 1488 (26.8%) | |
| Pathological variables | |||
| * T stage | 0.271 | ||
| 1 | 2831 (67.0%) | 3594 (65.3%) | |
| 2 | 1230 (29.1%) | 1687 (30.7%) | |
| 3 | 154 (3.6%) | 213 (3.9%) | |
| 4 | 9 (0.2%) | 8 (0.1%) | |
| * N stage | 0.096 | ||
| 0 | 2769 (65.8%) | 3688 (67.3%) | |
| 1 | 1078 (25.6%) | 1384 (25.2%) | |
| 2 | 231 (5.5%) | 284 (5.2%) | |
| 3 | 128 (3.0%) | 126 (2.3%) | |
| Histologic grade | <0.001 | ||
| 1 | 1687 (38.4%) | 1753 (30.7%) | |
| 2 | 2302 (52.4%) | 3413 (59.8%) | |
| 3 | 405 (9.2%) | 543 (9.5%) | |
| Nuclear grade | <0.001 | ||
| 1 | 1084 (24.6%) | 835 (14.5%) | |
| 2 | 2837 (64.3%) | 4290 (74.7%) | |
| 3 | 488 (11.1%) | 617 (10.7%) | |
| Ki-67, % | 0.960 | ||
| <20% | 2699 (71.0%) | 3339 (71.1%) | |
| ≥20% | 1102 (29.0%) | 1360 (28.9%) | |
| Lymphovascular invasion | 0.384 | ||
| No | 3120 (70.4%) | 4101 (71.2%) | |
| Yes | 1309 (29.6%) | 1656 (28.8%) | |
| Disease-Free Survival | ||||
|---|---|---|---|---|
| Univariate Model HR (95% CI) | p Value | Multivariate Model HR (95% CI) | p Value | |
| HER2 status (0 vs. low) | 0.793 (0.659–0.953) | 0.014 | 0.745 (0.594–0.933) | 0.010 |
| Menopause (Pre vs. Post) | 0.769 (0.628–0.941) | 0.011 | 0.884 (0.697–1.120) | 0.307 |
| BRCA1/2 mutation (no vs. yes) | 2.404 (1.461–3.956) | <0.001 | 3.023 (1.721–5.308) | <0.001 |
| Breast Surgery (BCS vs. TM) | 2.198 (1.843–2.622) | <0.001 | 0.703 (0.493–1.005) | 0.053 |
| Axilla Surgery | 2.651 (2.214–3.174) | <0.001 | 1.067 (0.772–1.474) | 0.694 |
| Chemotherapy (no vs. yes) | 1.493 (1.244–1.791) | <0.001 | 0.651 (0.486–0.873) | 0.004 |
| Radiation therapy (yes vs. no) | 1.547 (1.270–1.885) | <0.001 | 2.776 (1.901–4.055) | <0.001 |
| pT stage | 2.130 (1.871–2.425) | <0.001 | 1.720 (1.424–2.078) | <0.001 |
| pN stage | 1.785 (1.622–1.963) | <0.001 | 1.563 (1.313–1.861) | <0.001 |
| Histologic grade | 2.071 (1.808–2.371) | <0.001 | 2.008 (1.526–2.642) | <0.001 |
| Nuclear grade | 1.797 (1.546–2.090) | <0.001 | 0.859 (0.641–1.153) | 0.311 |
| Ki-67 (<20% vs. >20%) | 2.119 (1.738–2.584) | <0.001 | 1.247 (0.982–1.583) | 0.070 |
| Overall Survival | ||||
| HER2 status (0 vs. low) | 0.730 (0.560–0.952) | 0.02 | 0.630 (0.447–0.887) | 0.008 |
| Menopause (Pre vs. Post) | 1.998 (1.554–2.569) | <0.001 | 2.362 (1.728–3.230) | <0.001 |
| BRCA1/2 mutation (no vs. yes) | 1.678 (0.746–3.772) | 0.21 | 3.300 (1.333–8.172) | 0.01 |
| Breast Surgery (BCS vs. TM) | 2.724 (2.126–3.490) | <0.001 | 0.800 (0.502–1.273) | 0.346 |
| Axilla Surgery | 4.214 (3.192–5.564) | <0.001 | 2.091 (1.290–3.389) | 0.003 |
| Chemotherapy (no vs. yes) | 1.235 (0.954–1.597) | 0.109 | 0.373 (0.247–0.562) | <0.001 |
| Radiation therapy (yes vs. no) | 1.675 (1.270–2.208) | <0.001 | 2.534 (1.535–4.181) | <0.001 |
| pT stage | 2.636 (2.220–3.131) | <0.001 | 2.100 (1.619–2.723) | <0.001 |
| pN stage | 2.053 (1.812–2.326) | <0.001 | 1.541 (1.216–1.952) | <0.001 |
| Histologic grade | 1.995 (1.655–2.406) | <0.001 | 1.269 (0.869–1.855) | 0.217 |
| Nuclear grade | 2.052 (1.669–2.523) | <0.001 | 1.171 (0.786–1.746) | 0.437 |
| Ki-67 (<20% vs. >20%) | 2.115 (1.595–2.805) | <0.001 | 1.407 (0.990–1.999) | 0.057 |
| BC-Specific Survival | ||||
| HER2 status (0 vs. low) | 0.553 (0.344–0.889) | 0.014 | 0.462 (0.249–0.857) | 0.014 |
| Menopause (Pre vs. Post) | 1.307 (0.848–2.016) | 0.225 | 1.527 (0.888–2.628) | 0.126 |
| BRCA1/2 mutation (no vs. yes) | 2.396 (0.757–7.577) | 0.137 | 2.870 (0.678–12.143) | 0.152 |
| Breast Surgery (BCS vs. TM) | 3.569 (2.336–5.453) | <0.001 | 0.848 (0.402–1.787) | 0.664 |
| Axilla Surgery | 9.065 (5.026–16.350) | <0.001 | 2.378 (0.964–5.864) | 0.06 |
| Chemotherapy (no vs. yes) | 3.082 (1.860–5.104) | <0.001 | 1.495 (0.534–4.183) | 0.444 |
| Radiation therapy (yes vs. no) | 1.181 (0.717–1.947) | 0.514 | 2.552 (1.091–5.970) | 0.031 |
| pT stage | 4.355 (3.309–5.732) | <0.001 | 3.060 (2.009–4.661) | <0.001 |
| pN stage | 2.576 (2.094–3.169) | <0.001 | 1.326 (0.912–1.928) | 0.139 |
| Histologic grade | 3.238 (2.349–4.463) | <0.001 | 2.107 (1.103–4.027) | 0.024 |
| Nuclear grade | 3.395 (2.384–4.835) | <0.001 | 1.188 (0.597–2.364) | 0.623 |
| Ki-67 (<20% vs. >20%) | 3.457 (2.148–5.562) | <0.001 | 1.444 (0.817–2.552) | 0.206 |
Disclaimer/Publisher’s Note: The statements, opinions and data contained in all publications are solely those of the individual author(s) and contributor(s) and not of MDPI and/or the editor(s). MDPI and/or the editor(s) disclaim responsibility for any injury to people or property resulting from any ideas, methods, instructions or products referred to in the content. |
© 2023 by the authors. Licensee MDPI, Basel, Switzerland. This article is an open access article distributed under the terms and conditions of the Creative Commons Attribution (CC BY) license (https://creativecommons.org/licenses/by/4.0/).
Share and Cite
Park, W.K.; Nam, S.J.; Kim, S.W.; Lee, J.E.; Yu, J.; Ryu, J.M.; Chae, B.J. The Impact of HER2-Low Expression on Oncologic Outcomes in Hormone Receptor-Positive Breast Cancer. Cancers 2023, 15, 5361. https://doi.org/10.3390/cancers15225361
Park WK, Nam SJ, Kim SW, Lee JE, Yu J, Ryu JM, Chae BJ. The Impact of HER2-Low Expression on Oncologic Outcomes in Hormone Receptor-Positive Breast Cancer. Cancers. 2023; 15(22):5361. https://doi.org/10.3390/cancers15225361
Chicago/Turabian StylePark, Woong Ki, Seok Jin Nam, Seok Won Kim, Jeong Eon Lee, Jonghan Yu, Jai Min Ryu, and Byung Joo Chae. 2023. "The Impact of HER2-Low Expression on Oncologic Outcomes in Hormone Receptor-Positive Breast Cancer" Cancers 15, no. 22: 5361. https://doi.org/10.3390/cancers15225361
APA StylePark, W. K., Nam, S. J., Kim, S. W., Lee, J. E., Yu, J., Ryu, J. M., & Chae, B. J. (2023). The Impact of HER2-Low Expression on Oncologic Outcomes in Hormone Receptor-Positive Breast Cancer. Cancers, 15(22), 5361. https://doi.org/10.3390/cancers15225361

