FLT3-ITD in Children with Early T-cell Precursor (ETP) Acute Lymphoblastic Leukemia: Incidence and Potential Target for Monitoring Minimal Residual Disease (MRD)
Abstract
Simple Summary
Abstract
1. Introduction
2. Materials and Methods
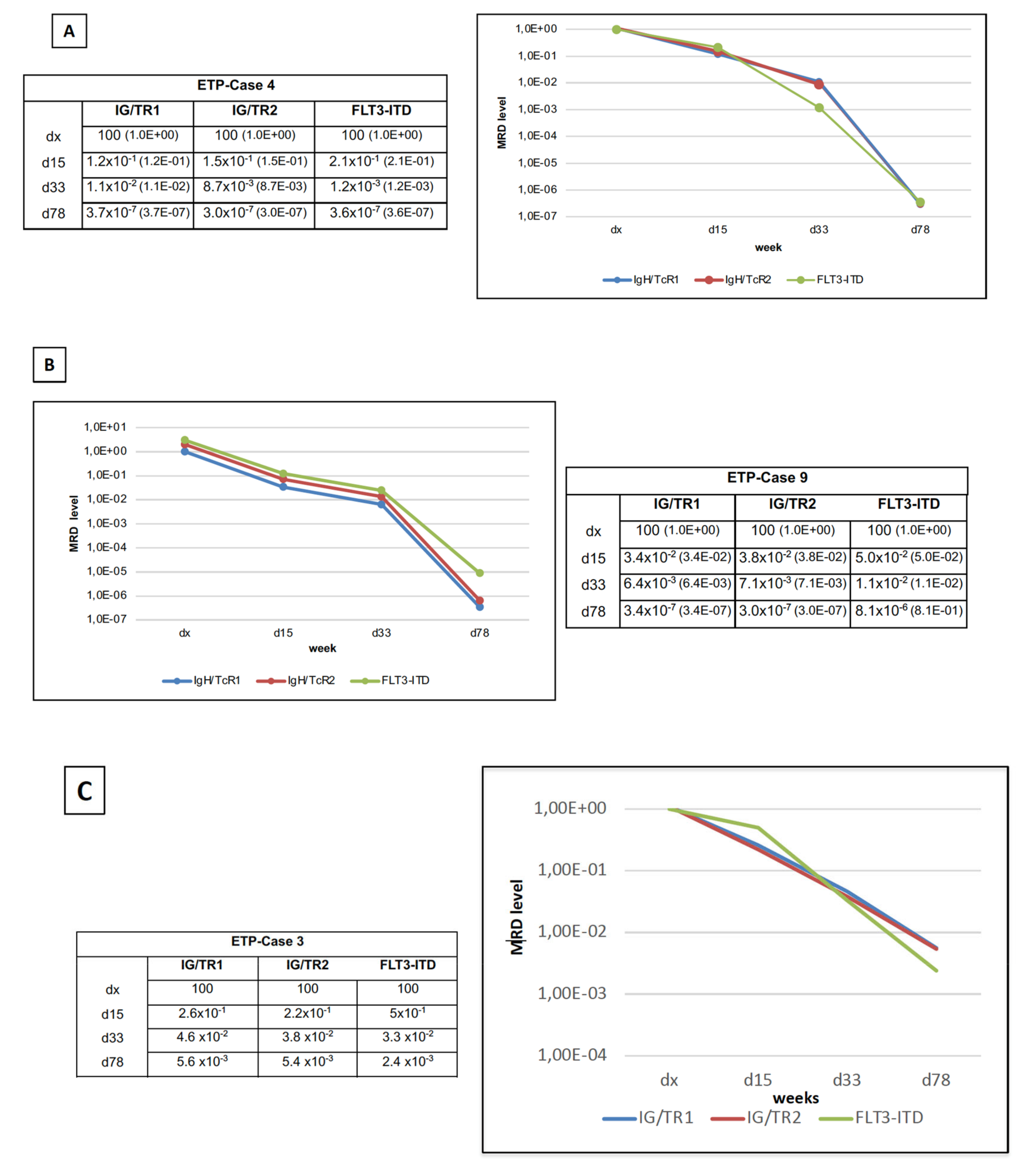
3. Results
4. Discussion
5. Conclusions
Supplementary Materials
Author Contributions
Funding
Institutional Review Board Statement
Informed Consent Statement
Acknowledgments
Conflicts of Interest
References
- Bhojwani, D.; Yang, J.J.; Pui, C.-H. Biology of Childhood Acute Lymphoblastic Leukemia. Pediatr. Clin. N. Am. 2014, 62, 47–60. [Google Scholar] [CrossRef] [PubMed]
- Lato, M.; Przysucha, A.; Grosman, S.; Zawitkowska, J.; Lejman, M. The New Therapeutic Strategies in Pediatric T-Cell Acute Lymphoblastic Leukemia. Int. J. Mol. Sci. 2021, 22, 4502. [Google Scholar] [CrossRef] [PubMed]
- Karrman, K.; Johansson, B. Pediatric T-cell acute lymphoblastic leukemia. Genes Chromosom. Cancer 2016, 56, 89–116. [Google Scholar] [CrossRef] [PubMed]
- Raetz, E.A.; Teachey, D.T. T-cell acute lymphoblastic leukemia. Hematol. Am. Soc. Hematol. Educ. Program. 2016, 2016, 580–588. [Google Scholar] [CrossRef]
- Inaba, H.; Pui, C.-H. Advances in the diagnosis and treatment of pediatric acute lymphoblastic leukemia. J. Clin. Med. 2021, 10, 1926. [Google Scholar] [CrossRef]
- Mroczek, A.; Zawitkowska, J.; Kowalczyk, J.; Lejman, M. Comprehensive Overview of Gene Rearrangements in Childhood T-Cell Acute Lymphoblastic Leukemia. Int. J. Mol. Sci. 2021, 22, 808. [Google Scholar] [CrossRef]
- Coustan-Smith, E.; Mullighan, C.G.; Onciu, M.; Behm, F.G.; Raimondi, S.C.; Pei, D.; Cheng, C.; Su, X.; Rubnitz, J.E.; Basso, G.; et al. Early T-cell precursor leukaemia: A subtype of very high-risk acute lymphoblastic leukaemia. Lancet Oncol. 2009, 10, 147–156. [Google Scholar] [CrossRef]
- Zhang, J.; Ding, L.; Holmfeldt, L.; Wu, G.; Heatley, S.L.; Payne-Turner, D.; Easton, J.; Chen, X.; Wang, J.; Rusch, M.; et al. The genetic basis of early T-cell precursor acute lymphoblastic leukaemia. Nature 2012, 481, 157–163. [Google Scholar] [CrossRef]
- Ferrando, A. Can one target T-cell ALL? Best Pr. Res. Clin. Haematol. 2018, 31, 361–366. [Google Scholar] [CrossRef]
- Inukai, T.; Kiyokawa, N.; Campana, D.; Coustan-Smith, E.; Kikuchi, A.; Kobayashi, M.; Takahashi, H.; Koh, K.; Manabe, A.; Kumagai, M.; et al. Clinical significance of early T-cell precursor acute lymphoblastic leukaemia: Results of the Tokyo Children’s Cancer Study Group Study L99-15. Br. J. Haematol. 2011, 156, 358–365. [Google Scholar] [CrossRef]
- Patrick, K.; Wade, R.; Goulden, N.; Mitchell, C.; Moorman, A.; Rowntree, C.; Jenkinson, S.; Hough, R.; Vora, A. Outcome for children and young people with Early T-cell precursor acute lymphoblastic leukaemia treated on a contemporary protocol, UKALL 2003. Br. J. Haematol. 2014, 166, 421–424. [Google Scholar] [CrossRef]
- Conter, V.; Valsecchi, M.G.; Buldini, B.; Parasole, R.; Locatelli, F.; Colombini, A.; Rizzari, C.; Putti, M.C.; Barisone, E.; Nigro, L.L.; et al. Early T-cell precursor acute lymphoblastic leukaemia in children treated in AIEOP centres with AIEOP-BFM protocols: A retrospective analysis. Lancet Haematol. 2016, 3, e80–e86. [Google Scholar] [CrossRef]
- Girardi, T.; Vicente, C.; Cools, J.; De Keersmaecker, K. The genetics and molecular biology of T-ALL. Blood 2017, 129, 1113–1123. [Google Scholar] [CrossRef] [PubMed]
- Liu, Y.; Easton, J.; Shao, Y.; Maciaszek, J.; Wang, Z.; Wilkinson, M.R.; McCastlain, K.; Edmonson, M.; Pounds, S.B.; Shi, L.; et al. The genomic landscape of pediatric and young adult T-lineage acute lymphoblastic leukemia. Nat. Genet. 2017, 49, 1211–1218. [Google Scholar] [CrossRef]
- Neumann, M.; Coskun, E.; Fransecky, L.; Mochmann, L.H.; Bartram, I.; Sartangi, N.F.; Heesch, S.; Gökbuget, N.; Schwartz, S.; Brandts, C.; et al. FLT3 mutations in early T-cell precursor all characterize a stem cell like leukemia and imply the clinical use of tyrosine kinase inhibitors. PLoS ONE 2013, 8, e53190. [Google Scholar] [CrossRef] [PubMed]
- Yang, Y.; Mao, Y.; Sun, B. Basic performance and future developments of BeiDou global navigation satellite system. Satell. Navig. 2020, 1, 1–8. [Google Scholar] [CrossRef]
- Campana, D.; Pui, C.-H. Minimal residual disease-guided therapy in childhood acute lymphoblastic leukemia. Blood 2017, 129, 1913–1918. [Google Scholar] [CrossRef]
- Anand, P.; Guillaumet-Adkins, A.; Dimitrova, V.; Yun, H.; Drier, Y.; Sotudeh, N.; Rogers, A.J.; Ouseph, M.M.; Nair, M.; Potdar, S.; et al. Single-cell RNA-seq reveals developmental plasticity with coexisting oncogenic states and immune evasion programs in ETP-ALL. Blood 2021, 137, 2463–2480. [Google Scholar] [CrossRef]
- Nakao, M.; Yokota, S.; Iwai, T.; Kaneko, H.; Horiike, S.; Kashima, K.; Sonoda, Y.; Fujimoto, T.; Misawa, S. Internal tandem duplication of the flt3 gene found in acute myeloid leukemia. Leukemia 1996, 10, 1911–1918. [Google Scholar]
- Beretta, C.; Gaipa, G.; Rossi, V.; Bernasconi, S.; Spinelli, O.; Dell’Oro, M.G.; Rizzari, C.; Rambaldi, A.; Biondi, A.; Cazzaniga, G. Development of a quantitative-PCR method for specific FLT3/ITD monitoring in acute myeloid leukemia. Leukemia 2004, 18, 1441–1444. [Google Scholar] [CrossRef]
- Kalina, T.; Flores-Montero, J.; Lecrevisse, Q.; Pedreira, C.E.; Van Der Velden, V.H.J.; Novakova, M.; Mejstrikova, E.; Hrusak, O.; Böttcher, S.; Karsch, D.; et al. Quality assessment program for EuroFlow protocols: Summary results of four-year (2010-2013) quality assurance rounds. Cytom. Part A 2014, 87, 145–156. [Google Scholar] [CrossRef] [PubMed]
- Van Der Velden, V.H.J.; on behalf of the European Study Group on MRD detection in ALL (ESG-MRD-ALL); Cazzaniga, G.; Schrauder, A.; Hancock, J.F.; Bader, P.; Panzer-Grumayer, E.R.; Flohr, T.R.; Sutton, R.S.; Cave, H.; et al. Analysis of minimal residual disease by Ig/TCR gene rearrangements: Guidelines for interpretation of real-time quantitative PCR data. Leukemia 2007, 21, 604–611. [Google Scholar] [CrossRef] [PubMed]
- Van Vlierberghe, P.; Meijerink, J.; Stam, R.W.; Van Der Smissen, W.; Van Wering, E.R.; Beverloo, H.B.; Pieter, V.V. Activating FLT3 mutations in CD4+/CD8- pediatric T-cell acute lymphoblastic leukemias. Blood 2005, 106, 4414–4415. [Google Scholar] [CrossRef] [PubMed][Green Version]
- Zhang, J.; Zhang, Y.; Zhang, M.; Liu, C.; Liu, X.; Yin, J.; Wu, P.; Cheng, X.; Yang, W.; Zhang, L.; et al. FLT3 pathway is a potential therapeutic target for PRC2-mutated T-cell acute lymphoblastic leukemia. Blood 2018, 132, 2520–2524. [Google Scholar] [CrossRef] [PubMed]
- Ni Chonghaile, T.; Roderick, J.E.; Glenfield, C.; Ryan, J.; Sallan, S.E.; Silverman, L.B.; Loh, M.L.; Hunger, S.P.; Wood, B.; DeAngelo, D.J.; et al. Maturation Stage of T-cell Acute Lymphoblastic Leukemia Determines BCL-2 versus BCL-XL Dependence and Sensitivity to ABT-199. Cancer Discov. 2014, 4, 1074–1087. [Google Scholar] [CrossRef] [PubMed]
- Teachey, D.T.; O’Connor, D. How I treat newly diagnosed T-cell acute lymphoblastic leukemia and T-cell lymphoblastic lymphoma in children. Blood 2020, 135, 159–166. [Google Scholar] [CrossRef] [PubMed]
- Schrappe, M.; Valsecchi, M.G.; Bartram, C.R.; Schrauder, A.; Panzer-Grümayer, R.; Möricke, A.; Parasole, R.; Zimmermann, M.; Dworzak, M.; Buldini, B.; et al. Late MRD response determines relapse risk overall and in subsets of childhood T-cell ALL: Results of the AIEOP-BFM-ALL 2000 study. Blood 2011, 118, 2077–2084. [Google Scholar] [CrossRef]
- Pan, X.; Nariai, N.; Fukuhara, N.; Saito, S.; Sato, Y.; Katsuoka, F.; Kojima, K.; Kuroki, Y.; Danjoh, I.; Saito, R.; et al. Monitoring of minimal residual disease in early T-cell precursor acute lymphoblastic leukaemia by next-generation sequencing. Br. J. Haematol. 2016, 176, 318–321. [Google Scholar] [CrossRef]
- Daver, N.; Schlenk, R.F.; Russell, N.H.; Levis, M.J. Targeting FLT3 mutations in AML: Review of current knowledge and evidence. Leukemia 2019, 33, 299–312. [Google Scholar] [CrossRef]
- Lhermitte, L.; Ben Abdelali, R.; Villarèse, P.; Bedjaoui, N.; Guillemot, V.; Trinquand, A.; Libura, M.; Bedin, A.S.; Petit, A.; Dombret, H.; et al. Receptor kinase profiles identify a rationale for multitarget kinase inhibition in immature T-ALL. Leukemia 2012, 27, 305–314. [Google Scholar] [CrossRef][Green Version]
- Richard-Carpentier, G.; Jabbour, E.; Short, N.J.; Rausch, C.R.; Savoy, J.M.; Bose, P.; Yilmaz, M.; Jain, N.; Borthakur, G.; Ohanian, M.; et al. Clinical Experience with Venetoclax Combined with Chemotherapy for Relapsed or Refractory T-Cell Acute Lymphoblastic Leukemia. Clin. Lymphoma Myeloma Leuk. 2020, 20, 212–218. [Google Scholar] [CrossRef] [PubMed]
- Rowe, J.M. Changing trends in the therapy of acute myeloid leukemia. Best Pr. Res. Clin. Haematol. 2021, 34, 101333. [Google Scholar] [CrossRef] [PubMed]
- Buldini, B.; Rizzati, F.; Masetti, R.; Fagioli, F.; Menna, G.; Micalizzi, C.; Putti, M.C.; Rizzari, C.; Santoro, N.; Zecca, M.; et al. Prognostic significance of flow-cytometry evaluation of minimal residual disease in children with acute myeloid leukaemia treated according to the AIEOP-AML 2002/01 study protocol. Br. J. Haematol. 2017, 177, 116–126. [Google Scholar] [CrossRef] [PubMed]

| Total Patients | n° 10 | 100% | Total Patients | n° 10 | 100% | ||
| Age | 1–5 yrs | 2 | 20 | N° IG/TR markers | 0 | 6 * | 60 |
| 6–9 yrs | 3 | 30 | 1 | 1 | 10 | ||
| 10–17 yrs | 5 | 50 | 2 | 3 | 30 | ||
| Gender | Male | 9 | 90 | PCR MRD Risk | Standard | 0 | 0 |
| Medium | 2 | 20 | |||||
| Female | 1 | 10 | High | 2 | 20 | ||
| Not Known | 6 * | 60 | |||||
| WBC | <20,000 | 1 | 10 | FCM MRD Risk | Standard | 0 | 0 |
| 20–100,000 | 7 | 70 | Medium | 2 | 20 | ||
| ≥100,000 | 2 | 20 | High | 4 | 40 | ||
| Not Known | 4 ^ | 40 | |||||
| PDN response | Good | 2 | 20 | Final Clinical Risk | Standard | 0 | 0 |
| Poor | 8 | 80 | Medium | 0 | 0 | ||
| High | 10 | 10 | |||||
| CR-Ia | CR | 9 | 90 | Outcome | Death in CCR | 0 | 0 |
| Resistant | 1 | 10 | Death after HSCT | 2 | 20 | ||
| Alive in CCR | 8 | 80 | |||||
Publisher’s Note: MDPI stays neutral with regard to jurisdictional claims in published maps and institutional affiliations. |
© 2022 by the authors. Licensee MDPI, Basel, Switzerland. This article is an open access article distributed under the terms and conditions of the Creative Commons Attribution (CC BY) license (https://creativecommons.org/licenses/by/4.0/).
Share and Cite
Lo Nigro, L.; Andriano, N.; Buldini, B.; Silvestri, D.; Villa, T.; Locatelli, F.; Parasole, R.; Barisone, E.; Testi, A.M.; Biondi, A.; et al. FLT3-ITD in Children with Early T-cell Precursor (ETP) Acute Lymphoblastic Leukemia: Incidence and Potential Target for Monitoring Minimal Residual Disease (MRD). Cancers 2022, 14, 2475. https://doi.org/10.3390/cancers14102475
Lo Nigro L, Andriano N, Buldini B, Silvestri D, Villa T, Locatelli F, Parasole R, Barisone E, Testi AM, Biondi A, et al. FLT3-ITD in Children with Early T-cell Precursor (ETP) Acute Lymphoblastic Leukemia: Incidence and Potential Target for Monitoring Minimal Residual Disease (MRD). Cancers. 2022; 14(10):2475. https://doi.org/10.3390/cancers14102475
Chicago/Turabian StyleLo Nigro, Luca, Nellina Andriano, Barbara Buldini, Daniela Silvestri, Tiziana Villa, Franco Locatelli, Rosanna Parasole, Elena Barisone, Anna Maria Testi, Andrea Biondi, and et al. 2022. "FLT3-ITD in Children with Early T-cell Precursor (ETP) Acute Lymphoblastic Leukemia: Incidence and Potential Target for Monitoring Minimal Residual Disease (MRD)" Cancers 14, no. 10: 2475. https://doi.org/10.3390/cancers14102475
APA StyleLo Nigro, L., Andriano, N., Buldini, B., Silvestri, D., Villa, T., Locatelli, F., Parasole, R., Barisone, E., Testi, A. M., Biondi, A., Valsecchi, M. G., Rizzari, C., Conter, V., Basso, G., & Cazzaniga, G. (2022). FLT3-ITD in Children with Early T-cell Precursor (ETP) Acute Lymphoblastic Leukemia: Incidence and Potential Target for Monitoring Minimal Residual Disease (MRD). Cancers, 14(10), 2475. https://doi.org/10.3390/cancers14102475

