External Validation of a Risk Model for Severe Complications following Pancreatoduodenectomy Based on Three Preoperative Variables
Abstract
Simple Summary
Abstract
1. Introduction
2. Materials and Methods
2.1. Study Design and Study Population
2.2. Data Collection and Endpoint Definition
2.3. Statistical Analysis
2.4. Evaluated Parameters of Model Performance
2.5. Ethics
3. Results
3.1. Baseline Characteristics of the Patients
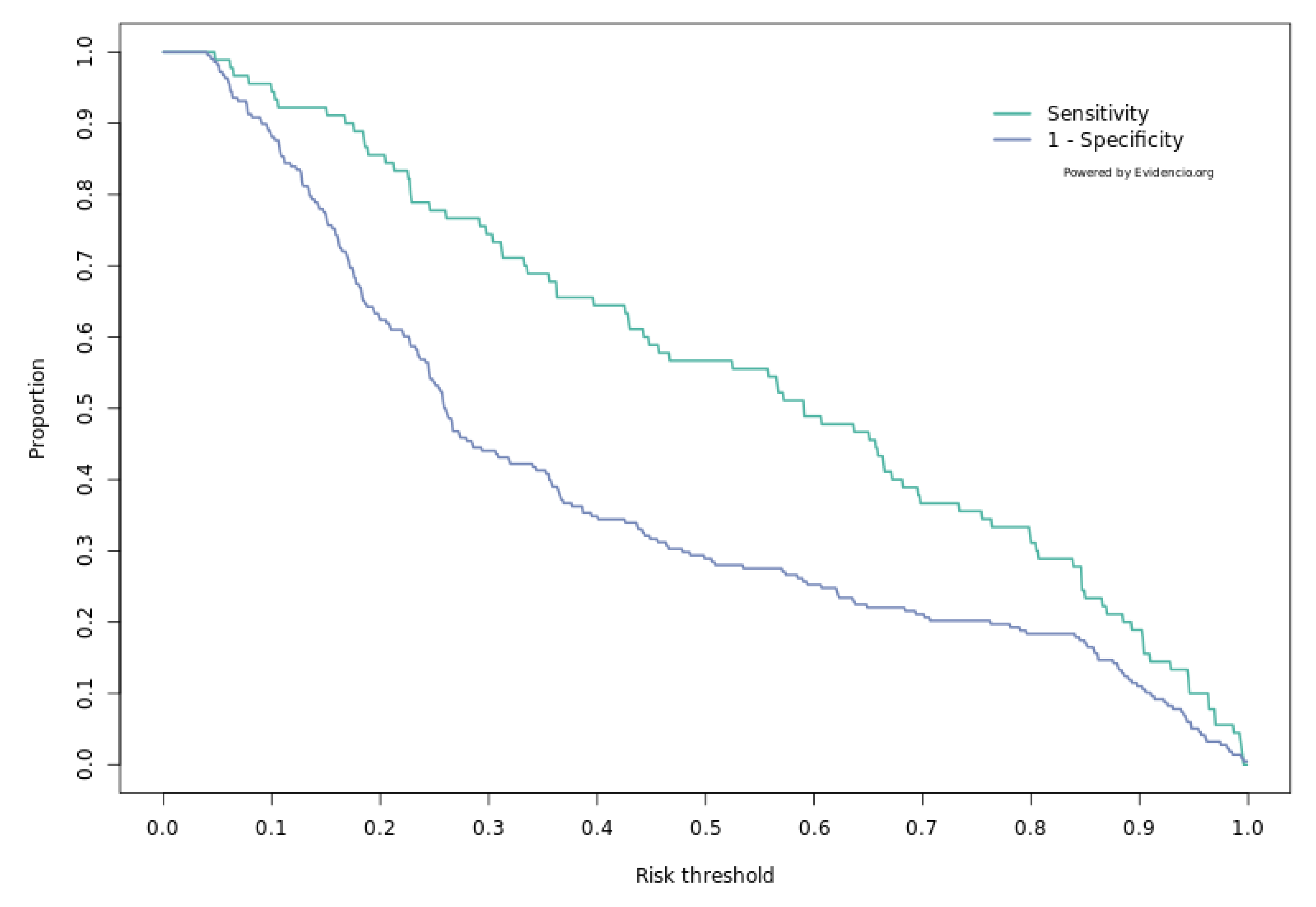
3.2. Model Discrimination
3.3. Model Calibration
3.4. Overall Model Performance
4. Discussion
Strengths and Limitations
5. Conclusions
Author Contributions
Funding
Institutional Review Board Statement
Informed Consent Statement
Data Availability Statement
Acknowledgments
Conflicts of Interest
References
- Chen, L.; Peng, L.; Wang, C.; Li, S.C.; Zhang, M. New score for prediction of morbidity in patients undergoing open pancreaticoduodenectomy. J. Int. Med. Res. 2021, 49, 3000605211001984. [Google Scholar] [CrossRef] [PubMed]
- Aoki, S.; Miyata, H.; Konno, H.; Gotoh, M.; Motoi, F.; Kumamaru, H.; Wakabayashi, G.; Kakeji, Y.; Mori, M.; Seto, Y.; et al. Risk factors of serious postoperative complications after pancreaticoduodenectomy and risk calculators for predicting postoperative complications: A nationwide study of 17,564 patients in Japan. J. Hepatobiliary Pancreat. Sci. 2017, 24, 243–251. [Google Scholar] [CrossRef] [PubMed]
- DeOliveira, M.L.; Winter, J.M.; Schafer, M.; Cunningham, S.C.; Cameron, J.L.; Yeo, C.J.; Clavien, P.A. Assessment of complications after pancreatic surgery: A novel grading system applied to 633 patients undergoing pancreaticoduodenectomy. Ann. Surg. 2006, 244, 931–937; Discussion 937–939. [Google Scholar] [CrossRef] [PubMed]
- Braga, M.; Capretti, G.; Pecorelli, N.; Balzano, G.; Doglioni, C.; Ariotti, R.; Di Carlo, V. A prognostic score to predict major complications after pancreaticoduodenectomy. Ann. Surg. 2011, 254, 702–707; Discussion 707–708. [Google Scholar] [CrossRef] [PubMed]
- Gervais, D.A.; Fernandez-del Castillo, C.; O’Neill, M.J.; Hahn, P.F.; Mueller, P.R. Complications after pancreatoduodenectomy: Imaging and imaging-guided interventional procedures. Radiographics 2001, 21, 673–690. [Google Scholar] [CrossRef]
- Simon, R. Complications after Pancreaticoduodenectomy. Surg. Clin. N. Am. 2021, 101, 865–874. [Google Scholar] [CrossRef]
- Parikh, P.; Shiloach, M.; Cohen, M.E.; Bilimoria, K.Y.; Ko, C.Y.; Hall, B.L.; Pitt, H.A. Pancreatectomy risk calculator: An ACS-NSQIP resource. HPB 2010, 12, 488–497. [Google Scholar] [CrossRef]
- Kirks, R.C.; Cochran, A.; Barnes, T.E.; Murphy, K.; Baker, E.H.; Martinie, J.B.; Iannitti, D.A.; Vrochides, D. Developing and validating a center-specific preoperative prediction calculator for risk of pancreaticoduodenectomy. Am. J. Surg. 2018, 216, 498–505. [Google Scholar] [CrossRef]
- Wente, M.N.; Bassi, C.; Dervenis, C.; Fingerhut, A.; Gouma, D.J.; Izbicki, J.R.; Neoptolemos, J.P.; Padbury, R.T.; Sarr, M.G.; Traverso, L.W.; et al. Delayed gastric emptying (DGE) after pancreatic surgery: A suggested definition by the International Study Group of Pancreatic Surgery (ISGPS). Surgery 2007, 142, 761–768. [Google Scholar]
- Penumadu, P.; Barreto, S.G.; Goel, M.; Shrikhande, S.V. Pancreatoduodenectomy—Preventing complications. Indian J. Surg. Oncol. 2015, 6, 6–15. [Google Scholar] [CrossRef]
- Bassi, C.; Marchegiani, G.; Dervenis, C.; Sarr, M.; Hilal, M.A.; Adham, M.; Allen, P.; Andersson, R.; Asbun, H.J.; Besselink, M.G.; et al. The 2016 update of the International Study Group (ISGPS) definition and grading of postoperative pancreatic fistula: 11 Years After. Surgery 2017, 161, 584–591. [Google Scholar] [CrossRef] [PubMed]
- Floortje van Oosten, A.; Smits, F.J.; van den Heuvel, D.A.F.; van Santvoort, H.C.; Molenaar, I.Q. Diagnosis and management of postpancreatectomy hemorrhage: A systematic review and meta-analysis. HPB 2019, 21, 953–961. [Google Scholar] [CrossRef] [PubMed]
- Suragul, W.; Rungsakulkij, N.; Vassanasiri, W.; Tangtawee, P.; Muangkaew, P.; Mingphruedhi, S.; Aeesoa, S. Predictors of surgical site infection after pancreaticoduodenectomy. BMC Gastroenterol. 2020, 20, 201. [Google Scholar] [CrossRef] [PubMed]
- Morand, G.B.; Anderegg, N.; Kleinjung, T.; Bohlender, J.E.; Veraguth, D.; Broglie, M.A.; Holzmann, D.; Huber, A.M.; Röösli, C.; Soyka, M.B. Assessment of Surgical Complications With Respect to the Surgical Indication: Proposal for a Novel Index. Front. Surg. 2021, 8, 638057. [Google Scholar] [CrossRef] [PubMed]
- Sandini, M.; Bernasconi, D.P.; Ippolito, D.; Nespoli, L.; Baini, M.; Barbaro, S.; Fior, D.; Gianotti, L. Preoperative Computed Tomography to Predict and Stratify the Risk of Severe Pancreatic Fistula after Pancreatoduodenectomy. Medicine 2015, 94, e1152. [Google Scholar] [CrossRef]
- Wiltberger, G.; Muhl, B.; Benzing, C.; Atanasov, G.; Hau, H.M.; Horn, M.; Krenzien, F.; Bartels, M. Preoperative risk stratification for major complications following pancreaticoduodenectomy: Identification of high-risk patients. Int. J. Surg. 2016, 31, 33–39. [Google Scholar] [CrossRef]
- Roberts, K.J.; Hodson, J.; Mehrzad, H.; Marudanayagam, R.; Sutcliffe, R.P.; Muiesan, P.; Isaac, J.; Bramhall, S.R.; Mirza, D.F. A preoperative predictive score of pancreatic fistula following pancreatoduodenectomy. HPB 2014, 16, 620–628. [Google Scholar] [CrossRef]
- Guilbaud, T.; Birnbaum, D.J.; Lemoine, C.; Chirica, M.; Risse, O.; Berdah, S.; Girard, E.; Moutardier, V. C-Reactive Protein on Postoperative Day 1 Is a Reliable Predictor of Pancreas-Specific Complications After Pancreaticoduodenectomy. J. Gastrointest. Surg. 2018, 22, 818–830. [Google Scholar] [CrossRef]
- Mathur, A.; Pitt, H.A.; Marine, M.; Saxena, R.; Schmidt, C.M.; Howard, T.J.; Nakeeb, A.; Zyromski, N.J.; Lillemoe, K.D. Fatty pancreas: A factor in postoperative pancreatic fistula. Ann. Surg. 2007, 246, 1058–1064. [Google Scholar] [CrossRef]
- Callery, M.P.; Pratt, W.B.; Kent, T.S.; Chaikof, E.L.; Vollmer, C.M. A prospectively validated clinical risk score accurately predicts pancreatic fistula after pancreatoduodenectomy. J. Am. Coll. Surg. 2013, 216, 1–14. [Google Scholar] [CrossRef]
- Latenstein, A.E.J.; the Dutch Pancreatic Cancer Group; Van Roessel, S.; Msc, L.G.M.V.D.G.; Bonsing, B.A.; Dejong, C.H.C.; Koerkamp, B.G.; De Hingh, I.H.J.T.; Homs, M.Y.V.; Klaase, J.M.; et al. Conditional Survival After Resection for Pancreatic Cancer: A Population-Based Study and Prediction Model. Ann. Surg. Oncol. 2020, 27, 2516–2524. [Google Scholar] [CrossRef] [PubMed]
- van Roessel, S.; Strijker, M.; Steyerberg, E.W.; Groen, J.V.; Mieog, J.S.; Groot, V.P.; He, J.; De Pastena, M.; Marchegiani, G.; Bassi, C.; et al. International validation and update of the Amsterdam model for prediction of survival after pancreatoduodenectomy for pancreatic cancer. Eur. J. Surg. Oncol. 2020, 46, 796–803. [Google Scholar] [CrossRef] [PubMed]
- Joliat, G.R.; Petermann, D.; Demartines, N.; Schäfer, M. Prediction of Complications after Pancreaticoduodenectomy: Validation of a Postoperative Complication Score. Pancreas 2015, 44, 1323–1328. [Google Scholar] [CrossRef] [PubMed]
- Al Abbas, A.I.; Borrebach, J.D.; Pitt, H.A.; Bellon, J.; Hogg, M.E.; Zeh, H.J.; Zureikat, A.H. Development of a Novel Pancreatoduodenectomy-Specific Risk Calculator: An Analysis of 10,000 Patients. J. Gastrointest. Surg. 2021, 25, 1503–1511. [Google Scholar] [CrossRef]
- Smits, F.J.; Verweij, M.E.; Daamen, L.A.; van Werkhoven, C.H.; Goense, L.; Besselink, M.G.; Bonsing, B.A.; Busch, O.R.; Van Dam, R.M.; Van Eijck, C.H.; et al. Impact of Complications after Pancreatoduodenectomy on Mortality, Organ Failure, Hospital Stay, and Readmission: Analysis of a Nationwide Audit. Ann. Surg. 2022, 275, e222–e228. [Google Scholar] [CrossRef]
- Linnemann, R.J.; Kooijman, B.J.; van der Hilst, C.S.; Sprakel, J.; Buis, C.I.; Kruijff, S.; Klaase, J.M. The Costs of Complications and Unplanned Readmissions after Pancreatoduodenectomy for Pancreatic and Periampullary Tumors: Results from a Single Academic Center. Cancers 2021, 13, 6271. [Google Scholar] [CrossRef]
- Bonaroti, J.W.; Zenati, M.S.; Al-Abbas, A.I.; Rieser, C.J.; Zureikat, A.H.; Hogg, M.E.; Zeh, H.J.; Boone, B.A. Impact of postoperative pancreatic fistula on long-term oncologic outcomes after pancreatic resection. HPB 2021, 23, 1269–1276. [Google Scholar] [CrossRef]
- Schröder, F.F.; de Graaff, F.; Bouman, D.E.; Brusse-Keizer, M.; Slump, K.H.; Klaase, J.M. The Preoperative CT-Scan Can Help to Predict Postoperative Complications after Pancreatoduodenectomy. BioMed Res. Int. 2015, 2015, 824525. [Google Scholar] [CrossRef]
- van Steenbeek, C.D.; van Maaren, M.C.; Siesling, S.; Witteveen, A.; Verbeek, X.A.A.M.; Koffijberg, H. Facilitating validation of prediction models: A comparison of manual and semi-automated validation using registry-based data of breast cancer patients in the Netherlands. BMC Med. Res. Methodol. 2019, 19, 117. [Google Scholar] [CrossRef]
- Higuera, O.; Ghanem, I.; Nasimi, R.; Prieto, I.; Koren, L.; Feliu, J. Management of pancreatic cancer in the elderly. World J. Gastroenterol. 2016, 22, 764–775. [Google Scholar] [CrossRef]
- Sperti, C.; Moletta, L.; Pozza, G. Pancreatic resection in very elderly patients: A critical analysis of existing evidence. World J. Gastrointest. Oncol. 2017, 9, 30–36. [Google Scholar] [CrossRef] [PubMed]
- Ngo-Huang, A.; Parker, N.H.; Bruera, E.; Lee, R.E.; Simpson, R.; O’Connor, D.P.; Petzel, M.Q.B.; Fontillas, R.C.; Schadler, K.; Xiao, L.; et al. Home-Based Exercise Prehabilitation During Preoperative Treatment for Pancreatic Cancer Is Associated with Improvement in Physical Function and Quality of Life. Integr. Cancer Ther. 2019, 18, 1534735419894061. [Google Scholar] [CrossRef] [PubMed]
- van Wijk, L.; Bongers, B.C.; Berkel, A.E.; Buis, C.I.; Reudink, M.; Liem, M.S.; Slooter, G.D.; van Meeteren, N.L.; Klaase, J.M. Improved preoperative aerobic fitness following a home-based bimodal prehabilitation programme in high-risk patients scheduled for liver or pancreatic resection. Br. J. Surg. 2022, 109, 1036–1039. [Google Scholar] [CrossRef] [PubMed]
- Hikita, K.; Chiba, N.; Nakagawa, M.; Koganezawa, I.; Yokozuka, K.; Kobayashi, T.; Sano, T.; Tomita, K.; Tsutsui, R.; Hirano, H.; et al. Efficacy of Peak Hounsfield Units of the Visceral Fat Area in Predicting Postoperative Complications after Pancreaticoduodenectomy. Dig. Surg. 2020, 37, 331–339. [Google Scholar] [CrossRef] [PubMed]
- McAuliffe, J.C.; Parks, K.; Kumar, P.; McNeal, S.F.; Morgan, D.E.; Christein, J.D. Computed tomography attenuation and patient characteristics as predictors of complications after pancreaticoduodenectomy. HPB 2013, 15, 709–715. [Google Scholar] [CrossRef]
- Savin, M.; Mihai, F.; Gheorghe, L.; Ursulescu, C.L.; Negru, D.; Trofin, A.; Zabara, M.; Nutu, V.; Cadar, R.; Blaj, M.; et al. Proposal of a Preoperative CT-Based Score to Predict the Risk of Clinically Relevant Pancreatic Fistula after Cephalic Pancreatoduodenectomy. Medicina 2021, 57, 650. [Google Scholar] [CrossRef]
- Emekli, E.; Gündoğdu, E. Computed tomography evaluation of early post-operative complications of the Whipple procedure. Pol. J. Radiol. 2020, 85, e104–e109. [Google Scholar] [CrossRef]
- Roh, Y.H.; Kang, B.K.; Song, S.Y.; Lee, C.M.; Jung, Y.K.; Kim, M. Preoperative CT anthropometric measurements and pancreatic pathology increase risk for postoperative pancreatic fistula in patients following pancreaticoduodenectomy. PLoS ONE 2020, 15, e0243515. [Google Scholar]
- Kolbinger, F.R.; Lambrecht, J.; Leger, S.; Ittermann, T.; Speidel, S.; Weitz, J.; Hoffmann, R.-T.; Distler, M.; Kühn, J.-P. The image-based preoperative fistula risk score (preFRS) predicts postoperative pancreatic fistula in patients undergoing pancreatic head resection. Sci. Rep. 2022, 12, 4064. [Google Scholar] [CrossRef]
- Nahm, C.B.; Lui, I.; Naidoo, C.S.; Roseverne, L.; Alzaabi, S.; Maher, R.; Mann, G.; Blome, S.; Gill, A.J.; Samra, J.S.; et al. Density and enhancement of the pancreatic tail on computer tomography predicts acinar score and pancreatic fistula after pancreatoduodenectomy. HPB 2019, 21, 604–611. [Google Scholar] [CrossRef]
- Uzunoglu, F.G.; Reeh, M.; Vettorazzi, E.; Ruschke, T.; Hannah, P.; Nentwich, M.F.; Vashist, Y.K.; Bogoevski, D.; König, A.; Janot, M.; et al. Preoperative Pancreatic Resection (PREPARE) score: A prospective multicenter-based morbidity risk score. Ann. Surg. 2014, 260, 857–863; Discussion 863–864. [Google Scholar] [CrossRef] [PubMed]
- Rodriguez-Lopez, M.; Tejero-Pintor, F.J.; Perez-Saborido, B.; Barrera-Rebollo, A.; Bailon-Cuadrado, M.; Pacheco-Sanchez, D. Severe morbidity after pancreatectomy is accurately predicted by preoperative pancreatic resection score (PREPARE): A prospective validation analysis from a medium-volume center. Hepatobiliary Pancreat. Dis. Int. 2018, 17, 559–565. [Google Scholar] [CrossRef] [PubMed]
- McMillan, M.; Allegrini, V.; Asbun, H.J.; Ball, C.G.; Bassi, C.; Beane, J.; Behrman, S.W.; Berger, A.C.; Bloomston, M.; Callery, M.P.; et al. Incorporation of Procedure-specific Risk Into the ACS-NSQIP Surgical Risk Calculator Improves the Prediction of Morbidity and Mortality After Pancreatoduodenectomy. Ann. Surg. 2017, 265, 978–986. [Google Scholar] [CrossRef] [PubMed]
- Greenblatt, D.Y.; Kelly, K.J.; Rajamanickam, V.; Wan, Y.; Hanson, T.; Rettammel, R.; Winslow, E.R.; Cho, C.S.; Weber, S.M. Preoperative factors predict perioperative morbidity and mortality after pancreaticoduodenectomy. Ann. Surg. Oncol. 2011, 18, 2126–2135. [Google Scholar] [CrossRef]
- Steyerberg, E.W.; Vergouwe, Y. Towards better clinical prediction models: Seven steps for development and an ABCD for validation. Eur. Heart J. 2014, 35, 1925–1931. [Google Scholar] [CrossRef] [PubMed]




| All (308) | No or Mild Complications Clavien–Dindo (I, II) (219) | Severe Complications Clavien–Dindo ≥ IIIa (89) | p Value | |
|---|---|---|---|---|
| Age (years) | 0.358 | |||
| Median (IQR) | 67 (59–73) | 67 (58–73) | 67 (63–72) | |
| Mean ± SD | 65 ± 10.6 | 65 ± 11.5 | 66 ± 8.2 | |
| Gender, n (%) | 0.348 | |||
| Male | 163 (52.9%) | 118 (53.9%) | 45 (50.6%) | |
| Female | 145 (47.1%) | 101 (46.1%) | 44 (49.4%) | |
| BMI (kg/m2) Median (IQR) | 25.4 (22.4–28.7) | 25.1 (22.3–27.9) | 26.4 (23–30) | 0.638 |
| Mean ± SD | 26.6 ± 11.8 | 26.5 ± 13.7 | 27 ± 5.1 | |
| (25 n (%)) | 138 (44.8%) | 108(49.3%) | 30 (33.7%) | |
| (25 n (%)) | 170 (55.2%) | 111(50.7%) | 59 (66.3%) | |
| ASA score, n (%) | 0.330 | |||
| I | 31 (10.1%) | 21 (9.6%) | 10 (11.2%) | |
| II | 198 (64.3%) | 152 (69.4%) | 46 (51.7%) | |
| III | 79 (25.6%) | 46 (21%) | 33 (37.1%) | |
| HU of the pancreas | 0.635 | |||
| body, Median (IQR) | 85.3 (70.7–96.4) | 87.6 (72.7–98.7) | 79.6 (62.9–89.9) | |
| Mean ± SD | 84.6 ± 17.9 | 87.2 ± 17.6 | 78.2 ± 17.3 | |
| Pathology | 0.556 | |||
| Adenocarcinoma | 176 (57.1%) | 134 (61.2%) | 42 (47.2%) | |
| IPMN | 16 (5.2%) | 12 (5.5%) | 4 (4.5%) | |
| Neuroendocrine neoplasm | 24 (7.8%) | 18 (8.2%) | 6 (6.7%) | |
| Adenoma intestinal type | 36 (11.7%) | 20 (9.1%) | 16 (18%) | |
| Mucinous cystic neoplasm | 6 (1.9%) | 4 (1.8%) | 2 (2.2%) | |
| Serous cystadenoma | 2 (0.6%) | 1 (0.5%) | 1 (1.1%) | |
| Chronic pancreatitis | 5 (1.6%) | 5 (2.3%) | 0 | |
| Chronic cholangitis | 9 (2.9%) | 7 (3.2%) | 2 (2.2%) | |
| Other/Unknown | 34 (11%) | 18 (8.3%) | 16 (17.9%) | |
| Operation type n (%) | 0.825 | |||
| PD | 63 (20.5%) | 48 (21.9%) | 15 (16.9%) | |
| PPPD | 245 (79.5%) | 171 (78.1%) | 74 (83.1%) |
| Complication | n | % |
|---|---|---|
| POPF | ||
| No | 245 | 79.5 |
| Grade A | 19 | 6.2 |
| Grade B | 39 | 12.7 |
| Grade C | 5 | 1.6 |
| DGE | ||
| No | 228 | 74 |
| Grade A | 32 | 10.4 |
| Grade B | 33 | 10.7 |
| Grade C | 15 | 4.9 |
| PPH | ||
| No | 287 | 93.2 |
| Grade A | 8 | 2.6 |
| Grade B | 11 | 3.6 |
| Grade C | 2 | 0.6 |
| Bile leakage | ||
| No | 303 | 98.4 |
| Grade A | 0 | 0 |
| Grade B | 5 | 1.6 |
| Grade C | 0 | 0 |
| Chylous leakage | ||
| No | 211 | 68.5 |
| Grade A | 60 | 19.5 |
| Grade B | 37 | 12 |
| Grade C | 0 | 0 |
| Surgical site infection | ||
| No | 252 | 81.8 |
| Yes | 56 | 18.2 |
| Pneumonia | ||
| No | 303 | 98.4 |
| Yes | 5 | 1.6 |
| Mortality | ||
| No | 303 | 98.4 |
| Yes | 5 | 1.6 |
| Study ID | Variables | Types of Variables | Severe Complication Definition | Limitations of the Calculator |
|---|---|---|---|---|
| #Braga et al. [4] | ASA classification* pancreatic texture, interoperative blood loss, pancreatic duct diameter. | Pre-operative intraoperative | Clavien–Dindo ≥ IIIa | Many intraoperative variables. The results may have been biased because the Clavien–Dindo was published in 2004 and it included patients between 2002 and 2010. |
| √Joliat et al. [23] | ASA classification* pancreatic texture, interoperative blood loss, pancreatic duct diameter. | Pre-operative intraoperative | Clavien–Dindo ≥ IIIa | Many intraoperative variables. It only included PD and not PPPD.The results may have been biased because the Clavien–Dindo was published in 2004 and it included patients between 2000 and 2012. |
| #Abbas et al. [24] | age, gender, BMI*, ASA classification* hypertension, gland texture, duct size, DM* adenocarcinoma. | Pre-operative | No clear classification has been provided | Difficult to use. Requires many variables. Pancreatic texture was considered as a preoperative variable. No model calibration measure was reported. |
| #Chen et al. [1] | BMI*, pancreatic texture, WBCs*, sodium concentration respiratory diseases | Pre-operative Intra-operative | Clavien–Dindo ≥ II | Pancreatic texture is an intraoperative variable, and it is graded subjectively during the operation. |
| #Uzunoglu et al. [41] | ASA classification* albumin, hemoglobin, heart rate, blood pressure, origin of tumor, elective surgery, type of operation. | Pre-operative | Clavien–Dindo ≥ III | Validated in a small cohort (n = 50). |
| √Rodriguez-Lopez et al. [42] | ASA classification* albumin, hemoglobin, heart rate, blood pressure, origin of tumor, elective surgery, type of operation. | Pre-operative | Clavien–Dindo ≥ III | Small number of patients (n = 50). There were patients who underwent distal pancreatectomy, and it was not mention how many patients had this type of resection. |
| #Wiltberger et al. [16] | BMI*, ASA classification*the presence of vascular or pulmonary comorbidities. | Pre-operative | Clavien–Dindo ≥ IIIb | No external validation. No pancreas specific variable. |
| #Aoki et al. [2] | 20 preoperative variables, one intraoperative variable (vascular resection) | Pre-operative Intra-operative | Clavien–Dindo ≥ IV | No external validation. Requires an intraoperative variable. Not available online. No model calibration measure was reported. |
| #McMillan et al. [43] | The same variables as the ACS-NSQIP* calculator. It used FRS*, hospital volume and surgical skills as additional predictors. | Pre-operative Intra-operative | Accordion grade ≥ III | FRS calculation requires intraoperative blood loss and pancreatic texture. Requires many variables. Severe complications were not defined according to the Clavien–Dindo definition. |
| #Parikh et al. [7] | Age, gender, BMI*, history of sepsis, functional status, ASA classification* CHD*, dyspnea, bleeding disorder, type of resection | Pre-operative | Defined depending on the complication. Examples are provided in the article. | Many patients underwent distal pancreatectomy 34%. Requires many variables. Severe complications were not defined according to the Clavien–Dindo definition. |
| #Greenblatt et al. [44] | Age, gender, BMI, functional status, COPD*, steroid use, bleeding disorder, WBCs*, creatinine, albumin | Pre-operative | Defined depending on the complication. Examples are provided in the article. | Requires many variables. Severe complications were not defined according to the Clavien–Dindo definition. No pancreas specific variable. |
Publisher’s Note: MDPI stays neutral with regard to jurisdictional claims in published maps and institutional affiliations. |
© 2022 by the authors. Licensee MDPI, Basel, Switzerland. This article is an open access article distributed under the terms and conditions of the Creative Commons Attribution (CC BY) license (https://creativecommons.org/licenses/by/4.0/).
Share and Cite
Alhulaili, Z.M.; Pleijhuis, R.G.; Nijkamp, M.W.; Klaase, J.M. External Validation of a Risk Model for Severe Complications following Pancreatoduodenectomy Based on Three Preoperative Variables. Cancers 2022, 14, 5551. https://doi.org/10.3390/cancers14225551
Alhulaili ZM, Pleijhuis RG, Nijkamp MW, Klaase JM. External Validation of a Risk Model for Severe Complications following Pancreatoduodenectomy Based on Three Preoperative Variables. Cancers. 2022; 14(22):5551. https://doi.org/10.3390/cancers14225551
Chicago/Turabian StyleAlhulaili, Zahraa M., Rick G. Pleijhuis, Maarten W. Nijkamp, and Joost M. Klaase. 2022. "External Validation of a Risk Model for Severe Complications following Pancreatoduodenectomy Based on Three Preoperative Variables" Cancers 14, no. 22: 5551. https://doi.org/10.3390/cancers14225551
APA StyleAlhulaili, Z. M., Pleijhuis, R. G., Nijkamp, M. W., & Klaase, J. M. (2022). External Validation of a Risk Model for Severe Complications following Pancreatoduodenectomy Based on Three Preoperative Variables. Cancers, 14(22), 5551. https://doi.org/10.3390/cancers14225551
