Lifestyle and Clinical Factors in a Nationwide Stage III and IV Renal Cell Carcinoma Study
Abstract
:Simple Summary
Abstract
1. Background
2. Methods
2.1. Exposures
Patient-Related Factors
2.2. Clinical Characteristics and Treatment
2.3. Outcomes
2.4. Statistical Methods
3. Results
3.1. Study Population Characteristics
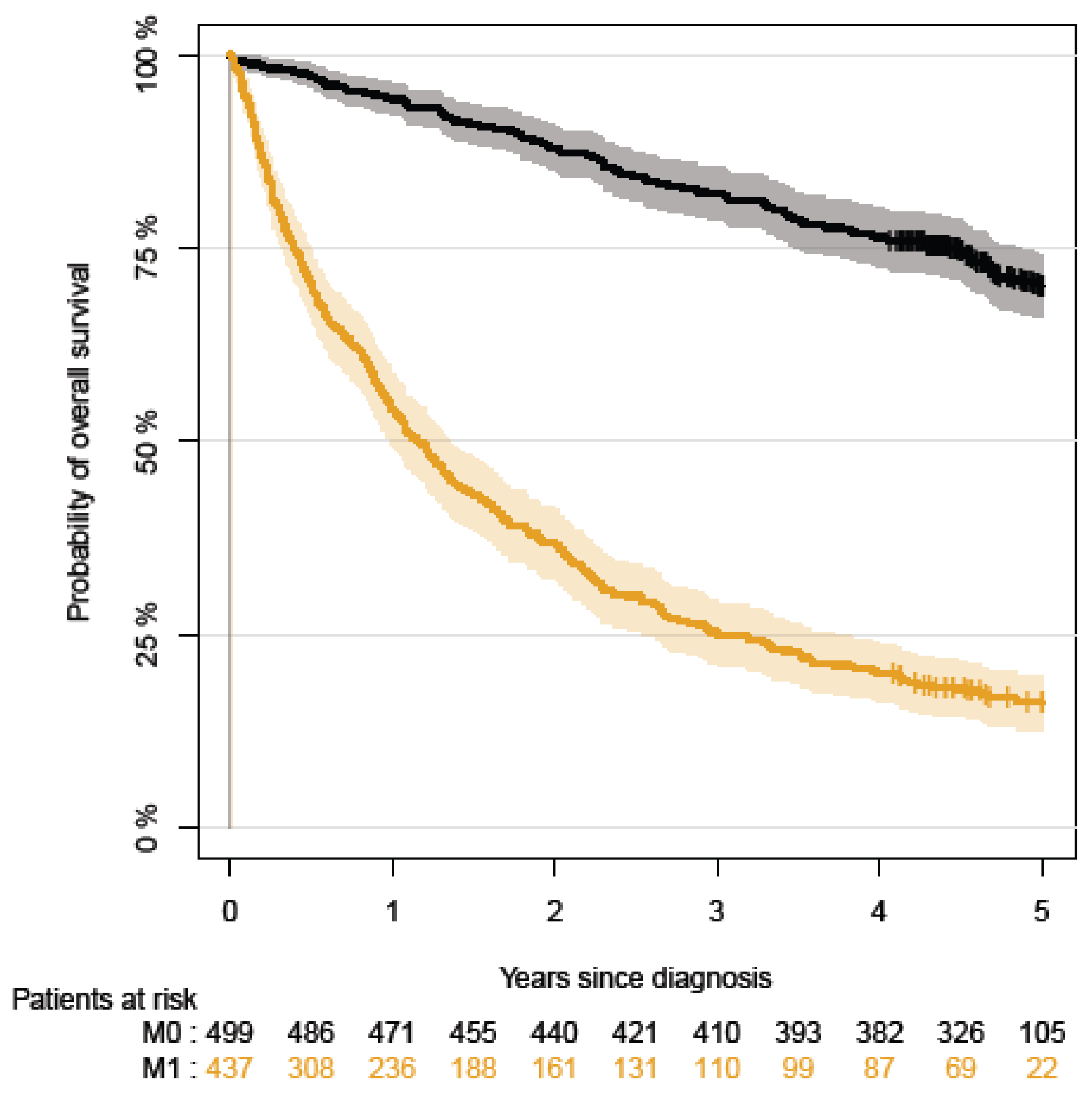
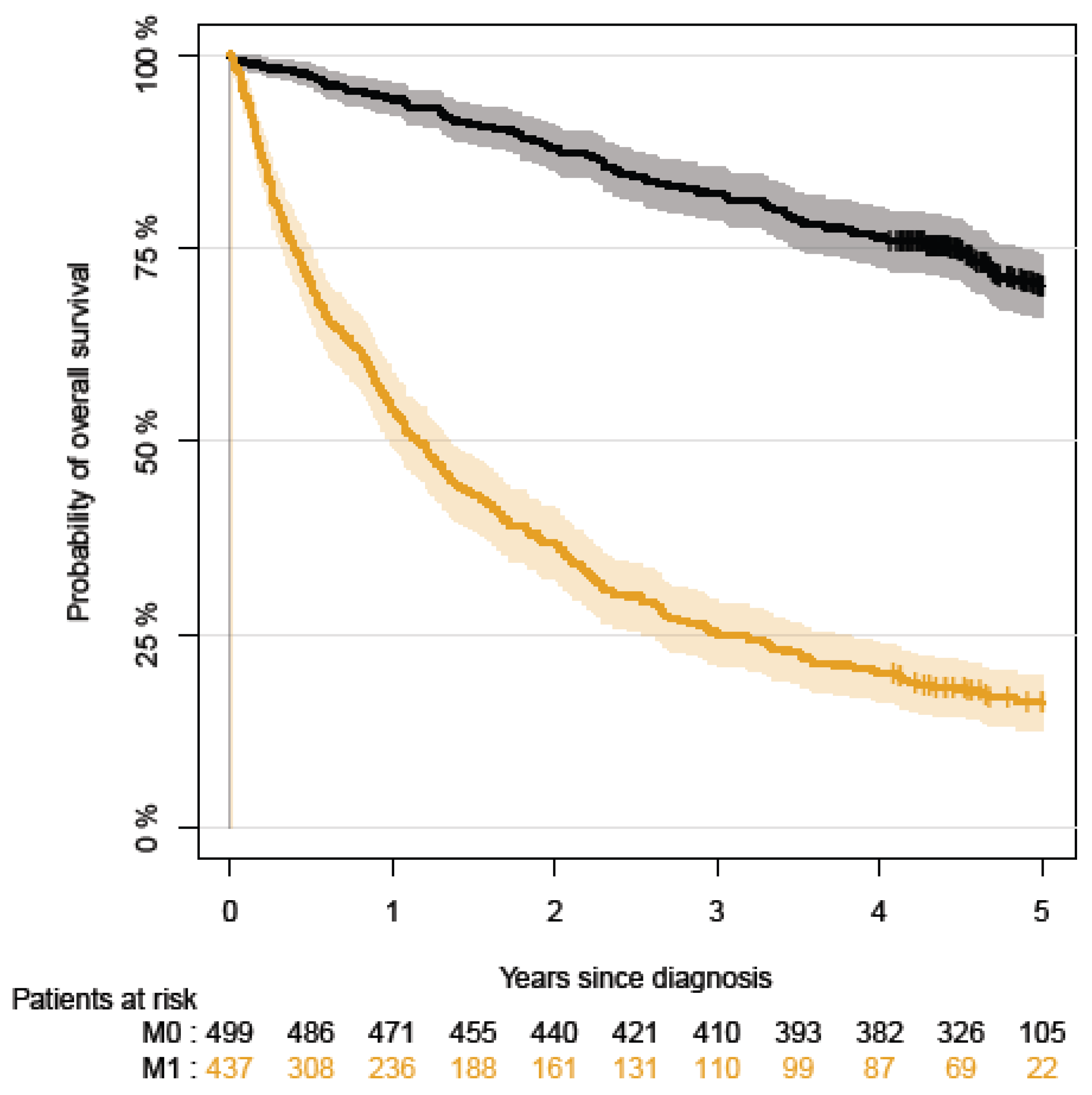
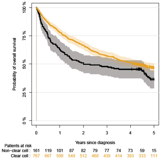
3.2. Overall Mortality
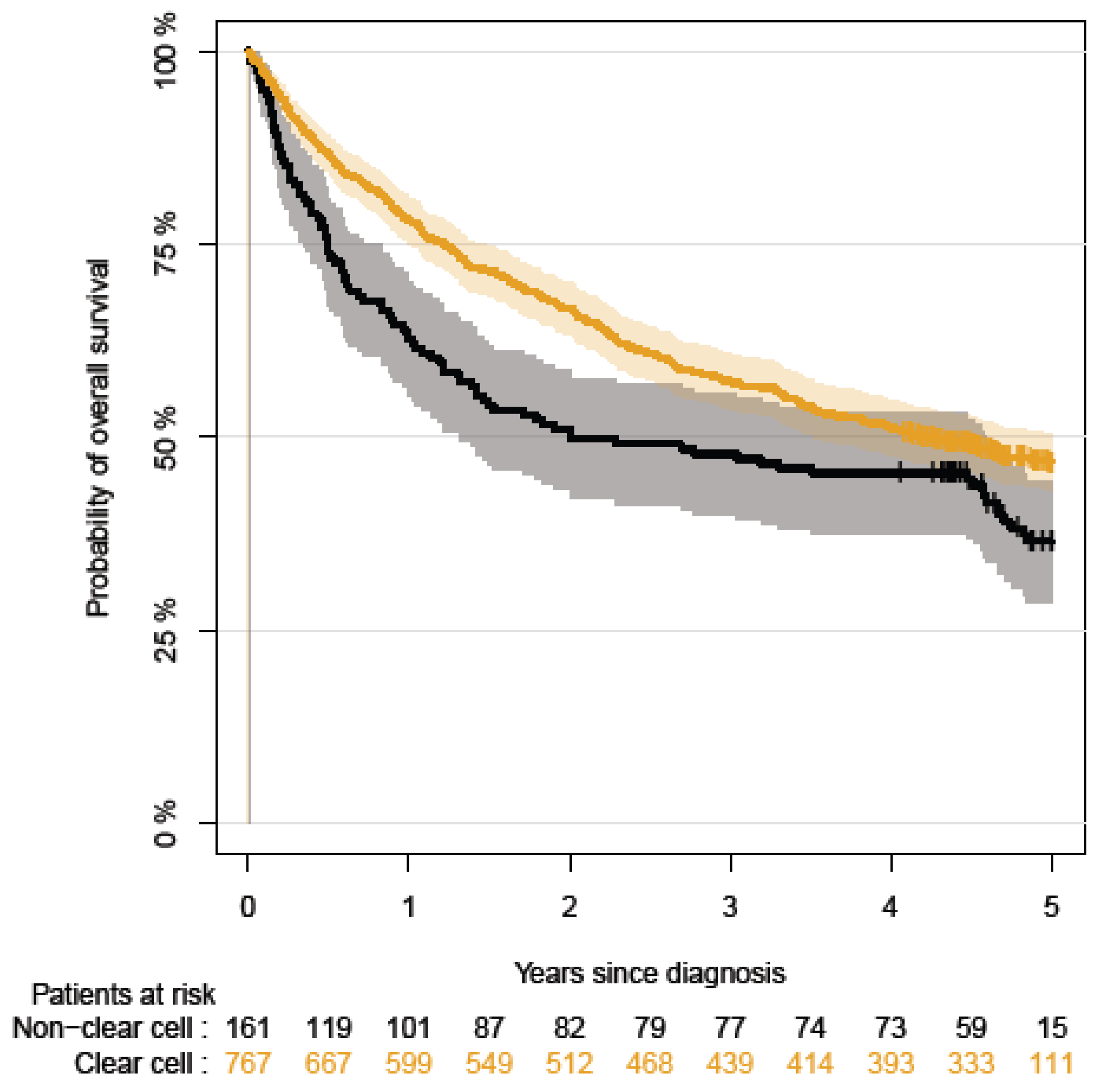
3.3. Cancer-Specific Mortality
3.4. Recurrence
3.5. Mortality after Recurrence
4. Discussion
Strengths and Limitations
5. Conclusions
Supplementary Materials
Author Contributions
Funding
Institutional Review Board Statement
Informed Consent Statement
Data Availability Statement
Conflicts of Interest
Abbreviations
| Renal cell carcinoma | RCC |
| Examine the effect of patient-related and clinical factors on overall and cancer-specific mortality | RQ1 |
| Examine the effect of patient-related and clinical factors on recurrence | RQ2 |
| Investigate the impact of time to recurrence and the treatment of recurrences on overall and cancer-specific mortality | RQ3 |
| Danish Renal Cancer Database | DaRenCa |
| Body Mass Index | BMI |
| Multidisciplinary team | MDT |
| Clear cell RCC | ccRCC |
| Non-clear cell RCC | non-ccRCC |
| Hazard ratios | HR |
| Confidence intervals | CI |
| Multiple imputations | MI |
| Missing at random | MAR |
References
- Capitanio, U.; Montorsi, F. Renal cancer. Lancet 2016, 387, 894–906. [Google Scholar] [CrossRef]
- Næraa, S.H.; Bersang, A.B.; Dahl, C.; Subhi, Y.; Azawi, N. Burden of renal cancer in Nordic countries. Scand. J. Urol. 2019, 53, 177–184. [Google Scholar] [CrossRef]
- Petersen, A.; Søgaard, M.; Mehnert, F.; Larsen, E.H.; Donskov, F.; Azawi, N.; Kromann-Andersen, B. The database of the Danish Renal Cancer Group. Clin. Epidemiol. 2016, 8, 725–729. [Google Scholar] [CrossRef]
- Volpe, A.; Patard, J.J. Prognostic factors in renal cell carcinoma. World J. Urol. 2010, 28, 319–327. [Google Scholar] [CrossRef]
- Kocher, N.J.; Rjepaj, C.; Robyak, H.; Lehman, E.; Raman, J.D. Hypertension is the primary component of metabolic syndrome associated with pathologic features of kidney cancer. World J. Urol. 2017, 35, 67–72. [Google Scholar] [CrossRef]
- Zisman, A.; Pantuck, A.J.; Dorey, F.; Said, J.W.; Shvarts, O.; Quintana, D.; Gitlitz, B.J.; deKernion, J.B.; Figlin, R.A.; Belldegrun, A.S. Improved prognostication of renal cell carcinoma using an integrated staging system. J. Clin. Oncol. 2001, 19, 1649–1657. [Google Scholar] [CrossRef]
- Schmidt, M.; Pedersen, L.; Sørensen, H.T. The Danish Civil Registration System as a tool in epidemiology. Eur. J. Epidemiol. 2014, 29, 541–549. [Google Scholar] [CrossRef]
- Schmidt, M.; Schmidt, S.A.J.; Sandegaard, J.L.; Ehrenstein, V.; Pedersen, L.; Sørensen, H.T. The Danish National Patient Registry: A review of content, data quality, and research potential. Clin. Epidemiol. 2015, 7, 449–490. [Google Scholar] [CrossRef]
- Erichsen, R.; Lash, T.L.; Hamilton-Dutoit, S.J.; Bjerregaard, B.; Vyberg, M.; Pedersen, L. Existing data sources for clinical epidemiology: The Danish National Pathology Registry and Data Bank. Clin. Epidemiol. 2010, 2, 51–56. [Google Scholar] [CrossRef]
- Gjerstorff, M.L. The Danish Cancer Registry. Scand. J. Public Health 2011, 39, 42–45. [Google Scholar] [CrossRef]
- Helweg-Larsen, K. The Danish Register of Causes of Death. Scand. J. Public Health 2011, 39, 26–29. [Google Scholar] [CrossRef]
- Moch, H.; Artibani, W.; Delahunt, B.; Ficarra, V.; Knuechel, R.; Montorsi, F.; Patard, J.-J.; Stief, C.G.; Sulser, T.; Wild, P.J. Reassessing the current UICC/AJCC TNM staging for renal cell carcinoma. Eur. Urol. 2009, 56, 636–643. [Google Scholar] [CrossRef]
- Leibovich, B.C.; Blute, M.L.; Cheville, J.C.; Lohse, C.M.; Frank, I.; Kwon, E.D.; Weaver, A.L.; Parker, A.S.; Zincke, H. Prediction of progression after radical nephrectomy for patients with clear cell renal cell carcinoma. Cancer 2003, 97, 1663–1671. [Google Scholar] [CrossRef]
- White, I.R.; Royston, P.; Wood, A.M. Multiple imputation using chained equations: Issues and guidance for practice. Stat. Med. 2011, 30, 377–399. [Google Scholar] [CrossRef]
- Eckel-Passow, J.E.; Serie, D.J.; Bot, B.M.; Joseph, R.W.; Cheville, J.C.; Parker, A.S. ANKS1B is a smoking-related molecular alteration in clear cell renal cell carcinoma. BMC Urol. 2014, 14, 14. [Google Scholar] [CrossRef]
- Kumar, R.; Matulewicz, R.; Mari, A.; Moschini, M.; Ghodoussipour, S.; Pradere, B.; Rink, M.; Autorino, R.; Desai, M.M.; Gill, I.; et al. Impact of smoking on urologic cancers: A snapshot of current evidence. World J. Urol. 2023, 41, 1473–1479. [Google Scholar] [CrossRef]
- Eskelinen, T.J.; Kotsar, A.; Tammela, T.L.J.; Murtola, T.J. Components of metabolic syndrome and prognosis of renal cell cancer. Scand. J. Urol. 2017, 51, 435–441. [Google Scholar] [CrossRef]
- Moreira, R.B.; Fernandes, M.; Monteiro, M.R.; Luiz, F.M.A.; Silva, E.S.; de Mello Andrade, P.; Pinto, M.B.; Lima, L.; Silva, A.; Nunez, J.; et al. Body mass index and immune checkpoint inhibitor efficacy in metastatic cancer patients: A Brazilian retrospective study. Front. Urol. 2022, 2, 1069045. [Google Scholar] [CrossRef]
- Choueiri, T.K.; Rini, B.I.; Garcia, J.A.; Baz, R.C.; Abou-Jawde, R.M.; Thakkar, S.G.; Elson, P.; Mekhail, T.M.; Zhou, M.; Bukowski, R.M. Prognostic factors associated with long-term survival in previously untreated metastatic renal cell carcinoma. Ann. Oncol. 2007, 18, 249–255. [Google Scholar] [CrossRef]
- Kroeger, N.; Xie, W.; Lee, J.-L.; Bjarnason, G.A.; Knox, J.J.; MacKenzie, M.J.; Wood, L.; Srinivas, S.; Vaishamayan, U.N.; Rha, S.-Y.; et al. Metastatic non-clear cell renal cell carcinoma treated with targeted therapy agents: Characterization of survival outcome and application of the International mRCC Database Consortium criteria: Outcome and Prognostication in nccRCC. Cancer 2013, 119, 2999–3006. [Google Scholar] [CrossRef]
- Liu, W.K.; Lam, J.M.; Butters, T.; Grant, M.; Jackson-Spence, F.; Bex, A.; Powles, T.; Szabados, B. Cytoreductive nephrectomy in metastatic renal cell carcinoma: Outcome of patients treated with a multidisciplinary, algorithm-driven approach. World J. Urol. 2020, 38, 3199–3205. [Google Scholar] [CrossRef] [PubMed]
- Pillay, B.; Wootten, A.C.; Crowe, H.; Corcoran, N.; Tran, B.; Bowden, P.; Crowe, J.; Costello, A.J. The impact of multidisciplinary team meetings on patient assessment, management and outcomes in oncology settings: A systematic review of the literature. Cancer Treat. Rev. 2016, 42, 56–72. [Google Scholar] [CrossRef]
- Brookman-May, S.D.; May, M.; Shariat, S.F.; Novara, G.; Zigeuner, R.; Cindolo, L.; De Cobelli, O.; De Nunzio, C.; Pahernik, S.; Wirth, M.P.; et al. Time to recurrence is a significant predictor of cancer-specific survival after recurrence in patients with recurrent renal cell carcinoma—Results from a comprehensive multi-centre database (CORONA/SATURN-Project): Time to recurrence as predictor for CSS after recurrence in patients with RCC. BJU Int. 2013, 112, 909–916. [Google Scholar] [CrossRef]
- Lam, J.S.; Shvarts, O.; Leppert, J.T.; Pantuck, A.J.; Figlin, R.A.; Belldegrun, A.S. Postoperative surveillance protocol for patients with localized and locally advanced renal cell carcinoma based on a validated prognostic nomogram and risk group stratification system. J. Urol. 2005, 174, 466–472. [Google Scholar] [CrossRef] [PubMed]
- Hughes, R.A.; Heron, J.; Sterne, J.A.C.; Tilling, K. Accounting for missing data in statistical analyses: Multiple imputation is not always the answer. Int. J. Epidemiol. 2019, 48, 1294–1304. [Google Scholar] [CrossRef] [PubMed]






| Characteristics | Clear Cell N = 768 | Non Clear Cell N = 161 |
|---|---|---|
| Age in years, median (IQR) | 67.2 (14.5) | 68.5 (12.9) |
| Female gender, n (%) | 254 (33) | 50 (31) |
| BMI, mean (SD) | 26.1 (6.2) | 25.9 (6.0) |
| Missing n, (%) | 38 (5) | 8 (5) |
| Smoking, n (%) | ||
| Currently | 192 (25) | 62 (38) |
| Former | 270 (35) | 46 (29) |
| Never | 278 (36) | 44 (27) |
| Missing | 28 (4) | 9 (6) |
| Hypertension | ||
| Yes | 425 (55) | 92 (57) |
| No | 343 (45) | 69 (43) |
| Symptoms at time of diagnosis, n (%) | 480 (62) | 96 (59) |
| Haematuria | 207 (43) | 34 (35) |
| Pain | 164 (34) | 43 (45) |
| Weight loss | 152 (32) | 42 (27) |
| Other | 95 (20) | 27 (28) |
| Performance status, n (%) | ||
| 0 | 393 (51) | 67 (41) |
| 1 | 281 (36) | 56 (35) |
| 2 | 59 (8) | 26 (16) |
| 3 | 27 (3) | 9 (6) |
| 4 | 4 (1) | 1 (1) |
| Missing | 4 (1) | 2 (1) |
| T-stage at time of diagnosis, n (%) | ||
| T1 | 105 (14) | 31 (19) |
| T2 | 55 (7) | 14 (9) |
| T3 | 528 (69) | 93 (58) |
| T4 | 60 (8) | 13 (8) |
| Missing | 20 (3) | 10 (6) |
| N stage at time of diagnosis, n (%) | ||
| N0 | 619 (80) | 99 (62) |
| N1 | 149 (20) | 62 (38) |
| M stage at time of diagnosis, n (%) | ||
| M0 | 411 (53) | 83 (51) |
| M1 | 357 (47) | 78 (49) |
| Size in mm, median (IQR) | 79 (40) | 70 (64) |
| Missing, n (%) | 23 (3) | 6 (4) |
| Fuhrman grade, n (%) | ||
| 1–2 | 264 (35) | |
| 3–4 | 437 (57) | |
| Missing | 67 (8) | |
| Necrosis, n (%) | 401 (53) | 83 (52) |
| Leibovich score, n (%) | ||
| 0–3 | 61 (8) | |
| 4–5 | 261 (34) | |
| >6 | 363 (47) | |
| Missing | 83 (11) | |
| Sarcomatoid, n (%) | 100 (13) | 24 (15) |
| Decision taken by MDT, n (%) | 377 (49) | 73 (46) |
| Type of surgery, n (%) | ||
| None | 151 (19) | 59 (36) |
| Laparoscopy (radical) | 323 (42) | 35 (22) |
| Laparoscopy (partial) | 30 (4) | 14 (9) |
| Open radical | 213 (28) | 39 (24) |
| Open partial | 20 (3) | 9 (6) |
| Ablation | 10 (1) | 3 (2) |
| Missing | 21 (3) | 2 (1) |
| Positive surgical margin, n (%) | 75 (10) | 20 (12) |
| Debulking, n (%) | 265 (35) | 31 (19) |
| Lymphadenectomy, n (%) | 159 (21) | 30 (19) |
| Recurrences, n (%) | 147 (36) | 23 (28) |
| Year(s) to first recurrence, median (IQR) | 1.6 (2) | 0.94 (1.27) |
| Treatment of recurrent renal cancer, n (%) | ||
| Surgical | 25 (17) | 6 (26) |
| Only oncological | 68 (46) | 8 (35) |
| Oncological and surgical | 28 (19) | 4 (17) |
| No treatment | 17 (11) | 5 (22) |
| Exposures | UNIVARIATE | MULTIVARIATE A |
|---|---|---|
| HR (95% CI) | ||
| BMI | ||
| >25 | 1.04 (0.73;1.49) | 1.18 (0.81;1.71) |
| Smoking | ||
| Currently/previously | 0.93 (0.66;1.30) | 1.02 (0.73;1.45) |
| Symptoms | ||
| Yes | 1.72 (1.21;2.46) * | 1.27 (0.88;1.83) |
| Decision taken by MDT | ||
| Yes | 1.67 (1.19;2.36) * | 1.33 (0.92;1.92) |
| Hypertension | ||
| Yes | 1.06 (0.76;1.49) | 1.18 (0.82;1.70) |
| Positive surgical margin B | ||
| Yes | 2.42 (1.51;3.89) * | 2.40 (1.45;3.94) * |
| Performance status | ||
| 1–2 | 0.76 (0.52;1.11) | 0.79 (0.53;1.17) |
| 3–4 | 1.28 (0.18;9.19) | 2.34 (0.31;17.63) |
| Exposures | OVERALL MORTALITY A | CANCER-SPECIFIC MORTALITY A |
|---|---|---|
| HR (95% CI) | HR (95% CI) | |
| Time to recurrence (Reference: 0–1 years) | ||
| 1–2 years | 0.40 (0.22;0.70) * | 0.44 (0.24;0.79) * |
| 2–3 years | 0.22 (0.09;0.54) * | 0.22 (0.09;0.57) * |
| 3+ years | 0.46 (0.20;1.05) | 0.40 (0.16;1.01) |
| Treatment of recurrence B (Reference: only surgical treatment) | ||
| Only oncological | 5.93 (1.78;19.81) * | 8.76 (2.05;37.51) * |
| Surgical and oncological | 3.01 (0.80;11.33) | 4.11 (0.86;19.58) |
| No treatment | 3.49 (0.85;14.33) | 3.69 (0.65;20.93) |
Disclaimer/Publisher’s Note: The statements, opinions and data contained in all publications are solely those of the individual author(s) and contributor(s) and not of MDPI and/or the editor(s). MDPI and/or the editor(s) disclaim responsibility for any injury to people or property resulting from any ideas, methods, instructions or products referred to in the content. |
© 2023 by the authors. Licensee MDPI, Basel, Switzerland. This article is an open access article distributed under the terms and conditions of the Creative Commons Attribution (CC BY) license (https://creativecommons.org/licenses/by/4.0/).
Share and Cite
Azawi, N.; Ebbestad, F.E.; Nadler, N.; Mosholt, K.S.S.; Axelsen, S.S.; Geertsen, L.; Christensen, J.; Jensen, N.V.; Fristrup, N.; Lund, L.; et al. Lifestyle and Clinical Factors in a Nationwide Stage III and IV Renal Cell Carcinoma Study. Cancers 2023, 15, 4488. https://doi.org/10.3390/cancers15184488
Azawi N, Ebbestad FE, Nadler N, Mosholt KSS, Axelsen SS, Geertsen L, Christensen J, Jensen NV, Fristrup N, Lund L, et al. Lifestyle and Clinical Factors in a Nationwide Stage III and IV Renal Cell Carcinoma Study. Cancers. 2023; 15(18):4488. https://doi.org/10.3390/cancers15184488
Chicago/Turabian StyleAzawi, Nessn, Freja Ejlebaek Ebbestad, Naomi Nadler, Karina Sif Soendergaard Mosholt, Sofie Staal Axelsen, Louise Geertsen, Jane Christensen, Niels Viggo Jensen, Niels Fristrup, Lars Lund, and et al. 2023. "Lifestyle and Clinical Factors in a Nationwide Stage III and IV Renal Cell Carcinoma Study" Cancers 15, no. 18: 4488. https://doi.org/10.3390/cancers15184488
APA StyleAzawi, N., Ebbestad, F. E., Nadler, N., Mosholt, K. S. S., Axelsen, S. S., Geertsen, L., Christensen, J., Jensen, N. V., Fristrup, N., Lund, L., Donskov, F., & Dalton, S. O. (2023). Lifestyle and Clinical Factors in a Nationwide Stage III and IV Renal Cell Carcinoma Study. Cancers, 15(18), 4488. https://doi.org/10.3390/cancers15184488

