NPY Gene Methylation in Circulating Tumor DNA as an Early Biomarker for Treatment Effect in Metastatic Colorectal Cancer
Abstract
:Simple Summary
Abstract
1. Introduction
2. Materials and Methods
2.1. Study Population
2.2. Blood Sampling
2.3. Methylation Analysis
2.4. Definition of Groups and Endpoints
2.5. Data Management
2.6. Statistical Analysis
3. Results
3.1. Patient Characteristics
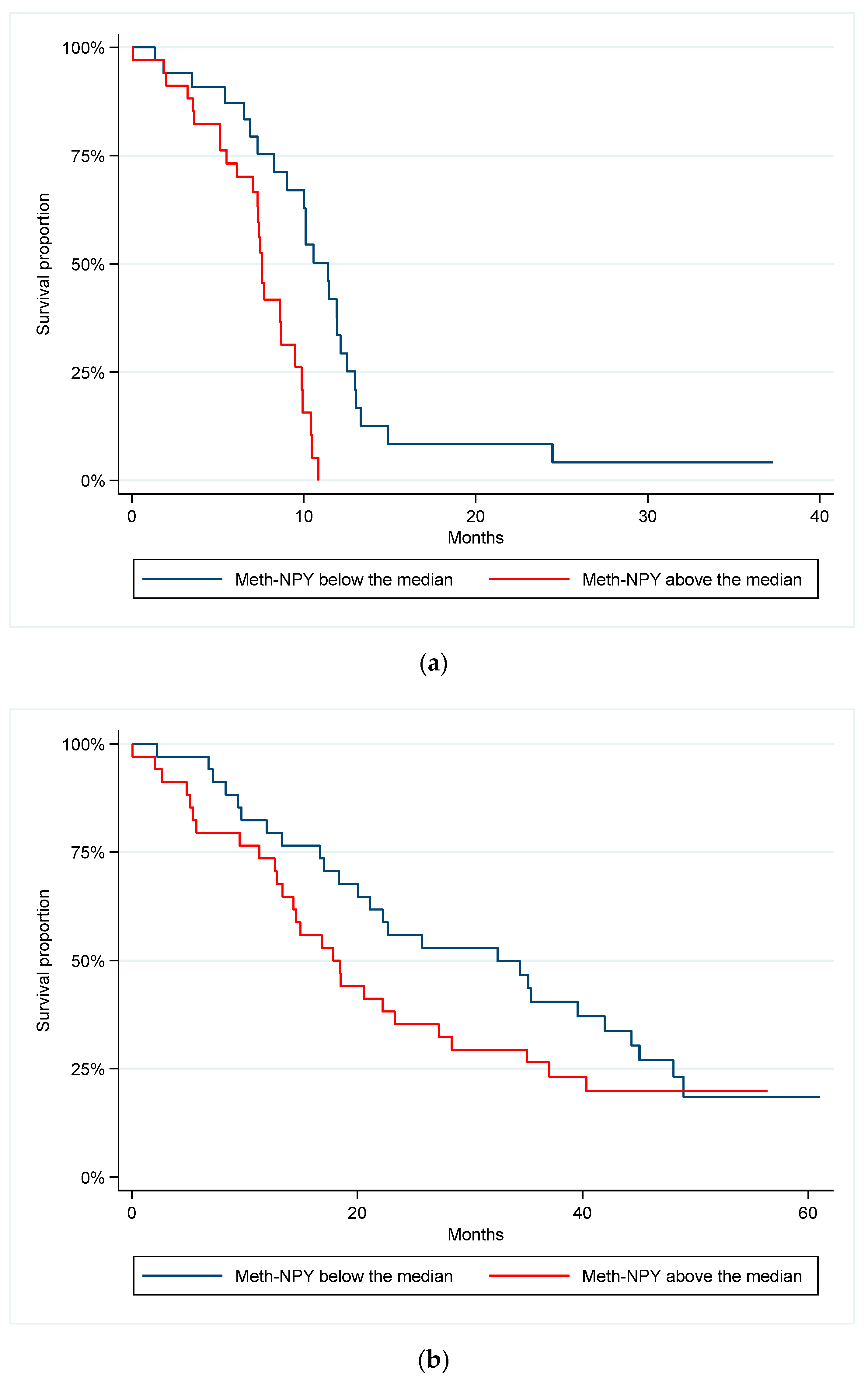
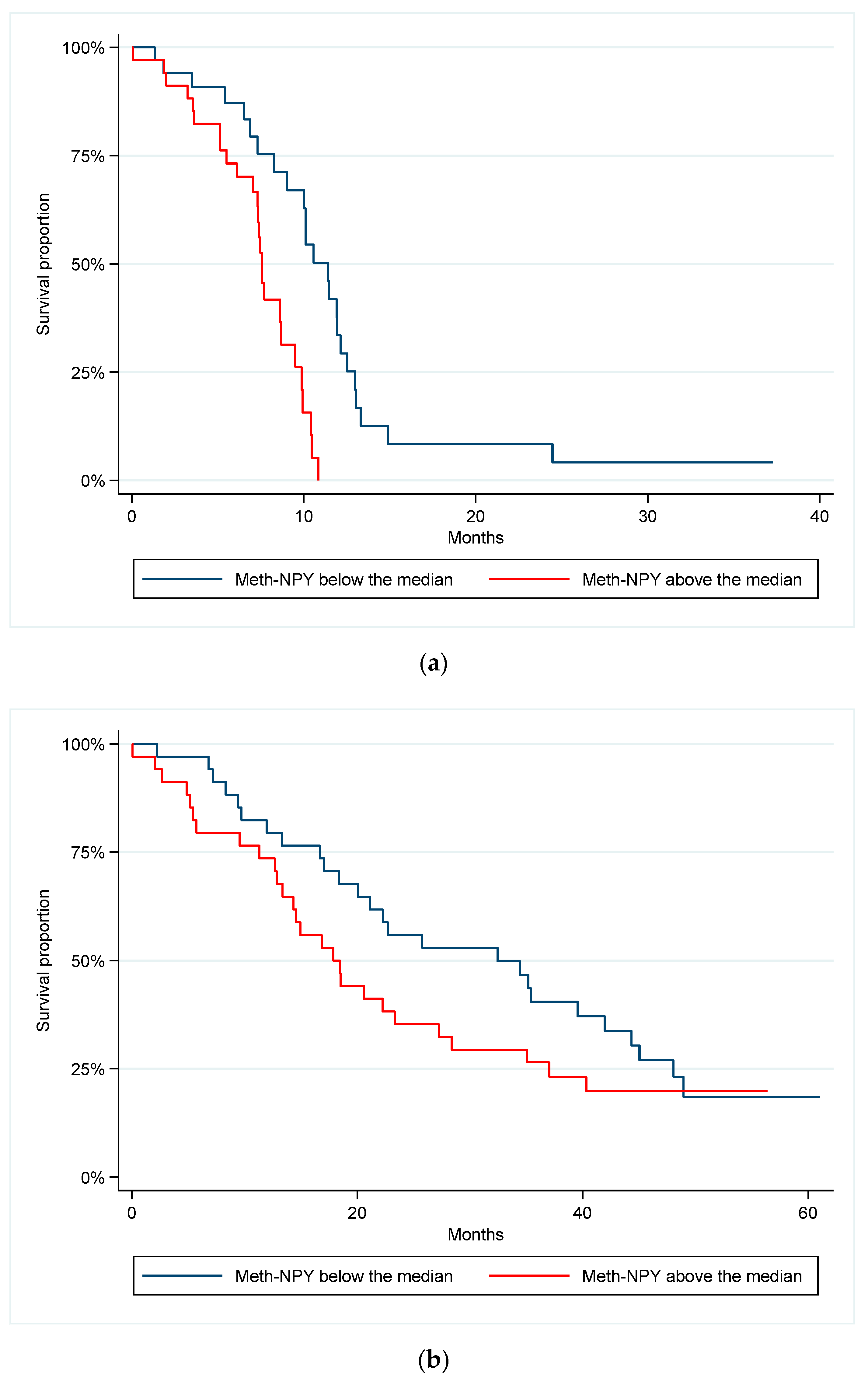
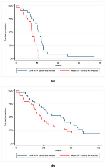
3.2. Prognostic Value of Meth-NPY at Baseline
3.3. Early Treatment Effect
3.4. Meth-NPY Lead Time
4. Discussion
5. Conclusions
Supplementary Materials
Author Contributions
Funding
Institutional Review Board Statement
Informed Consent Statement
Data Availability Statement
Acknowledgments
Conflicts of Interest
References
- Eisenhauer, E.A.; Therasse, P.; Bogaerts, J.; Schwartz, L.H.; Sargent, D.; Ford, R.; Dancey, J.; Arbuck, S.; Gwyther, S.; Mooney, M.; et al. New response evaluation criteria in solid tumours: Revised RECIST guideline (version 1.1). Eur. J. Cancer 2009, 45, 228–247. [Google Scholar] [CrossRef] [PubMed]
- Sharma, M.R.; Maitland, M.L.; Ratain, M.J.; Fojo, A.T.; Noonan, A. RECIST: No longer the sharpest tool in the oncology clinical trials toolbox-Point/Counterpoint. Cancer Res. 2012, 72, 5145–5150. [Google Scholar] [CrossRef] [PubMed]
- Bettegowda, C.; Sausen, M.; Leary, R.J.; Kinde, I.; Wang, Y.; Agrawal, N.; Bartlett, B.R.; Wang, H.; Luber, B.; Alani, R.M.; et al. Detection of circulating tumor DNA in early- and late-stage human malignancies. Sci. Transl. Med. 2014, 6, 224. [Google Scholar] [CrossRef] [PubMed]
- Ocaña, A.; Díez-González, L.; García-Olmo, D.C.; Templeton, A.J.; Vera-Badillo, F.; Escribano, M.J.; Serrano-Heras, G.; Corrales-Sánchez, V.; Seruga, B.; Andres-Pretel, F.; et al. Circulating DNA and survival in solid tumors. Cancer Epidemiol. Biomark. Prev. 2016, 25, 399–406. [Google Scholar] [CrossRef]
- Tie, J.; Kinde, I.; Wang, Y.; Wong, H.L.; Roebert, J.; Christie, M.; Tacey, M.; Wong, R.; Singh, M.; Karapetis, C.S.; et al. Circulating tumor DNA as an early marker of therapeutic response in patients with metastatic colorectal cancer. Ann. Oncol. 2015, 26, 1715–1722. [Google Scholar] [CrossRef]
- Lyskjær, I.; Kronborg, C.S.; Rasmussen, M.H.; Sørensen, B.S.; Demuth, C.; Rosenkilde, M.; Johansen, A.F.B.; Knudsen, M.; Vang, S.; Krag, S.R.P.; et al. Correlation between early dynamics in circulating tumour DNA and outcome from FOLFIRI treatment in metastatic colorectal cancer. Sci. Rep. 2019, 9, 11542. [Google Scholar] [CrossRef]
- Maughan, T.S.; Adams, R.A.; Smith, C.G.; Meade, A.M.; Seymour, M.T.; Wilson, R.H.; Idziaszczyk, S.; Harris, R.; Fisher, D.; Kenny, S.L.; et al. Addition of cetuximab to oxaliplatin-based first-line combination chemotherapy for treatment of advanced colorectal cancer: Results of the randomised phase 3 MRC COIN trial. Lancet 2011, 377, 2103–2114. [Google Scholar] [CrossRef]
- Sharma, S.; Kelly, T.K.; Jones, P.A. Epigenetics in cancer. Carcinogenesis 2009, 31, 27–36. [Google Scholar] [CrossRef]
- Baylin, S.B. DNA methylation and gene silencing in cancer. Nat. Clin. Pract. Oncol. 2005, 2, 4–11. [Google Scholar] [CrossRef]
- Garrigou, S.; Perkins, G.; Garlan, F.; Normand, C.; Didelot, A.; Le Corre, D.; Peyvandi, S.; Mulot, C.; Niarra, R.; Aucouturier, P.; et al. A study of hypermethylated circulating tumor DNA as a universal colorectal cancer biomarker. Clin. Chem. 2016, 62, 1129–1139. [Google Scholar] [CrossRef] [Green Version]
- Barault, L.; Amatu, A.; Siravegna, G.; Ponzetti, A.; Moran, S.; Cassingena, A.; Mussolin, B.; Falcomatà, C.; Binder, A.M.; Cristiano, C.; et al. Discovery of methylated circulating DNA biomarkers for comprehensive non-invasive monitoring of treatment response in metastatic colorectal cancer. Gut 2018, 67, 1995–2005. [Google Scholar] [CrossRef] [PubMed]
- Kim, Y.H.; Lee, H.C.; Kim, S.Y.; Yeom, Y.I.; Ryu, K.J.; Min, B.H.; Kim, D.H.; Son, H.J.; Rhee, P.L.; Kim, J.J.; et al. Epigenomic analysis of aberrantly methylated genes in colorectal cancer identifies genes commonly affected by epigenetic alterations. Ann. Surg. Oncol. 2011, 18, 2338–2347. [Google Scholar] [CrossRef] [PubMed]
- Ogasawara, M.; Murata, J.; Ayukawa, K.; Saiki, I. Differential effect of intestinal neuropeptides on invasion and migration of colon carcinoma cells in vitro. Cancer Lett. 1997, 119, 125–130. [Google Scholar] [CrossRef]
- DeMorrow, S.; Onori, P.; Venter, J.; Invernizzi, P.; Frampton, G.; White, M.; Franchitto, A.; Kopriva, S.; Bernuzzi, F.; Francis, H.; et al. Neuropeptide Y inhibits cholangiocarcinoma cell growth and invasion. Am. J. Physiol. Cell Physiol. 2011, 300, 1078–1089. [Google Scholar] [CrossRef] [PubMed]
- Roperch, J.P.; Incitti, R.; Forbin, S.; Bard, F.; Mansour, H.; Mesli, F.; Baumgaertner, I.; Brunetti, F.; Sobhani, I. Aberrant methylation of NPY, PENK, and WIF1 as a promising marker for blood-based diagnosis of colorectal cancer. BMC Cancer 2013, 13, 566. [Google Scholar] [CrossRef]
- Boeckx, N.; de Beeck, K.; Beyens, M.; Deschoolmeester, V.; Hermans, C.; De Clercq, P.; Garrigou, S.; Normand, C.; Monsaert, E.; Papadimitriou, K.; et al. Mutation and Methylation Analysis of Circulating Tumor DNA Can Be Used for Follow-up of Metastatic Colorectal Cancer Patients. Clin. Color. Cancer 2018, 17, e369–e379. [Google Scholar] [CrossRef]
- Taly, V.; Pekin, D.; El Abed, A.; Laurent-Puig, P. Detecting biomarkers with microdroplet technology. Trends Mol. Med. 2012, 18, 405–416. [Google Scholar] [CrossRef]
- Taly, V.; Pekin, D.; Benhaim, L.; Kotsopoulos, S.K.; Le Corre, D.; Li, X.; Atochin, I.; Link, D.R.; Griffiths, A.D.; Pallier, K.; et al. Multiplex picodroplet digital PCR to detect KRAS mutations in circulating DNA from the plasma of colorectal cancer patients. Clin. Chem. 2013, 59, 1722–1731. [Google Scholar] [CrossRef]
- Raunkilde, L.; Hansen, T.F.; Jakobsen, A.; Jensen, L.H. Can tocotrienol reduce time to the first serious adverse event during treatment with FOLFOXIRI for colorectal cancer? Ann. Oncol. 2019, 30, v871. [Google Scholar] [CrossRef]
- McShane, L.M.; Altman, D.G.; Sauerbrei, W.; Taube, S.E.; Gion, M.; Clark, G.M. REporting recommendations for tumour MARKer prognostic studies (REMARK). Eur. J. Cancer 2005, 41, 1690–1696. [Google Scholar] [CrossRef] [Green Version]
- Pallisgaard, N.; Spindler, K.L.G.; Andersen, R.F.; Brandslund, I.; Jakobsen, A. Controls to validate plasma samples for cell free DNA quantification. Clin. Chim. Acta 2015, 446, 141–146. [Google Scholar] [CrossRef] [PubMed]
- Thomsen, C.B.; Andersen, R.F.; Lindebjerg, J.; Hansen, T.F.; Jensen, L.H.; Jakobsen, A. Correlation Between Tumor-Specific Mutated and Methylated DNA in Colorectal Cancer. JCO Precis. Oncol. 2019, 3, 1–8. [Google Scholar] [CrossRef]
- Harris, P.A.; Taylor, R.; Thielke, R.; Payne, J.; Gonzalez, N.; Conde, J.G. Research electronic data capture (REDCap)-A metadata-driven methodology and workflow process for providing translational research informatics support. J. Biomed. Inform. 2009, 42, 377–381. [Google Scholar] [CrossRef] [PubMed]
- Harris, P.A.; Taylor, R.; Minor, B.L.; Elliott, V.; Fernandez, M.; O’Neal, L.; McLeod, L.; Delacqua, G.; Delacqua, F.; Kirby, J.; et al. The REDCap consortium: Building an international community of software platform partners. J. Biomed. Inform. 2019, 95, 103208. [Google Scholar] [CrossRef] [PubMed]
- Giessen, C.; Laubender, R.P.; Ankerst, D.P.; Stintzing, S.; Modest, D.P.; Mansmann, U.; Heinemann, V. Progression-free survival as a surrogate endpoint for median overall survival in metastatic colorectal cancer: Literature-based analysis from 50 randomized first-line trials. Clin. Cancer Res. 2013, 19, 225–235. [Google Scholar] [CrossRef]
- Thomsen, C.B.; Hansen, T.F.; Andersen, R.F.; Lindebjerg, J.; Jensen, L.H.; Jakobsen, A. Early identification of treatment benefit by methylated circulating tumor DNA in metastatic colorectal cancer. Ther. Adv. Med. Oncol. 2020, 12, 1–7. [Google Scholar] [CrossRef]
- Garlan, F.; Laurent-Puig, P.; Sefrioui, D.; Siauve, N.; Didelot, A.; Sarafan-Vasseur, N.; Michel, P.; Perkins, G.; Mulot, C.; Blons, H.; et al. Early evaluation of circulating tumor DNA as marker of therapeutic efficacy in metastatic colorectal cancer patients (PLACOL study). Clin. Cancer Res. 2017, 23, 5416–5425. [Google Scholar] [CrossRef]
- Thomsen, C.B.; Hansen, T.F.; Andersen, R.F.; Lindebjerg, J.; Jensen, L.H.; Jakobsen, A. Monitoring the effect of first line treatment in RAS/RAF mutated metastatic colorectal cancer by serial analysis of tumor specific DNA in plasma. J. Exp. Clin. Cancer Res. 2018, 37, 55. [Google Scholar] [CrossRef]
- Jensen, L.H.; Olesen, R.; Petersen, L.N.; Boysen, A.K.; Andersen, R.F.; Lindebjerg, J.; Nottelmann, L.; Thomsen, C.E.B.; Havelund, B.M.; Jakobsen, A.; et al. NPY Gene Methylation as a Universal, Longitudinal Plasma Marker for Evaluating the Clinical Benefit from Last-Line Treatment with Regorafenib in Metastatic Colorectal Cancer. Cancers 2019, 11, 1649. [Google Scholar] [CrossRef]
- Lenz, H.-J.; Van Cutsem, E.; Luisa Limon, M.; Wong, K.Y.M.; Hendlisz, A.; Aglietta, M.; García-Alfonso, P.; Neyns, B.; Luppi, G.; Cardin, D.B.; et al. First-Line Nivolumab Plus Low-Dose Ipilimumab for Microsatellite Instability-High/Mismatch Repair-Deficient Metastatic Colorectal Cancer: The Phase II CheckMate 142 Study. J. Clin. Oncol. 2022, 40, 161–170. [Google Scholar] [CrossRef]
- Colle, R.; Radzik, A.; Cohen, R.; Pellat, A.; Lopez-Tabada, D.; Cachanado, M.; Duval, A.; Svrcek, M.; Menu, Y.; André, T. Pseudoprogression in patients treated with immune checkpoint inhibitors for microsatellite instability-high/mismatch repair-deficient metastatic colorectal cancer. Eur. J. Cancer 2021, 144, 9–16. [Google Scholar] [CrossRef] [PubMed]
- Thomsen, C.B.; Juul, A.D.; Lefèvre, A.C.; Truelsen, C.G.; Dizdarevic, E.; Ryssel, H.; Kjær, I.M.; Wind, K.L.; Callesen, L.B.; Larsen, L.F.; et al. Reporting on circulating tumor DNA monitoring in metastatic cancer—From clinical validity to clinical utility. Cancer 2022, 128, 2052–2057. [Google Scholar] [CrossRef] [PubMed]
- Kuligina, E.S.; Meerovich, R.; Zagorodnev, K.A.; Kholmatov, M.M.; Sokolova, T.N.; Laidus, T.A.; Romanko, A.A.; Martianov, A.S.; Anisimova, M.O.; Zaitseva, O.A.; et al. Content of circulating tumor DNA depends on the tumor type and the dynamics of tumor size, but is not influenced significantly by physical exercise, time of the day or recent meal. Cancer Genet. 2021, 256–257, 165–178. [Google Scholar] [CrossRef] [PubMed]



| Variabel | Total N = 70 | Baseline Sample N = 68 | Undetectable Meth-NPY N = 7 | Detectable Meth-NPY N = 61 | p-Value |
|---|---|---|---|---|---|
| Age, median (range) | 64 (40–75) | 64 (40–75%) | 59 (54–67%) | 64 (40–75) | 0.12 |
| Gender | 0.70 | ||||
| Female | 27 (39%) | 26 (38%) | 2 (29%) | 24 (39%) | |
| Male | 43 (61%) | 42 (62%) | 5 (71%) | 37 (61%) | |
| PS | 1.00 | ||||
| 0 | 48 (69%) | 46 (68%) | 5 (71%) | 41 (67%) | |
| 1 | 22 (31%) | 22 (32%) | 2 (29%) | 20 (33%) | |
| Tumor location | 0.91 | ||||
| Right colon | 21 (30%) | 21 (31%) | 2 (29%) | 19 (31%) | |
| Left colon | 29 (41%) | 28 (41%) | 3 (43%) | 25 (41%) | |
| Rectum | 20 (29%) | 19 (28%) | 2 (28%) | 17 (28%) | |
| Primary metastatic disease | 47 (67%) | 46 (68%) | 3 (43%) | 43 (70%) | 0.20 |
| Recurrent disease | 23 (33%) | 22 (32%) | 4 (57%) | 18 (30%) | |
| Previous adjuvant chemo | 6 (9%) | 6 (9%) | 2 (29%) | 4 (7%) | 0.11 |
| RAS/RAF mutation | 49 (70%) | 48 (71%) | 5 (71%) | 43 (70%) | 1.00 |
| Liver-only disease | 16 (23%) | 16 (24%) | 1 (14%) | 15 (25%) | 1.00 |
| Variabel | PFS | |
|---|---|---|
| HR (95% CI) | p-Value | |
| Meth-NPY | 0.008 | |
| Non-responders | Reference | |
| Responders | 0.34 (0.16–0.76) | |
| Age | 0.98 (0.94–1.02) | 0.46 |
| Gender | 0.39 | |
| Male | Reference | |
| Female | 1.34 (0.69–2.6) | |
| PS | 0.024 | |
| 0 | Reference | |
| 1 | 2.10 (1.1–4.0) | |
| Randomization | 0.34 | |
| Placebo | Reference | |
| Tocotrienol | 1.40 (0.71–2.77) | |
Publisher’s Note: MDPI stays neutral with regard to jurisdictional claims in published maps and institutional affiliations. |
© 2022 by the authors. Licensee MDPI, Basel, Switzerland. This article is an open access article distributed under the terms and conditions of the Creative Commons Attribution (CC BY) license (https://creativecommons.org/licenses/by/4.0/).
Share and Cite
Raunkilde, L.; Hansen, T.F.; Andersen, R.F.; Havelund, B.M.; Thomsen, C.B.; Jensen, L.H. NPY Gene Methylation in Circulating Tumor DNA as an Early Biomarker for Treatment Effect in Metastatic Colorectal Cancer. Cancers 2022, 14, 4459. https://doi.org/10.3390/cancers14184459
Raunkilde L, Hansen TF, Andersen RF, Havelund BM, Thomsen CB, Jensen LH. NPY Gene Methylation in Circulating Tumor DNA as an Early Biomarker for Treatment Effect in Metastatic Colorectal Cancer. Cancers. 2022; 14(18):4459. https://doi.org/10.3390/cancers14184459
Chicago/Turabian StyleRaunkilde, Louise, Torben Frøstrup Hansen, Rikke Fredslund Andersen, Birgitte Mayland Havelund, Caroline Brenner Thomsen, and Lars Henrik Jensen. 2022. "NPY Gene Methylation in Circulating Tumor DNA as an Early Biomarker for Treatment Effect in Metastatic Colorectal Cancer" Cancers 14, no. 18: 4459. https://doi.org/10.3390/cancers14184459
APA StyleRaunkilde, L., Hansen, T. F., Andersen, R. F., Havelund, B. M., Thomsen, C. B., & Jensen, L. H. (2022). NPY Gene Methylation in Circulating Tumor DNA as an Early Biomarker for Treatment Effect in Metastatic Colorectal Cancer. Cancers, 14(18), 4459. https://doi.org/10.3390/cancers14184459

