Validation of Pretreatment Prognostic Factors and Prognostic Staging Systems for Small Cell Lung Cancer in a Real-World Data Set
Abstract
Simple Summary
Abstract
1. Introduction
2. Materials and Methods
2.1. Patients
2.2. Staging, Response and Outcome Evaluation
2.3. Parameters Included in the Univariate and Multivariate Analyses
2.4. Analysis of Established Prognostic Scores
2.5. Statistics
3. Results
3.1. Patient Characteristics
3.2. Univariate Analysis
3.3. Long-Term Survival
3.4. Multivariate Analysis
4. Discussion
5. Conclusions
Author Contributions
Funding
Institutional Review Board Statement
Informed Consent Statement
Data Availability Statement
Conflicts of Interest
References
- Herbst, R.S.; Heymach, J.V.; Lippman, S.M. Lung Cancer. N. Engl. J. Med. 2008, 359, 1367–1380. [Google Scholar] [CrossRef]
- Stupp, R.; Monnerat, C.; Turrisi, A.T.; Perry, M.C.; Leyvraz, S. Small cell lung cancer: State of the art and future perspectives. Lung Cancer 2004, 45, 105–117. [Google Scholar] [CrossRef] [PubMed]
- Mountain, C.F. The international system for staging lung cancer. Semin. Surg. Oncol. 2000, 18, 106–115. [Google Scholar] [CrossRef]
- Clark, R.; Ihde, D.C. Small-cell lung cancer: Treatment progress and prospects. Oncology 1998, 12, 647–658. [Google Scholar] [PubMed]
- Rodriguez, E.; Lilenbaum, R.C. Small Cell Lung Cancer: Past, Present, and Future. Curr. Oncol. Rep. 2010, 12, 327–334. [Google Scholar] [CrossRef] [PubMed]
- Kalemkerian, G.P. Advances in pharmacotherapy of small cell lung cancer. Expert Opin. Pharmacother. 2014, 15, 2385–2396. [Google Scholar] [CrossRef]
- Früh, M.; De Ruysscher, D.; Popat, S.; Crinò, L.; Peters, S.; Felip, E. Small-cell lung cancer (SCLC): ESMO Clinical Practice Guidelines for diagnosis, treatment and follow-up. Ann. Oncol. 2013, 24, vi99–vi105. [Google Scholar] [CrossRef]
- Oze, I.; Hotta, K.; Kiura, K.; Ochi, N.; Takigawa, N.; Fujiwara, Y.; Tabata, M.; Tanimoto, M. Twenty-Seven Years of Phase III Trials for Patients with Extensive Disease Small-Cell Lung Cancer: Disappointing Results. PLoS ONE 2009, 4, e7835. [Google Scholar] [CrossRef]
- Horn, L.; Mansfield, A.S.; Szczęsna, A.; Havel, L.; Krzakowski, M.; Hochmair, M.J.; Huemer, F.; Losonczy, G.; Johnson, M.L.; Nishio, M.; et al. First-Line Atezolizumab plus Chemotherapy in Extensive-Stage Small-Cell Lung Cancer. N. Engl. J. Med. 2018, 379, 2220–2229. [Google Scholar] [CrossRef]
- Paz-Ares, L.; Dvorkin, M.; Chen, Y.; Reinmuth, N.; Hotta, K.; Trukhin, D.; Statsenko, G.; Hochmair, M.J.; Özgüroğlu, M.; Ji, J.H.; et al. Durvalumab plus platinum–etoposide versus platinum–etoposide in first-line treatment of extensive-stage small-cell lung cancer (CASPIAN): A randomised, controlled, open-label, phase 3 trial. Lancet 2019, 394, 1929–1939. [Google Scholar] [CrossRef]
- Asai, N.; Ohkuni, Y.; Kaneko, N.; Yamaguchi, E.; Kubo, A. Relapsed small cell lung cancer: Treatment options and latest developments. Ther. Adv. Med. Oncol. 2014, 6, 69–82. [Google Scholar] [CrossRef] [PubMed]
- Hagmann, R.; Hess, V.; Zippelius, A.; Rothschild, S.I. Second-Line Therapy of Small-Cell Lung Cancer: Topotecan Compared to a Combination Treatment with Adriamycin, Cyclophosphamide Additionally, Vincristine (ACO)—A Single Center Experience. J. Cancer 2015, 6, 1148–1154. [Google Scholar] [CrossRef] [PubMed][Green Version]
- Sodja, E.; Rijavec, M.; Koren, A.; Sadikov, A.; Korošec, P.; Cufer, T. The prognostic value of whole blood SOX2, NANOG and OCT4 mRNA expression in advanced small-cell lung cancer. Radiol. Oncol. 2016, 50, 188–196. [Google Scholar] [CrossRef] [PubMed]
- Salgia, R.; Weaver, R.W.; McCleod, M.; Stille, J.R.; Yan, S.B.; Roberson, S.; Polzer, J.; Flynt, A.; Raddad, E.; Peek, V.L.; et al. Prognostic and predictive value of circulating tumor cells and CXCR4 expression as biomarkers for a CXCR4 peptide antagonist in combination with carboplatin-etoposide in small cell lung cancer: Exploratory analysis of a phase II study. Investig. New Drugs 2017, 35, 334–344. [Google Scholar] [CrossRef] [PubMed]
- Rothschild, S.I. Epigenetic Therapy in Lung Cancer—Role of microRNAs. Front. Oncol. 2013, 3, 158. [Google Scholar] [CrossRef]
- Maestu, I.; Pastor, M.; Gómez-Codina, J.; Aparicio, J.; Oltra, A.; Herranz, C.; Montalar, J.; Munárriz, B.; Reynés, G. Pretreatment prognostic factors for survival in small-cell lung cancer: A new prognostic index and validation of three known prognostic indices on 341 patients. Ann. Oncol. 1997, 8, 547–553. [Google Scholar] [CrossRef]
- Cerny, T.; Anderson, H.; Bramwell, V.; Thatcher, N.; Blair, V. Pretreatment prognostic factors and scoring system in 407 small-cell lung cancer patients. Int. J. Cancer 1987, 39, 146–149. [Google Scholar] [CrossRef]
- Zhou, T.; Zhao, Y.; Zhao, S.; Yang, Y.; Huang, Y.; Hou, X.; Zhao, H.; Zhang, L. Comparison of the Prognostic Value of Systemic Inflammation Response Markers in Small Cell Lung Cancer Patients. J. Cancer 2019, 10, 1685–1692. [Google Scholar] [CrossRef]
- Winther-Larsen, A.; Aggerholm-Pedersen, N.; Sandfeld-Paulsen, B. Inflammation scores as prognostic biomarkers in small cell lung cancer: A systematic review and meta-analysis. Syst. Rev. 2021, 10, 1–14. [Google Scholar] [CrossRef]
- Lu, Y.; Jiang, J.; Ren, C. The clinicopathological and prognostic value of the pretreatment neutrophil-to-lymphocyte ratio in small cell lung cancer: A meta-analysis. PLoS ONE 2020, 15, e0230979. [Google Scholar] [CrossRef]
- Goldstraw, P.; Crowley, J.; Chansky, K.; Giroux, D.J.; Groome, P.A.; Rami-Porta, R.; Postmus, P.E.; Rusch, V.; Sobin, L.; International Association for the Study of Lung Cancer International Staging Committee and Participating Institutions. The IASLC Lung Cancer Staging Project: Proposals for the Revision of the TNM Stage Groupings in the Forthcoming (Seventh) Edition of the TNM Classification of Malignant Tumours. J. Thorac. Oncol. 2007, 2, 706–714. [Google Scholar] [CrossRef]
- Stahel, R.A.; Ginsberg, R.; Havemann, K.; Hirsch, F.R.; Ihde, D.C.; Jassem, J.; Karrer, K.; Maurer, L.H.; Osterlind, K.; Van Houtte, P. Staging and prognostic factors in small cell lung cancer: A consensus report. Lung Cancer 1989, 5, 119–126. [Google Scholar] [CrossRef]
- Therasse, P.; Arbuck, S.G.; Eisenhauer, E.A.; Wanders, J.; Kaplan, R.S.; Rubinstein, L.; Verweij, J.; Van Glabbeke, M.; Van Oosterom, A.T.; Christian, M.C.; et al. New Guidelines to Evaluate the Response to Treatment in Solid Tumors. JNCI J. Natl. Cancer Inst. 2000, 92, 205–216. [Google Scholar] [CrossRef] [PubMed]
- He, X.; Zhou, T.; Yang, Y.; Hong, S.; Zhan, J.; Hu, Z.; Fang, W.; Qin, T.; Ma, Y.; Zhao, Y.; et al. Advanced Lung Cancer Inflammation Index, a New Prognostic Score, Predicts Outcome in Patients with Small-Cell Lung Cancer. Clin. Lung Cancer 2015, 16, e165–e171. [Google Scholar] [CrossRef]
- Kurishima, K.; Watanabe, H.; Ishikawa, H.; Satoh, H.; Hizawa, N. Modified glasgow prognostic score in patients with small-cell lung cancer. Mol. Clin. Oncol. 2017, 7, 121–124. [Google Scholar] [CrossRef]
- Souhami, R.L.; Bradbury, I.; Geddes, D.M.; Spiro, S.G.; Harper, P.G.; Tobias, J.S. Prognostic significance of laboratory parameters measured at diagnosis in small cell carcinoma of the lung. Lung Cancer 1986, 2, 220. [Google Scholar] [CrossRef]
- Kang, M.H.; Go, S.-I.; Song, H.-N.; Lee, A.; Kim, S.-H.; Kang, J.-H.; Jeong, B.-K.; Kang, K.M.; Ling, H.; Lee, G.-W. The prognostic impact of the neutrophil-to-lymphocyte ratio in patients with small-cell lung cancer. Br. J. Cancer 2014, 111, 452–460. [Google Scholar] [CrossRef]
- Hong, S.; Zhou, T.; Fang, W.; Xue, C.; Hu, Z.; Qin, T.; Tang, Y.; Chen, Y.; Ma, Y.; Yang, Y.; et al. The prognostic nutritional index (PNI) predicts overall survival of small-cell lung cancer patients. Tumor Biol. 2014, 36, 3389–3397. [Google Scholar] [CrossRef]
- Li, J.; Dai, C.-H.; Chen, P.; Wu, J.-N.; Bao, Q.-L.; Qiu, H.; Li, X.-Q. Survival and prognostic factors in small cell lung cancer. Med. Oncol. 2009, 27, 73–81. [Google Scholar] [CrossRef]
- Spiegelman, D.; Maurer, L.H.; Ware, J.H.; Perry, M.C.; Chahinian, A.P.; Comis, R.; Eaton, W.; Zimmer, B.; Green, M. Prognostic factors in small-cell carcinoma of the lung: An analysis of 1521 patients. J. Clin. Oncol. 1989, 7, 344–354. [Google Scholar] [CrossRef]
- Singh, S.; Parulekar, W.; Murray, N.; Feld, R.; Evans, W.K.; Tu, D.; Shepherd, F.A. Influence of Sex on Toxicity and Treatment Outcome in Small-Cell Lung Cancer. J. Clin. Oncol. 2005, 23, 850–856. [Google Scholar] [CrossRef] [PubMed]
- Moser, S.; Bar, J.; Kan, I.; Ofek, K.; Cohen, R.; Khandelwal, N.; Shalev, V.; Chodick, G.; Siegelmann-Danieli, N. Real World Analysis of Small Cell Lung Cancer Patients: Prognostic Factors and Treatment Outcomes. Curr. Oncol. 2021, 28, 317–331. [Google Scholar] [CrossRef] [PubMed]
- Mantovani, A.; Allavena, P.; Sica, A.; Balkwill, F. Cancer-related inflammation. Nature 2008, 454, 436–444. [Google Scholar] [CrossRef]
- Allin, K.H.; Nordestgaard, B.G. Elevated C-reactive protein in the diagnosis, prognosis, and cause of cancer. Crit. Rev. Clin. Lab. Sci. 2011, 48, 155–170. [Google Scholar] [CrossRef] [PubMed]
- McMillan, D. The systemic inflammation-based Glasgow Prognostic Score: A decade of experience in patients with cancer. Cancer Treat. Rev. 2013, 39, 534–540. [Google Scholar] [CrossRef]
- Proctor, M.J.; McMillan, D.C.; Morrison, D.S.; Fletcher, C.D.; Horgan, P.G.; Clarke, S.J. A derived neutrophil to lymphocyte ratio predicts survival in patients with cancer. Br. J. Cancer 2012, 107, 695–699. [Google Scholar] [CrossRef]
- Bernhardt, D.; Aufderstrasse, S.; König, L.; Adeberg, S.; Bozorgmehr, F.; Christopoulos, P.; A El Shafie, R.; Hörner-Rieber, J.; Kappes, J.; Thomas, M.; et al. Impact of inflammatory markers on survival in patients with limited disease small-cell lung cancer undergoing chemoradiotherapy. Cancer Manag. Res. 2018, 10, 6563–6569. [Google Scholar] [CrossRef]
- Wang, X.; Jiang, R.; Li, K. Prognostic Significance of Pretreatment Laboratory Parameters in Combined Small-Cell Lung Cancer. Cell Biophys. 2014, 69, 633–640. [Google Scholar] [CrossRef]
- Xie, D.; Marks, R.; Zhang, M.; Jiang, G.; Jatoi, A.; Garces, Y.I.; Mansfield, A.; Molina, J.; Yang, P. Nomograms Predict Overall Survival for Patients with Small-Cell Lung Cancer Incorporating Pretreatment Peripheral Blood Markers. J. Thorac. Oncol. 2015, 10, 1213–1220. [Google Scholar] [CrossRef]
- Minami, S.; Ogata, Y.; Ihara, S.; Yamamoto, S.; Komuta, K. Pretreatment Glasgow prognostic score and prognostic nutritional index predict overall survival of patients with advanced small cell lung cancer. Lung Cancer Targets Ther. 2017, 8, 249–257. [Google Scholar] [CrossRef]
- Sonehara, K.; Tateishi, K.; Komatsu, M.; Yamamoto, H.; Hanaoka, M.; Kanda, S.; Koizumi, T. Modified Glasgow Prognostic Score as a Prognostic Factor in Patients with Extensive Disease-Small-Cell Lung Cancer: A Retrospective Study in a Single Institute. Chemotherapy 2019, 64, 129–137. [Google Scholar] [CrossRef] [PubMed]
- Zhou, T.; Hong, S.; Wenhua, L.; Hou, X.; Huang, Y.; Zhao, H.; Liang, W.; Zhao, Y.; Fang, W.; Wu, X.; et al. A systemic inflammation-based prognostic scores (mGPS) predicts overall survival of patients with small-cell lung cancer. Tumor Biol. 2014, 36, 337–343. [Google Scholar] [CrossRef] [PubMed]
- Gioulbasanis, I.; Pallis, A.; Vlachostergios, P.J.; Xyrafas, A.; Giannousi, Z.; Perdikouri, I.-E.; Makridou, M.; Kakalou, D.; Georgoulias, V. The Glasgow Prognostic Score (GPS) predicts toxicity and efficacy in platinum-based treated patients with metastatic lung cancer. Lung Cancer 2012, 77, 383–388. [Google Scholar] [CrossRef] [PubMed]
- Tendler, S.; Zhan, Y.; Pettersson, A.; Lewensohn, R.; Viktorsson, K.; Fang, F.; De Petris, L. Treatment patterns and survival outcomes for small-cell lung cancer patients—A Swedish single center cohort study. Acta Oncol. 2020, 59, 388–394. [Google Scholar] [CrossRef] [PubMed]
- Schmid, S.; Mauti, L.A.; Friedlaender, A.; Blum, V.; Rothschild, S.I.; Bouchaab, H.; Frösch, P.; Britschgi, C.; König, D.; Wannesson, L.; et al. Outcomes with immune checkpoint inhibitors for relapsed small-cell lung cancer in a Swiss cohort. Cancer Immunol. Immunother. 2020, 69, 1605–1613. [Google Scholar] [CrossRef]




| Variable | Categories | No. of Patients | MST (Month) | χ2 | p-Value (Logrank) |
|---|---|---|---|---|---|
| Age (n = 87) | |||||
| <65 years | 50 | 9.429 | 0.083 | 0.774 | |
| ≥65 years | 37 | 10.349 | |||
| Gender (n = 87) | |||||
| Male | 57 | 10.349 | 3.504 | 0.061 | |
| Female | 30 | 10.251 | |||
| Smoking (n = 82) | |||||
| <50 pack years | 41 | 9.429 | 0.151 | 0.698 | |
| ≥50 pack years | 41 | 11.006 | |||
| Staging (n = 87) | |||||
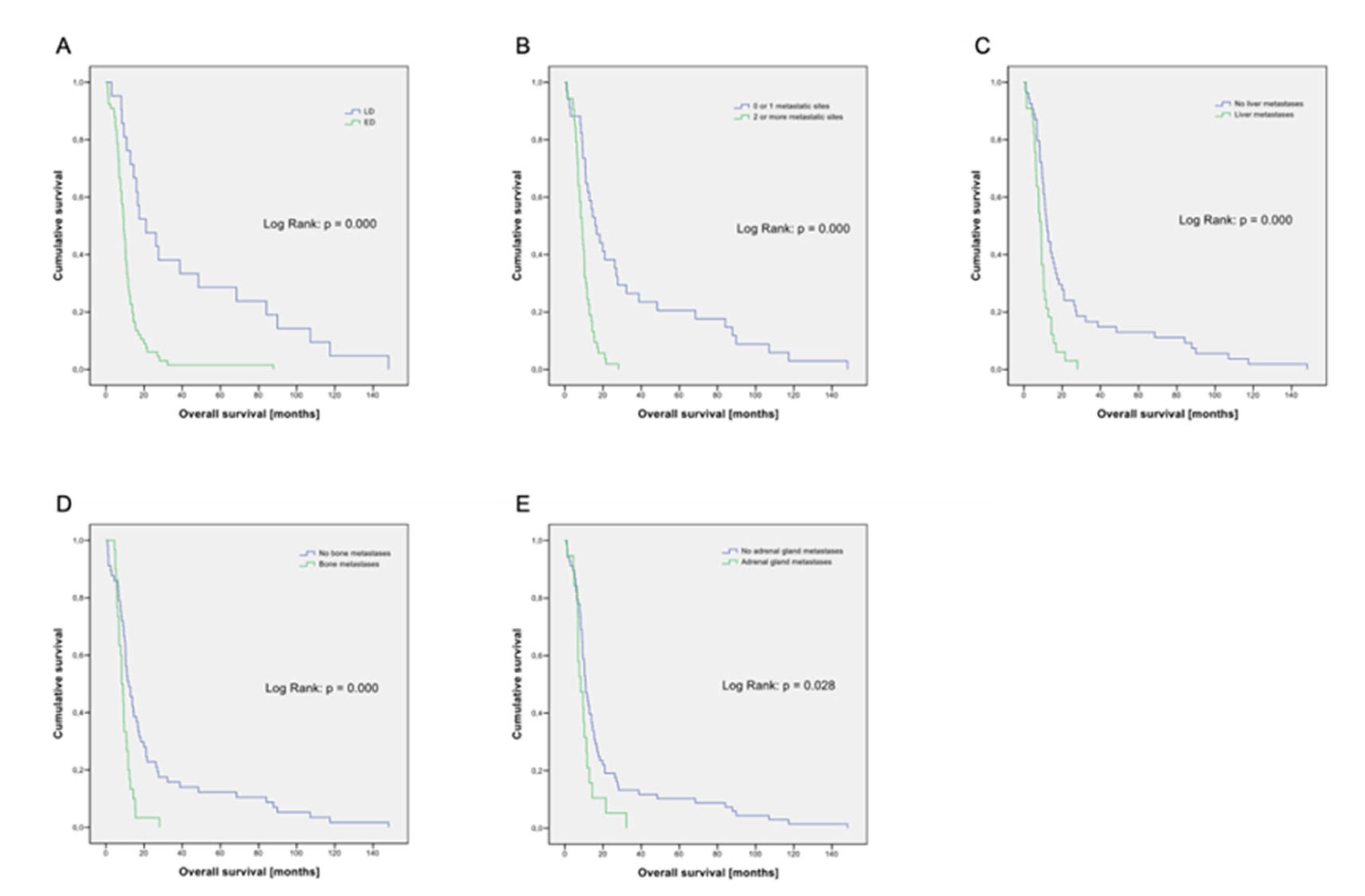
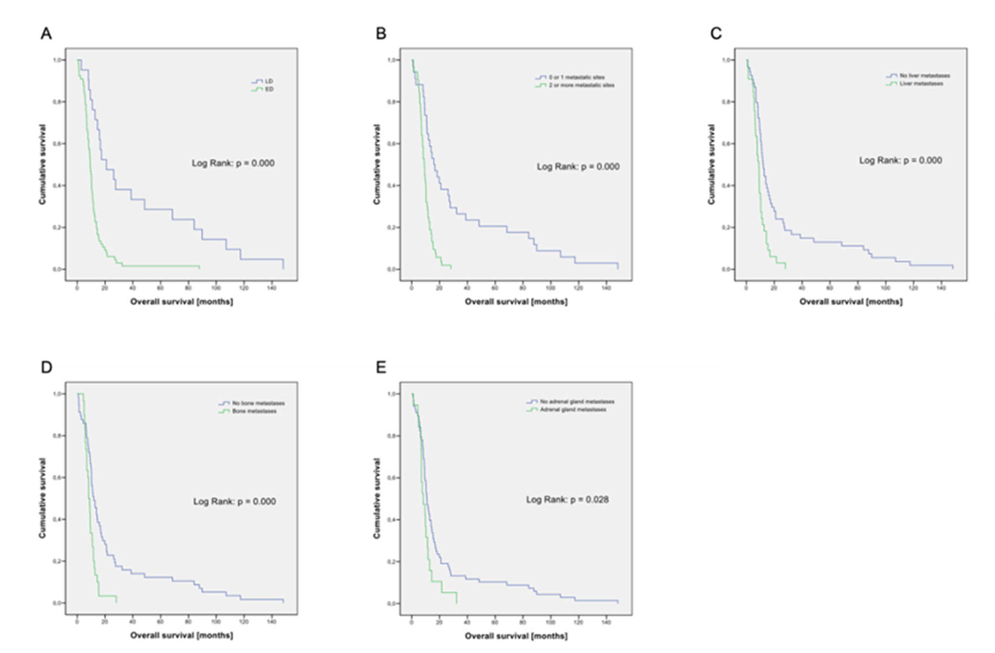
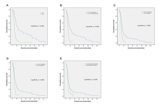
| LD | 21 | 20.928 | 20.924 | <0.001 | |
| ED | 66 | 9.232 | |||
| ECOG performance status (n = 48) | |||||
| 0 + 1 | 39 | 10.251 | 2.621 | 0.105 | |
| 2 + 3 | 9 | 8.936 | |||
| Weight (n = 63) | |||||
| Normal weight (BMI ≥ 18.5 kg/m2) | 56 | 10.382 | 0.134 | 0.714 | |
| Underweight (BMI < 18.5 kg/m2) | 7 | 9.528 | |||
| Weight loss during first-line therapy (n = 55) | |||||
| <5% | 47 | 11.006 | 1.362 | 0.243 | |
| ≥5% | 8 | 10.382 | |||
| No. of metastatic sites (n = 87) | |||||
| 0 + 1 | 34 | 16.000 | 23.208 | <0.001 | |
| ≥2 | 53 | 9.068 | |||
| Liver metastases (n = 87) | |||||
| No | 54 | 11.959 | 13.361 | <0.001 | |
| Yes | 33 | 8.936 | |||
| Brain metastases (n = 87) | |||||
| No | 70 | 10.908 | 3.363 | 0.067 | |
| Yes | 17 | 10.119 | |||
| Bone metastases (n = 87) | |||||
| No | 57 | 11.959 | 12.439 | <0.001 | |
| Yes | 30 | 8.312 | |||
| Adrenal gland metastases (n = 87) | |||||
| No | 68 | 10.908 | 4.798 | 0.028 | |
| Yes | 19 | 8.279 | |||
| Pleural effusion (n = 87) | |||||
| No | 67 | 10.251 | 0.824 | 0.364 | |
| Yes | 20 | 10.349 | |||
| Variable | Categories | No. of Patients | MST (Month) | χ2 | p-Value (Logrank) |
|---|---|---|---|---|---|
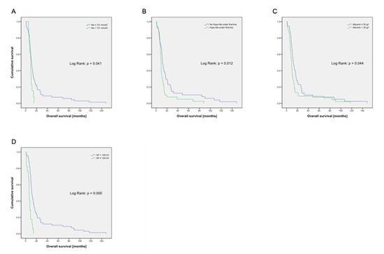
| Serum Na at baseline (n = 79) | |||||
| ≥131 mmol/L | 66 | 10.908 | 4.180 | 0.041 | |
| <131 mmol/L | 13 | 9.232 | |||
| Hyponatremia under first-line therapy (n = 87) | |||||
| ≥131 mmol/L | 48 | 11.630 | 6.342 | 0.012 | |
| <131 mmol/L | 39 | 9.232 | |||
| Serum Ca under first-line therapy (n = 78) | |||||
| ≤2.65 mmol/L | 71 | 10.710 | 0.080 | 0.778 | |
| >2.65 mmol/L | 7 | 6.867 | |||
| Hypercalcemia at anytime during disease (n = 78) | |||||
| ≤2.65 mmol/L | 67 | 10.710 | 0.143 | 0.706 | |
| >2.65 mmol/L | 11 | 7.786 | |||
| Serum Albumin (n = 84) | |||||
| ≥35 g/L | 39 | 12.287 | 4.053 | 0.044 | |
| <35 g/L | 45 | 9.232 | |||
| Serum AP (n = 84) | |||||
| <129 U/L | 67 | 11.368 | 22.322 | <0.001 | |
| ≥129 U/L | 17 | 6.472 | |||
| Serum LDH (n = 76) | |||||
| ≤225 U/L | 36 | 12.287 | 3.334 | 0.068 | |
| >225 U/L | 40 | 9.068 | |||
| Serum Bicarbonate (n = 53) | |||||
| 21–26 mmol/Lduring therapy 1 | 27 | 10.908 | 3.985 | 0.136 | |
| <21 mmol/L during therapy 1 | 9 | 9.429 | |||
| >26 mmol/Lduring therapy 1 | 17 | 9.528 | |||
| CRP (n = 87) | |||||
| <10.0 mg/L | 36 | 10.710 | 1.643 | 0.200 | |
| ≥10.0 mg/L | 51 | 10.185 | |||
| Neutrophiles (n = 80) | |||||
| ≤6.700 × 109/L | 48 | 11.368 | 0.504 | 0.478 | |
| >6.700 × 109/L | 32 | 10.119 | |||
| Leucocytes (n = 86) | |||||
| ≤10.00 × 109/L | 56 | 10.908 | 1.243 | 0.265 | |
| >10.00 × 109/L | 30 | 9.528 | |||
| Variable | Categories | No. of Patients | MST (Month) | χ2 | p-Value (Logrank) |
|---|---|---|---|---|---|
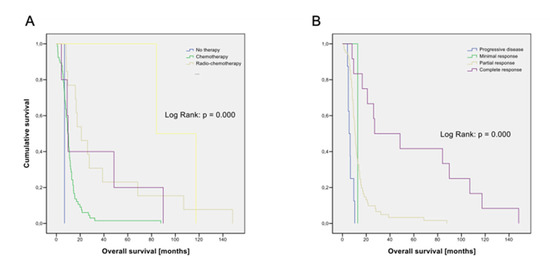
| First-line treatment (n = 87) | |||||
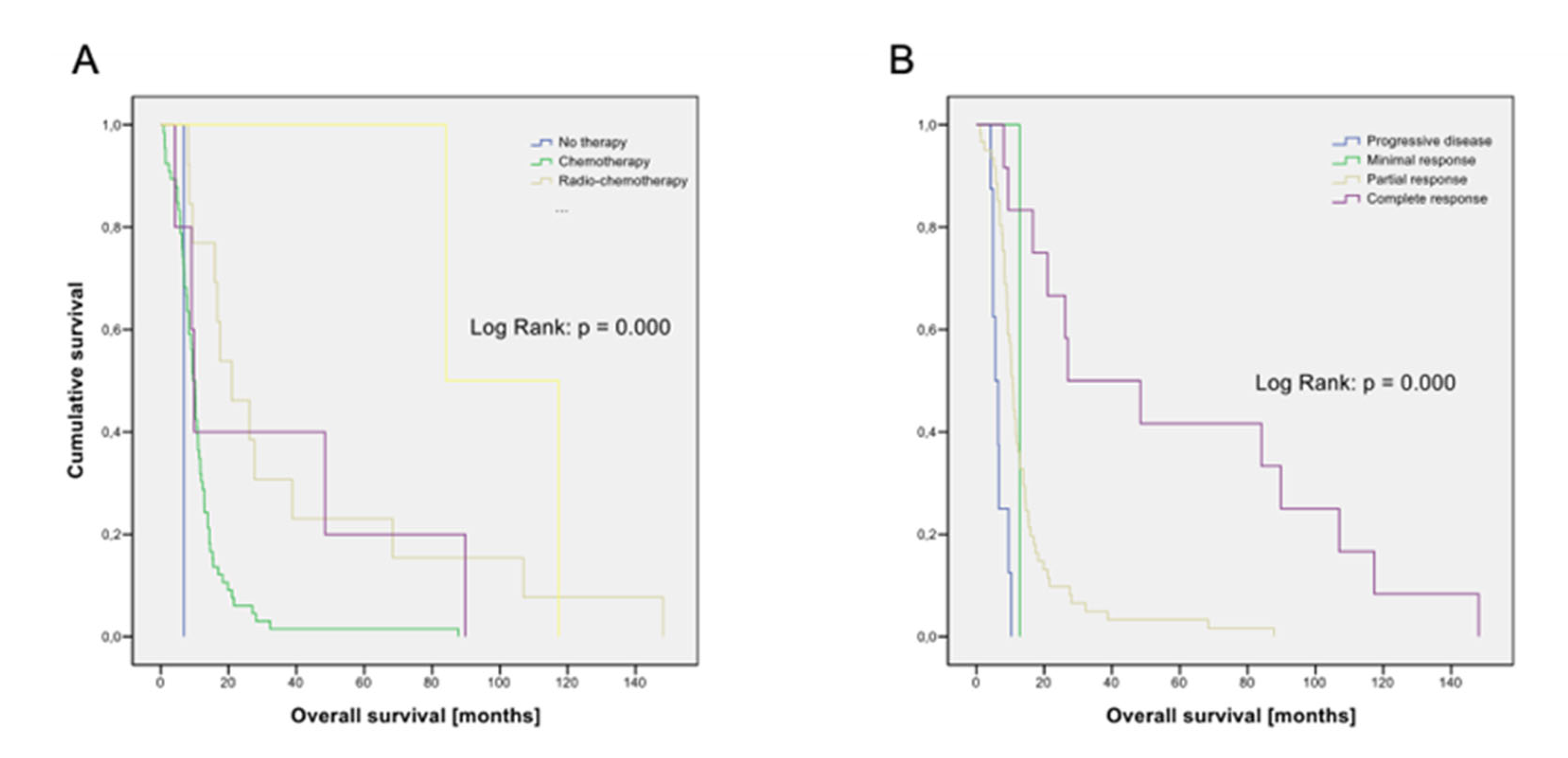
| No Therapy | 1 | 6.867 | 22.241 | <0.001 | |
| Chemotherapy | 66 | 9.528 | |||
| Radio-chemotherapy | 13 | 20.928 | |||
| Surgery and chemotherapy | 5 | 9.856 | |||
| Surgery and radio-chemotherapy | 2 | 84.074 | |||
| No. of days till first response (n = 68) | |||||
| <50 days | 54 | 11.368 | 0.172 | 0.678 | |
| ≥50 days | 14 | 11.006 | |||
| Response to initial chemotherapy (n = 82) | |||||
| Complete response | 12 | 26.973 | 37.185 | <0.001 | |
| Partial response | 61 | 10.710 | |||
| Minimal response | 1 | 12.780 | |||
| Progressive disease | 8 | 5.585 | |||
| Prophylactic cranial irradiation (n = 87) | |||||
| Yes | 15 | 9.429 | 0.910 | 0.340 | |
| No | 72 | 10.349 | |||
| Prophylactic cranial irradiation in patients with ED (n = 66) | |||||
| Yes | 7 | 26.973 | 3.221 | 0.073 | |
| No | 59 | 10.382 | |||
| Prophylactic cranial irradiation in patients with LD (n = 21) | |||||
| Yes | 8 | 17.413 | 1.356 | 0.244 | |
| No | 13 | 48.394 | |||
| Second-line chemotherapy (n = 87) | |||||
| Yes | 40 | 11.959 | 0.032 | 0.858 | |
| No | 47 | 8.936 | |||
| Second-line chemotherapy out of the patients who had a relapse (n = 64) | |||||
| Yes | 40 | 11.959 | 2.166 | 0.141 | |
| No | 24 | 9.035 | |||
| Prognostic Index with Categories | No. of Patients | MST | χ2 | p-Value (Logrank) | |
|---|---|---|---|---|---|
| ALI (n = 50) BMI × Serum Albumin/Neutrophil-Lymphocyte ratio | |||||
| ≥19.5 | 30 | 11.039 | 0.657 | 0.418 | |
| <19.5 | 20 | 9.856 | |||
| GPS (n = 84) One point for CRP > 10 mg/L or Albumin < 35 g/L | |||||
| 0 | 22 | 13.930 | 6.227 | 0.044 | |
| 1 | 29 | 9.856 | |||
| 2 | 33 | 9.232 | |||
| mGPS (n = 84) Like GPS, but 1 point only if CRP > 10 mg/L | |||||
| 0 | 34 | 10.710 | 1.540 | 0.463 | |
| 1 | 17 | 11.630 | |||
| 2 | 33 | 9.232 | |||
| London Group (n = 56) | |||||
Good prognosis
| 7 | 12.287 | 2.470 | 0.291 | |
| Intermediate prognosis | 17 | 10.185 | |||
Poor prognosis:
| 32 | 9.232 | |||
| London Group with actualised boundary values (n = 48) | |||||
Good prognosis
| 11 | 16.657 | 5.538 | 0.063 | |
| Intermediate prognosis | 26 | 9.265 | |||
Poor prognosis:
| 11 | 7.786 | |||
| Manchester scoring system (n = 33) 1 point per item:
| |||||
| Good prognosis: 0 + 1 points | 12 | 12.846 | 9.687 | 0.008 | |
| Intermediate prognosis: 2 + 3 points | 16 | 6.637 | |||
| Poor prognosis: ≥4 points | 5 | 5.749 | |||
| Manchester scoring system with actualised threshold values (n = 41) | |||||
1 point per item:
| |||||
| Good prognosis: 0 + 1 points | 9 | 16.657 | 8.828 | 0.012 | |
| Intermediate prognosis: 2 + 3 points | 27 | 8.936 | |||
| Poor prognosis: ≥4 points | 5 | 7.786 | |||
| Neutrophil-lymphocyte rate (n = 68) | |||||
| Low (<4) | 37 | 11.039 | 0.182 | 0.670 | |
| High (≥4) | 31 | 10.382 | |||
| New prognostic index (n = 42) 1 point per item:
| |||||
| Good prognosis: 0 + 1 points | 8 | 12.287 | 4.846 | 0.089 | |
| Intermediate prognosis: 2 + 3 points | 23 | 10.185 | |||
| Poor prognosis: 4 + 5 points | 11 | 6.472 | |||
| PNI (n = 70) 10 × Albumin g/dL + 0.005 × Lymphocytes/mm3 | |||||
| <52.48 | 60 | 10.710 | 3.616 | 0.057 | |
| ≥52.48 | 6 | 15.310 | |||
| Variable and Categories | Survival < 2 Years | Survival ≥ 2 Years | p-Value (χ2 Test) |
|---|---|---|---|
| Age (n = 88) | |||
| <65 years | 42 | 9 | 0.860 |
| ≥65 years | 31 | 6 | |
| Gender (n = 88) | |||
| Male | 51 | 7 | 0.084 |
| Female | 22 | 8 | |
| Smoking (n = 83) | |||
| <50 pack years | 35 | 7 | 0.779 |
| ≥50 pack years | 35 | 6 | |
| Staging (n = 88) | |||
| LD | 11 | 11 | <0.001 |
| ED | 62 | 4 | |
| ECOG performance status (n = 49) | |||
| 0 + 1 | 32 | 8 | 0.142 |
| 2 + 3 | 9 | 0 | |
| Weight (n = 64) | |||
| Normal weight (BMI ≥ 18.5 kg/m2) | 46 | 11 | 0.748 |
| Underweight (BMI < 18.5 kg/m2) | 6 | 1 | |
| Weight loss during first-line therapy (n = 56) | |||
| <5% | 36 | 12 | 0.111 |
| ≥5% | 8 | 0 | |
| No. of metastatic sites (n = 88) | |||
| 0+1 | 21 | 14 | <0.001 |
| ≥2 | 52 | 1 | |
| Liver metastases (n = 88) | |||
| No | 41 | 14 | 0.007 |
| Yes | 32 | 1 | |
| Brain metastases (n = 88) | |||
| No | 56 | 15 | 0.037 |
| Yes | 17 | 0 | |
| Bone metastases (n = 88) | |||
| No | 44 | 14 | 0.014 |
| Yes | 29 | 1 | |
| Adrenal gland metastases(n = 88) | |||
| No | 55 | 14 | 0.123 |
| Yes | 18 | 1 | |
| Pleural effusion (n = 88) | |||
| No | 54 | 14 | 0.103 |
| Yes | 19 | 1 | |
| Variable and Categories | Survival < 2 Years | Survival ≥ 2 Years | p-Value (χ2 Test) |
|---|---|---|---|
| Serum Na at baseline (n = 80) | |||
| ≥131 mmol/L | 55 | 12 | 0.098 |
| <131 mmol/L | 13 | 0 | |
| Hyponatremia under first-line therapy (n = 88) | |||
| ≥131 mmol/L | 37 | 12 | 0.037 |
| <131 mmol/L | 36 | 3 | |
| Serum Ca under first-line therapy (n = 79) | |||
| ≤2.65 mmol/L | 62 | 9 | 0.064 |
| >2.65 mmol/L | 5 | 3 | |
| Hypercalcemia at anytime during disease (n = 79) | |||
| ≤2.65 mmol/L | 58 | 9 | 0.304 |
| >2.65 mmol/L | 9 | 3 | |
| Serum Albumin (n = 85) | |||
| ≥35 g/L | 30 | 10 | 0.046 |
| <35 g/L | 41 | 4 | |
| Serum AP (n = 85) | |||
| <129 U/L | 54 | 14 | 0.041 |
| ≥129 U/L | 17 | 0 | |
| Serum LDH (n = 76) | |||
| ≤225 U/l | 28 | 8 | 0.145 |
| >225 U/l | 36 | 4 | |
| Serum Bicarbonate (n = 53) | |||
| 21–26 mmol/L during therapy 1 | 22 | 5 | 0.474 |
| <21 mmol/L during therapy 1 | 8 | 1 | |
| >26 mmol/L | 16 | 1 | |
| CRP (n = 88) | |||
| <10.0 mg/L | 28 | 9 | 0.122 |
| ≥10.0 mg/L | 45 | 6 | |
| Neutrophil (n = 81) | |||
| ≤6.700 × 109/L | 39 | 10 | 0.588 |
| >6.700 × 109/L | 27 | 5 | |
| Leucocytes (n = 87) | |||
| ≤10.00 × 109/L | 46 | 11 | 0.484 |
| >10.00 × 109/L | 26 | 4 | |
| Variable and Categories | Survival < 2 Years | Survival > 2 Years | p-Value (χ2 Test) |
|---|---|---|---|
| First-line treatment (n = 88) | |||
| No Therapy | 1 | 0 | <0.001 |
| Chemotherapy | 62 | 4 | |
| Radio-chemotherapy | 7 | 7 | |
| Surgery and chemotherapy | 3 | 2 | |
| Surgery and radio-chemotherapy | 0 | 2 | |
| No. of days till first response (n = 69) | |||
| <50 days | 43 | 12 | 0.210 |
| ≥50 days | 13 | 1 | |
| Response to initial chemotherapy (n = 83) | |||
| Complete response | 4 | 9 | <0.001 |
| Partial response | 55 | 6 | |
| Minimal response | 1 | 0 | |
| Progressive disease | 8 | 0 | |
| Prophylactic cranial irradiation (n = 88) | |||
| Yes | 62 | 10 | 0.095 |
| No | 11 | 5 | |
| Prophylactic cranial irradiation in patients with ED (n = 66) | |||
| Yes | 56 | 3 | 0.335 |
| No | 6 | 1 | |
| Prophylactic cranial irradiation in patients with LD (n = 22) | |||
| Yes | 6 | 7 | 0.665 |
| No | 5 | 4 | |
| Second-line chemotherapy (n = 88) | |||
| Yes | 35 | 5 | 0.301 |
| No | 38 | 10 | |
| Second-line chemotherapy out of the patients who had a relapse (n = 64) | |||
| Yes | 35 | 5 | 0.605 |
| No | 22 | 2 | |
| Variable and Categories | Relative Risk | 95% CI | p-Value |
|---|---|---|---|
| Age | |||
| <65 vs. ≥65 years | 2.103 | 1.135–3.898 | 0.018 |
| Gender | |||
| Male vs. female | 0.785 | 0.408–1.512 | 0.470 |
| Smoking, py | |||
| <50 vs. ≥50 pack years | 0.923 | 0.515–1.655 | 0.789 |
| Staging | |||
| LD vs. ED | 2.684 | 1.153–6.251 | 0.022 |
| No. of metastases | |||
| (0 + 1) vs. (≥2) | 1.332 | 0.628–2.824 | 0.455 |
| Hyponatremia under first-line therapy | |||
| No vs. Yes | 0.913 | 0.411–2.028 | 0.823 |
| Albumin < 35 g/L | |||
| No vs. Yes | 1.598 | 0.898–2.841 | 0.111 |
| AP > 129 U/L | |||
| No vs. Yes | 3.311 | 1.471–7.452 | 0.004 |
| LDH > 225 U/L | |||
| No vs. Yes | 0.829 | 0.474–1.452 | 0.512 |
Publisher’s Note: MDPI stays neutral with regard to jurisdictional claims in published maps and institutional affiliations. |
© 2022 by the authors. Licensee MDPI, Basel, Switzerland. This article is an open access article distributed under the terms and conditions of the Creative Commons Attribution (CC BY) license (https://creativecommons.org/licenses/by/4.0/).
Share and Cite
Hagmann, R.; Zippelius, A.; Rothschild, S.I. Validation of Pretreatment Prognostic Factors and Prognostic Staging Systems for Small Cell Lung Cancer in a Real-World Data Set. Cancers 2022, 14, 2625. https://doi.org/10.3390/cancers14112625
Hagmann R, Zippelius A, Rothschild SI. Validation of Pretreatment Prognostic Factors and Prognostic Staging Systems for Small Cell Lung Cancer in a Real-World Data Set. Cancers. 2022; 14(11):2625. https://doi.org/10.3390/cancers14112625
Chicago/Turabian StyleHagmann, Raphael, Alfred Zippelius, and Sacha I. Rothschild. 2022. "Validation of Pretreatment Prognostic Factors and Prognostic Staging Systems for Small Cell Lung Cancer in a Real-World Data Set" Cancers 14, no. 11: 2625. https://doi.org/10.3390/cancers14112625
APA StyleHagmann, R., Zippelius, A., & Rothschild, S. I. (2022). Validation of Pretreatment Prognostic Factors and Prognostic Staging Systems for Small Cell Lung Cancer in a Real-World Data Set. Cancers, 14(11), 2625. https://doi.org/10.3390/cancers14112625

