Impact of Sarcopenia and Inflammation on Patients with Advanced Non-Small Cell Lung Cancer (NCSCL) Treated with Immune Checkpoint Inhibitors (ICIs): A Prospective Study
Abstract
Simple Summary
Abstract
1. Introduction
2. Materials and Methods
2.1. Study Population
2.2. Study Design and Procedures
2.3. Statistical Analyses
3. Results
3.1. Characteristics of the Cohort
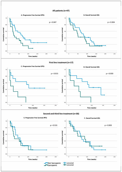
3.2. Primary Outcome: Sarcopenia and Clinical Response
3.3. Secondary Outcome: Sarcopenia and Inflammatory Biomarkers
4. Discussion
5. Conclusions
Author Contributions
Funding
Institutional Review Board Statement
Informed Consent Statement
Data Availability Statement
Acknowledgments
Conflicts of Interest
References
- Gide, T.N.; Quek, C.; Menzies, A.M.; Tasker, A.T.; Shang, P.; Holst, J.; Madore, J.; Lim, S.Y.; Velickovic, R.; Wongchenko, M.; et al. Distinct Immune Cell Populations Define Response to Anti-PD-1 Monotherapy and Anti-PD-1/Anti-CTLA-4 Combined Therapy. Cancer Cell 2019, 35, 238–255. [Google Scholar] [CrossRef]
- Califano, R.; Kerr, K.; Morgan, R.D.; Lo Russo, G.; Garassino, M.; Morgillo, F.; Rossi, A. Immune Checkpoint Blockade: A New Era for Non-Small Cell Lung Cancer. Curr. Oncol. Rep. 2016, 18, 59. [Google Scholar] [CrossRef]
- Cruz-Jentoft, A.J.; Sayer, A.A. Sarcopenia. Lancet 2019, 393, 2636–2646. [Google Scholar] [CrossRef]
- Bossi, P.; Delrio, P.; Mascheroni, A.; Zanetti, M. The Spectrum of Malnutrition/Cachexia/Sarcopenia in Oncology According to Different Cancer Types and Settings: A Narrative Review. Nutrients 2021, 13, 1980. [Google Scholar] [CrossRef] [PubMed]
- Cruz-Jentoft, A.J.; Landi, F.; Schneider, S.M.; Zuniga, C.; Arai, H.; Boirie, Y.; Chen, L.K.; Fielding, R.A.; Martin, F.C.; Michel, J.P.; et al. Prevalence of and interventions for sarcopenia in ageing adults: A systematic review. Report of the International Sarcopenia Initiative (EWGSOP and IWGS). Age Ageing 2014, 43, 748–759. [Google Scholar] [CrossRef] [PubMed]
- Shiroyama, T.; Nagatomo, I.; Koyama, S.; Hirata, H.; Nishida, S.; Miyake, K.; Fukushima, K.; Shirai, Y.; Mitsui, Y.; Takata, S.; et al. Impact of sarcopenia in patients with advanced non-small cell lung cancer treated with PD-1 inhibitors: A preliminary retrospective study. Sci. Rep. 2019, 9, 2447. [Google Scholar] [CrossRef] [PubMed]
- Shachar, S.S.; Williams, G.R.; Muss, H.B.; Nishijima, T.F. Prognostic value of sarcopenia in adults with solid tumours: A meta-analysis and systematic review. Eur. J. Cancer 2016, 57, 58–67. [Google Scholar] [CrossRef] [PubMed]
- Sabel, M.S.; Lee, J.; Cai, S.; Englesbe, M.J.; Holcombe, S.; Wang, S. Sarcopenia as a prognostic factor among patients with stage III melanoma. Ann. Surg. Oncol. 2011, 18, 3579–3585. [Google Scholar] [CrossRef] [PubMed]
- Hu, X.; Liao, D.W.; Yang, Z.Q.; Yang, W.X.; Xiong, S.C.; Li, X. Sarcopenia predicts prognosis of patients with renal cell carcinoma: A systematic review and meta-analysis. Int. Braz. J. Urol. 2020, 46, 705–715. [Google Scholar] [CrossRef] [PubMed]
- Chae, S.H.; Lee, C.; Yoon, S.H.; Shim, S.H.; Lee, S.J.; Kim, S.N.; Chung, S.; Lee, J.Y. Sarcopenia as a Predictor of Prognosis in Early Stage Ovarian Cancer. J. Korean Med. Sci. 2021, 36, e2. [Google Scholar] [CrossRef]
- Bian, A.L.; Hu, H.Y.; Rong, Y.D.; Wang, J.; Wang, J.X.; Zhou, X.Z. A study on relationship between elderly sarcopenia and inflammatory factors IL-6 and TNF-alpha. Eur. J. Med. Res. 2017, 22, 25. [Google Scholar] [CrossRef]
- Ozturk, Z.A.; Kul, S.; Turkbeyler, I.H.; Sayiner, Z.A.; Abiyev, A. Is increased neutrophil lymphocyte ratio remarking the inflammation in sarcopenia? Exp. Gerontol. 2018, 110, 223–229. [Google Scholar] [CrossRef] [PubMed]
- Rong, Y.D.; Bian, A.L.; Hu, H.Y.; Ma, Y.; Zhou, X.Z. Study on relationship between elderly sarcopenia and inflammatory cytokine IL-6, anti-inflammatory cytokine IL-10. BMC Geriatr. 2018, 18, 308. [Google Scholar] [CrossRef] [PubMed]
- Tuttle, C.S.L.; Thang, L.A.N.; Maier, A.B. Markers of inflammation and their association with muscle strength and mass: A systematic review and meta-analysis. Ageing Res. Rev. 2020, 64, 101185. [Google Scholar] [CrossRef]
- Zhao, W.Y.; Zhang, Y.; Hou, L.S.; Xia, X.; Ge, M.L.; Liu, X.L.; Yue, J.R.; Dong, B.R. The association between systemic inflammatory markers and sarcopenia: Results from the West China Health and Aging Trend Study (WCHAT). Arch. Gerontol. Geriatr. 2021, 92, 104262. [Google Scholar] [CrossRef]
- Chasseuil, E.; Saint-Jean, M.; Chasseuil, H.; Peuvrel, L.; Quereux, G.; Nguyen, J.M.; Gaultier, A.; Varey, E.; Khammari, A.; Dreno, B. Blood Predictive Biomarkers for Nivolumab in Advanced Melanoma. Acta Derm. Venereol. 2018, 98, 406–410. [Google Scholar] [CrossRef]
- Nakamura, Y.; Kitano, S.; Takahashi, A.; Tsutsumida, A.; Namikawa, K.; Tanese, K.; Abe, T.; Funakoshi, T.; Yamamoto, N.; Amagai, M.; et al. Nivolumab for advanced melanoma: Pretreatment prognostic factors and early outcome markers during therapy. Oncotarget 2016, 7, 77404–77415. [Google Scholar] [CrossRef]
- Weide, B.; Martens, A.; Hassel, J.C.; Berking, C.; Postow, M.A.; Bisschop, K.; Simeone, E.; Mangana, J.; Schilling, B.; Di Giacomo, A.M.; et al. Baseline Biomarkers for Outcome of Melanoma Patients Treated with Pembrolizumab. Clin. Cancer Res. 2016, 22, 5487–5496. [Google Scholar] [CrossRef]
- Tanizaki, J.; Haratani, K.; Hayashi, H.; Chiba, Y.; Nakamura, Y.; Yonesaka, K.; Kudo, K.; Kaneda, H.; Hasegawa, Y.; Tanaka, K.; et al. Peripheral Blood Biomarkers Associated with Clinical Outcome in Non-Small Cell Lung Cancer Patients Treated with Nivolumab. J. Thorac. Oncol. 2018, 13, 97–105. [Google Scholar] [CrossRef] [PubMed]
- Cho, Y.; Kim, J.W.; Keum, K.C.; Lee, C.G.; Jeung, H.C.; Lee, I.J. Prognostic Significance of Sarcopenia with Inflammation in Patients with Head and Neck Cancer Who Underwent Definitive Chemoradiotherapy. Front. Oncol. 2018, 8, 457. [Google Scholar] [CrossRef]
- Baracos, V.E.; Reiman, T.; Mourtzakis, M.; Gioulbasanis, I.; Antoun, S. Body composition in patients with non-small cell lung cancer: A contemporary view of cancer cachexia with the use of computed tomography image analysis. Am. J. Clin. Nutr. 2010, 91, 1133S–1137S. [Google Scholar] [CrossRef] [PubMed]
- Tsukagoshi, M.; Yokobori, T.; Yajima, T.; Maeno, T.; Shimizu, K.; Mogi, A.; Araki, K.; Harimoto, N.; Shirabe, K.; Kaira, K. Skeletal muscle mass predicts the outcome of nivolumab treatment for non-small cell lung cancer. Medicine 2020, 99, e19059. [Google Scholar] [CrossRef] [PubMed]
- Takada, K.; Yoneshima, Y.; Tanaka, K.; Okamoto, I.; Shimokawa, M.; Wakasu, S.; Takamori, S.; Toyokawa, G.; Oba, T.; Osoegawa, A.; et al. Clinical impact of skeletal muscle area in patients with non-small cell lung cancer treated with anti-PD-1 inhibitors. J. Cancer Res. Clin. Oncol. 2020, 146, 1217–1225. [Google Scholar] [CrossRef]
- Nishioka, N.; Uchino, J.; Hirai, S.; Katayama, Y.; Yoshimura, A.; Okura, N.; Tanimura, K.; Harita, S.; Imabayashi, T.; Chihara, Y.; et al. Association of Sarcopenia with and Efficacy of Anti-PD-1/PD-L1 Therapy in Non-Small-Cell Lung Cancer. J. Clin. Med. 2019, 8, 450. [Google Scholar] [CrossRef] [PubMed]
- Cortellini, A.; Verna, L.; Porzio, G.; Bozzetti, F.; Palumbo, P.; Masciocchi, C.; Cannita, K.; Parisi, A.; Brocco, D.; Tinari, N.; et al. Predictive value of skeletal muscle mass for immunotherapy with nivolumab in non-small cell lung cancer patients: A “hypothesis-generator” preliminary report. Thorac. Cancer 2019, 10, 347–351. [Google Scholar] [CrossRef]
- Deng, H.Y.; Chen, Z.J.; Qiu, X.M.; Zhu, D.X.; Tang, X.J.; Zhou, Q. Sarcopenia and prognosis of advanced cancer patients receiving immune checkpoint inhibitors: A comprehensive systematic review and meta-analysis. Nutrition 2021, 90, 111345. [Google Scholar] [CrossRef]
- Shepherd, J.A.; Ng, B.K.; Sommer, M.J.; Heymsfield, S.B. Body composition by DXA. Bone 2017, 104, 101–105. [Google Scholar] [CrossRef]
- Cruz-Jentoft, A.J.; Bahat, G.; Bauer, J.; Boirie, Y.; Bruyere, O.; Cederholm, T.; Cooper, C.; Landi, F.; Rolland, Y.; Sayer, A.A.; et al. Sarcopenia: Revised European consensus on definition and diagnosis. Age Ageing 2019, 48, 16–31. [Google Scholar] [CrossRef]
- Kim, E.Y.; Kim, Y.S.; Park, I.; Ahn, H.K.; Cho, E.K.; Jeong, Y.M. Prognostic Significance of CT-Determined Sarcopenia in Patients with Small-Cell Lung Cancer. J. Thorac. Oncol. 2015, 10, 1795–1799. [Google Scholar] [CrossRef]
- Allison, D.B.; Zhu, S.K.; Plankey, M.; Faith, M.S.; Heo, M. Differential associations of body mass index and adiposity with all-cause mortality among men in the first and second National Health and Nutrition Examination Surveys (NHANES I and NHANES II) follow-up studies. Int. J. Obes. Relat. Metab. Disord. 2002, 26, 410–416. [Google Scholar] [CrossRef]
- Baldessari, C.; Guaitoli, G.; Valoriani, F.; Bonacini, R.; Marcheselli, R.; Reverberi, L.; Pecchi, A.; Menozzi, R.; Torricelli, P.; Bertolini, F.; et al. Impact of body composition, nutritional and inflammatory status on outcome of non-small cell lung cancer patients treated with immunotherapy. Clin. Nutr. ESPEN 2021, 43, 64–75. [Google Scholar] [CrossRef]
- Petrova, M.P.; Donev, I.S.; Radanova, M.A.; Eneva, M.I.; Dimitrova, E.G.; Valchev, G.N.; Minchev, V.T.; Taushanova, M.S.; Boneva, M.V.; Karanikolova, T.S.; et al. Sarcopenia and high NLR are associated with the development of hyperprogressive disease after second-line pembrolizumab in patients with non-small-cell lung cancer. Clin. Exp. Immunol. 2020, 202, 353–362. [Google Scholar] [CrossRef]
- Bilen, M.A.; Martini, D.J.; Liu, Y.; Shabto, J.M.; Brown, J.T.; Williams, M.; Khan, A.I.; Speak, A.; Lewis, C.; Collins, H.; et al. Combined Effect of Sarcopenia and Systemic Inflammation on Survival in Patients with Advanced Stage Cancer Treated with Immunotherapy. Oncologist 2020, 25, e528–e535. [Google Scholar] [CrossRef]
- Roch, B.; Coffy, A.; Jean-Baptiste, S.; Palaysi, E.; Daures, J.P.; Pujol, J.L.; Bommart, S. Cachexia-sarcopenia as a determinant of disease control rate and survival in non-small lung cancer patients receiving immune-checkpoint inhibitors. Lung Cancer 2020, 143, 19–26. [Google Scholar] [CrossRef] [PubMed]
- Rutten, I.J.G.; Ubachs, J.; Kruitwagen, R.; Beets-Tan, R.G.H.; Olde Damink, S.W.M.; Van Gorp, T. Psoas muscle area is not representative of total skeletal muscle area in the assessment of sarcopenia in ovarian cancer. J. Cachexia Sarcopenia Muscle 2017, 8, 630–638. [Google Scholar] [CrossRef]
- Gould, H.; Brennan, S.L.; Kotowicz, M.A.; Nicholson, G.C.; Pasco, J.A. Total and appendicular lean mass reference ranges for Australian men and women: The Geelong osteoporosis study. Calcif. Tissue Int. 2014, 94, 363–372. [Google Scholar] [CrossRef]
- Can, B.; Kara, O.; Kizilarslanoglu, M.C.; Arik, G.; Aycicek, G.S.; Sumer, F.; Civelek, R.; Demirtas, C.; Ulger, Z. Serum markers of inflammation and oxidative stress in sarcopenia. Aging Clin. Exp. Res. 2017, 29, 745–752. [Google Scholar] [CrossRef] [PubMed]
- Kim, E.Y.; Kim, Y.S.; Seo, J.Y.; Park, I.; Ahn, H.K.; Jeong, Y.M.; Kim, J.H.; Kim, N. The Relationship between Sarcopenia and Systemic Inflammatory Response for Cancer Cachexia in Small Cell Lung Cancer. PLoS ONE 2016, 11, e0161125. [Google Scholar] [CrossRef]
- Fearon, K.; Strasser, F.; Anker, S.D.; Bosaeus, I.; Bruera, E.; Fainsinger, R.L.; Jatoi, A.; Loprinzi, C.; MacDonald, N.; Mantovani, G.; et al. Definition and classification of cancer cachexia: An international consensus. Lancet Oncol. 2011, 12, 489–495. [Google Scholar] [CrossRef]
- Bano, G.; Trevisan, C.; Carraro, S.; Solmi, M.; Luchini, C.; Stubbs, B.; Manzato, E.; Sergi, G.; Veronese, N. Inflammation and sarcopenia: A systematic review and meta-analysis. Maturitas 2017, 96, 10–15. [Google Scholar] [CrossRef]
- Sacdalan, D.B.; Lucero, J.A.; Sacdalan, D.L. Prognostic utility of baseline neutrophil-to-lymphocyte ratio in patients receiving immune checkpoint inhibitors: A review and meta-analysis. OncoTargets Ther. 2018, 11, 955–965. [Google Scholar] [CrossRef]
- Bagley, S.J.; Kothari, S.; Aggarwal, C.; Bauml, J.M.; Alley, E.W.; Evans, T.L.; Kosteva, J.A.; Ciunci, C.A.; Gabriel, P.E.; Thompson, J.C.; et al. Pretreatment neutrophil-to-lymphocyte ratio as a marker of outcomes in nivolumab-treated patients with advanced non-small-cell lung cancer. Lung Cancer 2017, 106, 1–7. [Google Scholar] [CrossRef] [PubMed]
- Yin, Y.; Wang, J.; Wang, X.; Gu, L.; Pei, H.; Kuai, S.; Zhang, Y.; Shang, Z. Prognostic value of the neutrophil to lymphocyte ratio in lung cancer: A meta-analysis. Clinics 2015, 70, 524–530. [Google Scholar] [CrossRef]
- Ferrucci, P.F.; Ascierto, P.A.; Pigozzo, J.; Del Vecchio, M.; Maio, M.; Antonini Cappellini, G.C.; Guidoboni, M.; Queirolo, P.; Savoia, P.; Mandala, M.; et al. Baseline neutrophils and derived neutrophil-to-lymphocyte ratio: Prognostic relevance in metastatic melanoma patients receiving ipilimumab. Ann. Oncol. 2018, 29, 524. [Google Scholar] [CrossRef] [PubMed]
- Starzer, A.M.; Steindl, A.; Mair, M.J.; Deischinger, C.; Simonovska, A.; Widhalm, G.; Gatterbauer, B.; Dieckmann, K.; Heller, G.; Preusser, M.; et al. Systemic inflammation scores correlate with survival prognosis in patients with newly diagnosed brain metastases. Br. J. Cancer 2021, 124, 1294–1300. [Google Scholar] [CrossRef]
- Lippitz, B.E.; Harris, R.A. Cytokine patterns in cancer patients: A review of the correlation between interleukin 6 and prognosis. Oncoimmunology 2016, 5, e1093722. [Google Scholar] [CrossRef]
- Moses, A.G.; Maingay, J.; Sangster, K.; Fearon, K.C.; Ross, J.A. Pro-inflammatory cytokine release by peripheral blood mononuclear cells from patients with advanced pancreatic cancer: Relationship to acute phase response and survival. Oncol. Rep. 2009, 21, 1091–1095. [Google Scholar] [CrossRef]
- Martignoni, M.E.; Kunze, P.; Hildebrandt, W.; Kunzli, B.; Berberat, P.; Giese, T.; Kloters, O.; Hammer, J.; Buchler, M.W.; Giese, N.A.; et al. Role of mononuclear cells and inflammatory cytokines in pancreatic cancer-related cachexia. Clin. Cancer Res. 2005, 11, 5802–5808. [Google Scholar] [CrossRef] [PubMed]
- Gallo, O.; Gori, A.M.; Attanasio, M.; Martini, F.; Giusti, B.; Boddi, M.; Gallina, E.; Fini, O.; Abbate, R. Interleukin-1 beta and interleukin-6 release by peripheral blood monocytes in head and neck cancer. Br. J. Cancer 1993, 68, 465–468. [Google Scholar] [CrossRef][Green Version]
- Mantovani, A.; Allavena, P.; Sica, A.; Balkwill, F. Cancer-related inflammation. Nature 2008, 454, 436–444. [Google Scholar] [CrossRef]
- Hirano, T. IL-6 in inflammation, autoimmunity and cancer. Int. Immunol. 2021, 33, 127–148. [Google Scholar] [CrossRef]
- Flint, T.R.; Fearon, D.T.; Janowitz, T. Connecting the Metabolic and Immune Responses to Cancer. Trends Mol. Med. 2017, 23, 451–464. [Google Scholar] [CrossRef] [PubMed]
- Joyce, J.A.; Fearon, D.T. T cell exclusion, immune privilege, and the tumor microenvironment. Science 2015, 348, 74–80. [Google Scholar] [CrossRef]
- Mengheri, E.; Nobili, F.; Crocchioni, G.; Lewis, J.A. Protein starvation impairs the ability of activated lymphocytes to produce interferon-gamma. J. Interferon Res. 1992, 12, 17–21. [Google Scholar] [CrossRef]
- Nelke, C.; Dziewas, R.; Minnerup, J.; Meuth, S.G.; Ruck, T. Skeletal muscle as potential central link between sarcopenia and immune senescence. EBioMedicine 2019, 49, 381–388. [Google Scholar] [CrossRef] [PubMed]
- Afzali, A.M.; Muntefering, T.; Wiendl, H.; Meuth, S.G.; Ruck, T. Skeletal muscle cells actively shape (auto)immune responses. Autoimmun. Rev. 2018, 17, 518–529. [Google Scholar] [CrossRef]
- Argiles, J.M.; Busquets, S.; Lopez-Soriano, F.J. The pivotal role of cytokines in muscle wasting during cancer. Int. J. Biochem. Cell Biol. 2005, 37, 1609–1619. [Google Scholar] [CrossRef]
- Baylis, D.; Bartlett, D.B.; Patel, H.P.; Roberts, H.C. Understanding how we age: Insights into inflammaging. Longev. Healthspan 2013, 2, 8. [Google Scholar] [CrossRef]
- Wherry, E.J.; Kurachi, M. Molecular and cellular insights into T cell exhaustion. Nat. Rev. Immunol. 2015, 15, 486–499. [Google Scholar] [CrossRef] [PubMed]
- Wang, J.; Cao, L.; Xu, S. Sarcopenia affects clinical efficacy of immune checkpoint inhibitors in non-small cell lung cancer patients: A systematic review and meta-analysis. Int. Immunopharmacol. 2020, 88, 106907. [Google Scholar] [CrossRef]
- Greten, F.R.; Grivennikov, S.I. Inflammation and Cancer: Triggers, Mechanisms, and Consequences. Immunity 2019, 51, 27–41. [Google Scholar] [CrossRef]
- Crusz, S.M.; Balkwill, F.R. Inflammation and cancer: Advances and new agents. Nat. Rev. Clin. Oncol. 2015, 12, 584–596. [Google Scholar] [CrossRef]
- Reck, M.; Rodriguez-Abreu, D.; Robinson, A.G.; Hui, R.; Csoszi, T.; Fulop, A.; Gottfried, M.; Peled, N.; Tafreshi, A.; Cuffe, S.; et al. Pembrolizumab versus Chemotherapy for PD-L1-Positive Non-Small-Cell Lung Cancer. N. Engl. J. Med. 2016, 375, 1823–1833. [Google Scholar] [CrossRef]
- Gadgeel, S.; Rodriguez-Abreu, D.; Speranza, G.; Esteban, E.; Felip, E.; Domine, M.; Hui, R.; Hochmair, M.J.; Clingan, P.; Powell, S.F.; et al. Updated Analysis From KEYNOTE-189: Pembrolizumab or Placebo Plus Pemetrexed and Platinum for Previously Untreated Metastatic Nonsquamous Non-Small-Cell Lung Cancer. J. Clin. Oncol. 2020, 38, 1505–1517. [Google Scholar] [CrossRef]
- Temel, J.S.; Abernethy, A.P.; Currow, D.C.; Friend, J.; Duus, E.M.; Yan, Y.; Fearon, K.C. Anamorelin in patients with non-small-cell lung cancer and cachexia (ROMANA 1 and ROMANA 2): Results from two randomised, double-blind, phase 3 trials. Lancet Oncol. 2016, 17, 519–531. [Google Scholar] [CrossRef]
- Fearon, K.; Arends, J.; Baracos, V. Understanding the mechanisms and treatment options in cancer cachexia. Nat. Rev. Clin. Oncol. 2013, 10, 90–99. [Google Scholar] [CrossRef]
- Dobs, A.S.; Boccia, R.V.; Croot, C.C.; Gabrail, N.Y.; Dalton, J.T.; Hancock, M.L.; Johnston, M.A.; Steiner, M.S. Effects of enobosarm on muscle wasting and physical function in patients with cancer: A double-blind, randomised controlled phase 2 trial. Lancet Oncol. 2013, 14, 335–345. [Google Scholar] [CrossRef]

| Total Number of Patients, N | 47 |
|---|---|
| Age, years, median (IQR) | 67 (61; 74) |
| Sex | |
| Male, n (%) | 27 (57.4) |
| Female, n (%) | 20 (42.6) |
| Histotype NSCLC | |
| Adenocarcinoma, n (%) | 30 (63.8) |
| Squamous cell carcinoma, n (%) | 9 (19.1) |
| Poorly differentiated carcinoma, n (%) | 5 (10.6) |
| Large cell carcinoma/mixed, n (%) | 3 (6.4) |
| First line ICI, n (%) | 18 (38.3) |
| Previous chemotherapy, n (%) | 29 (61.7) |
| Type of ICI | |
| Nivolumab, n (%) | 22 (46.8) |
| Pembrolizumab, n (%) | 18 (38.3) |
| Atezolizumab, n (%) | 7 (14.9) |
| Dead, n (%) | 36 (76.6) |
| PFS, weeks (IQR) | 30.3 (13.0; 73.1) |
| OS, weeks (IQR) | 65.6 (27.0; 113.3) |
| ORR, n (%) | 12 (25.5) |
| Variables | All Patients (n = 47) | PD (n = 17) | CB (n = 30) | p |
|---|---|---|---|---|
| Weight, Kg | 70 (58; 80) | 64 (57; 82.5) | 71 (57; 78) | 0.782 |
| High, m | 1.70 (1.62; 1.75) | 1.70 (1.62; 1.75) | 1.70 (1.62; 1.74) | 0.665 |
| BMI, Kg/m2 | 23.9 (20.7; 27.8) | 22.1 (20.2–28.2) | 25.25 (21.87; 27.86) | 0.514 |
| BMI ≥ 25, n (%) | 20 (42.6) | 6 (35.3) | 14 (46.6) | 0.449 |
| BMI 18.5–24.9, n (%) | 26 (55.3) | 11 (64.7) | 15 (50) | 0.330 |
| BMI < 18.5, n (%) | 1 (2.1) | - | 1 | - |
| Glycemia, mg/dL | 97 (90; 111) | 95 (88; 104) | 103 (90; 116) | 0.284 |
| Insulin, mg/dL | 13.2 (6.2; 17.2) | 12.9 (7.9; 20.8) | 13.2 (5.4; 16.8) | 0.367 |
| Total Cholesterol, mg/dL | 194 (158; 234) | 208 (166; 236) | 189 (151; 222) | 0.434 |
| LDL Cholesterol, mg/dL | 111 (78; 137) | 115 (85; 141) | 106 (74; 134) | 0.367 |
| HDL Cholesterol, mg/dL | 50 (43; 67) | 47 (43; 67) | 52 (42.5; 68) | 0.537 |
| Triglycerids, mg/dL | 119 (103; 168) | 109 (93; 200) | 133 (104; 151) | 0.767 |
| MetS | ||||
| Yes, n (%) | 15 (31.9) | 5 (29.4) | 10 (33.3) | 0.782 |
| No, n (%) | 32 (68.1) | 12 (70.6) | 20 (66.6) | |
| Lean mass total, g | 46,172 (39,264; 52,784) | 40,925 (36,220; 47,320) | 51,864 (41,089; 53,830) | 0.05 * |
| ASM/Ht2, Kg/m2 | 6.8 (5.7; 7.9) | 6.3 (5.6; 7.1) | 7.8 (5.9; 7.9) | 0.014 * |
| Sarcopenia | ||||
| Yes, n (%) | 19 (40.4) | 11 (64.7) | 8 (26.7) | 0.011 * |
| No, n (%) | 28 (59.6) | 6 (35.3) | 22 (73.3) | |
| Fat mass total, g | 18,060 (14,789; 26,651) | 20,574 (14,033; 30,848) | 17,809 (14,781; 26,424) | 0.982 |
| Fat, % | 27.5 (23.4; 34.2) | 30.1 (23.4; 35.2) | 27.3 (23.8; 32.5) | 0.756 |
| VAT mass, g | 589 (421–955) | 694 (496; 997) | 570 (402; 951) | 0.522 |
| Variables | B | SE | Wald | df | p | OR | 95% CI for OR | |
|---|---|---|---|---|---|---|---|---|
| Lower | Upper | |||||||
| Age | 0.027 | 0.48 | 0.324 | 1 | 0.569 | 1.027 | 0.936 | 1.128 |
| BMI | 0.093 | 0.084 | 1.214 | 1 | 0.270 | 1.097 | 0.930 | 1.294 |
| Previous chemotherapy | 0.291 | 0.763 | 0.146 | 1 | 0.703 | 1.338 | 0.300 | 5.966 |
| Sarcopenia | 2.093 | 0.826 | 6.416 | 1 | 0.011 * | 8.109 | 1.606 | 40.954 |
| Constant | −5.602 | 4.078 | 1.887 | 1 | 0.170 | 0.004 | ||
| Variables | All Patients (n = 47) | Sarcopenia (n = 19) | No Sarcopenia (n = 28) | p |
|---|---|---|---|---|
| White blood cells, ×109/L | 7.99 (6.59; 9.25) | 8.66 (7.51–11.23) | 7.36 (5.9–9.1) | 0.041 * |
| Neutrophils, ×109/L | 5.52 (4.38; 6.69) | 6.33 (5.25–8.34) | 5.01 (3.44–6.58) | 0.022 * |
| Lymphocytes, ×109/L | 1.62 (1.10; 1.98) | 1.51 (0.97–2.01) | 1.66 (1.24–1.97) | 0.305 |
| Monocytes, ×109/L | 0.55 (0.38; 0.66) | 0.61 (0.38–0.69) | 0.50 (0.38–0.60) | 0.177 |
| Eosinophils, ×109/L | 0.11 (0.08; 0.27) | 0.12 (0.07–0.22) | 0.11 (0.08–0.30) | 0.639 |
| Basophils, ×109/L | 0.03 (0.02; 0.04) | 0.03 (0.02–0.04) | 0.03 (0.02–0.04) | 0.271 |
| NLR | 3.47 (2.51; 5.16) | 4.72 (2.76–6.99) | 2.86 (2.08–3.90) | 0.012 * |
| LLR | 4.76 (3.8; 6.78) | 6.25 (4.16–8.70) | 4.39 (3.51–5.36) | 0.005 * |
| ESR, mm/h | 56 (24; 86) | 59 (34–91) | 43 (20–78) | 0.374 |
| CRP, µg/L | 14150 (3625; 42,650) | 35,200 (7300–55,900) | 10,200 (3400–19,500) | 0.024 * |
| Fibrinogen, g/L | 4.91 (4.01; 6.11) | 5.98 (4.10–6.38) | 4.67 (3.80–5.22) | 0.041 * |
| Ferritin, µg/L | 243 (166; 394) | 374 (224–452) | 215 (151–326) | 0.052 |
| Transferrin, g/L | 2.29 (2.04; 2.59) | 2.22 (1.91–2.56) | 2.30 (2.09–2.62) | 0.466 |
| IL-6, pg/mL | 5.85 (3.2; 17.01) | 14.3 (6.68; 22.78) | 5.21 (2.80; 6.47) | 0.004 * |
| TNF-α, pg/mL | 4.34 (2.60; 5.98) | 5.17 (3.49; 7.76) | 3.49 (2.36; 5.17) | 0.050 |
| TGF-α, pg/mL | 6.12 (3.63; 15.33) | 7.68 (6.06; 10.58) | 5.31 (2.74; 8.24) | 0.042 * |
Publisher’s Note: MDPI stays neutral with regard to jurisdictional claims in published maps and institutional affiliations. |
© 2021 by the authors. Licensee MDPI, Basel, Switzerland. This article is an open access article distributed under the terms and conditions of the Creative Commons Attribution (CC BY) license (https://creativecommons.org/licenses/by/4.0/).
Share and Cite
Tenuta, M.; Gelibter, A.; Pandozzi, C.; Sirgiovanni, G.; Campolo, F.; Venneri, M.A.; Caponnetto, S.; Cortesi, E.; Marchetti, P.; Isidori, A.M.; et al. Impact of Sarcopenia and Inflammation on Patients with Advanced Non-Small Cell Lung Cancer (NCSCL) Treated with Immune Checkpoint Inhibitors (ICIs): A Prospective Study. Cancers 2021, 13, 6355. https://doi.org/10.3390/cancers13246355
Tenuta M, Gelibter A, Pandozzi C, Sirgiovanni G, Campolo F, Venneri MA, Caponnetto S, Cortesi E, Marchetti P, Isidori AM, et al. Impact of Sarcopenia and Inflammation on Patients with Advanced Non-Small Cell Lung Cancer (NCSCL) Treated with Immune Checkpoint Inhibitors (ICIs): A Prospective Study. Cancers. 2021; 13(24):6355. https://doi.org/10.3390/cancers13246355
Chicago/Turabian StyleTenuta, Marta, Alain Gelibter, Carla Pandozzi, Grazia Sirgiovanni, Federica Campolo, Mary Anna Venneri, Salvatore Caponnetto, Enrico Cortesi, Paolo Marchetti, Andrea M. Isidori, and et al. 2021. "Impact of Sarcopenia and Inflammation on Patients with Advanced Non-Small Cell Lung Cancer (NCSCL) Treated with Immune Checkpoint Inhibitors (ICIs): A Prospective Study" Cancers 13, no. 24: 6355. https://doi.org/10.3390/cancers13246355
APA StyleTenuta, M., Gelibter, A., Pandozzi, C., Sirgiovanni, G., Campolo, F., Venneri, M. A., Caponnetto, S., Cortesi, E., Marchetti, P., Isidori, A. M., & Sbardella, E. (2021). Impact of Sarcopenia and Inflammation on Patients with Advanced Non-Small Cell Lung Cancer (NCSCL) Treated with Immune Checkpoint Inhibitors (ICIs): A Prospective Study. Cancers, 13(24), 6355. https://doi.org/10.3390/cancers13246355

