Risk of Malignant Transformation in 3173 Subjects with Histopathologically Confirmed Oral Lichen Planus: A 33-Year Cohort Study in Northern Italy
Abstract
:Simple Summary
Abstract
1. Introduction
2. Materials and Methods
2.1. Study Design
2.2. Data Collection
2.3. Participants
- A.
- Clinical features: the presence of characteristic bilateral papular and/or reticular lesions (Wickham striae), alone or in association with atrophic or erosive lesions; lesions in close contact to oral amalgam restorations (suspected as “oral lichenoid contact lesions”) were excluded from the analysis; unilateral lesions in patients under new medication in the previous 6 months (which could be theoretically considered “causative” or so-called oral lichenoid drug reactions) were also excluded.
- B.
- Histopathological features: hyperkeratosis, either ortho- or parakeratosis; well-defined “band-like” zone of lymphocytic infiltration in the upper layer of the stroma: evidence of “liquefaction degeneration” of the lower layer of the epithelium, and absence of epithelial dysplasia [12].
2.4. Covariates
2.5. Outcomes
2.6. Outcome Period
2.7. Bias and Study Size
2.8. Statistical Analysis
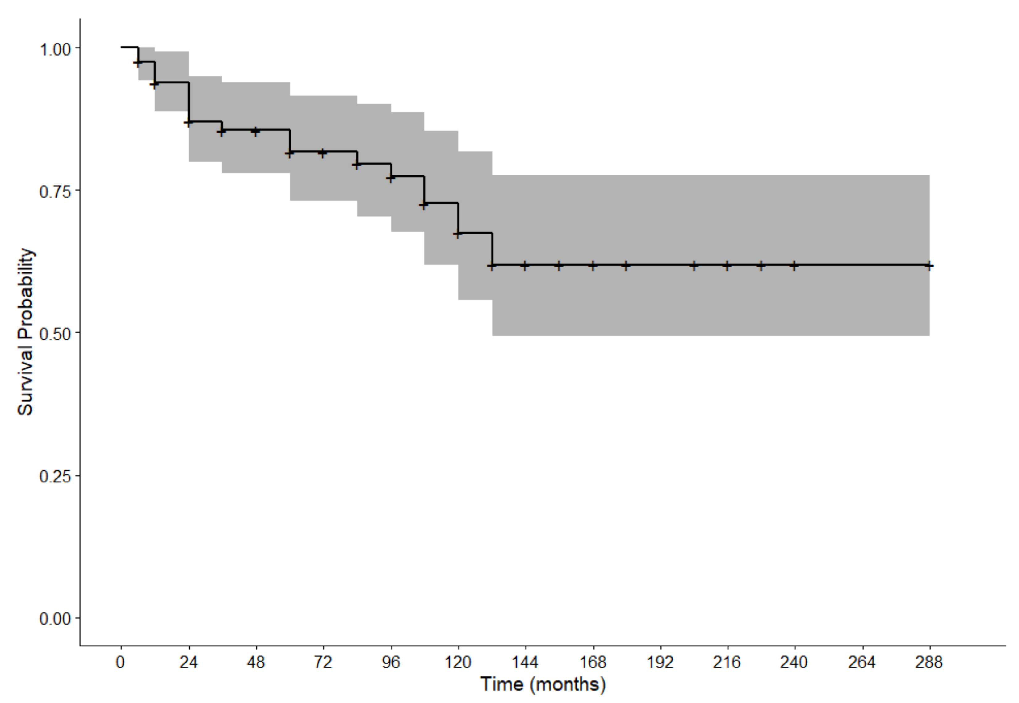
3. Results
4. Discussion
5. Conclusions
Author Contributions
Funding
Institutional Review Board Statement
Informed Consent Statement
Data Availability Statement
Acknowledgments
Conflicts of Interest
References
- Eisen, D.; Carrozzo, M.; Bagan, J.V.; Thongprasom, K. Number V. Oral lichen planus: Clinical features and management. Oral Dis. 2005, 11, 338–349. [Google Scholar] [CrossRef]
- Gandolfo, S.; Richiardi, L.; Carrozzo, M.; Broccoletti, R.; Carbone, M.; Pagano, M.; Vestita, C.; Rosso, S.; Merletti, F. Risk of oral squamous cell carcinoma in 402 patients with oral lichen planus: A follow-up study in an Italian population. Oral Oncol. 2004, 40, 77–83. [Google Scholar] [CrossRef]
- Scully, C.; Beyli, M.; Ferreiro, M.C.; Ficarra, G.; Griffiths, M.; Holmstrup, P.; Mutlu, S.; Porter, S.; Wray, D. Update on oral lichen planus: Etiopathogenesis and management. Crit. Rev. Oral. Biol. Med. 1998, 9, 86–122. [Google Scholar] [CrossRef]
- Carrozzo, M.; Uboldi de Capei, M.; Dametto, E.; Fasano, M.E.; Arduino, P.; Broccolletti, R.; Vezza, D.; Rendine, S.; Curtoni, E.S.; Gandolfo, S. Tumor necrosis factor-a and interferon-g polymorphisms contribute to susceptibility to oral lichen planus. J. Investig. Dermatol. 2004, 122, 87–94. [Google Scholar] [CrossRef] [PubMed] [Green Version]
- Thomas, D.W.; Stephens, P.; Stephens, M.; Patten, D.W.; Lim, S.H. T-cell receptor V beta usage by lesional lymphocytes in oral lichen planus. J. Oral Pathol. Med. 1997, 26, 105–109. [Google Scholar] [CrossRef] [PubMed]
- Lodi, G.; Scully, C.; Carrozzo, M.; Griffiths, M.; Sugerman, P.B.; Thongprason, K. Current controversies in oral lichen planus: Report of an international consensus meeting. Part 1. Viral infections and etiopathogenesis. Oral Surg. Oral Med. Oral Pathol. Oral Radiol. Endodontol. 2005, 100, 40–51. [Google Scholar] [CrossRef] [PubMed]
- Carrozzo, M.; Gandolfo, S. Oral diseases possibly associated with hepatitis C virus. Crit. Rev. Oral Biol. Med. 2003, 14, 115–127. [Google Scholar] [CrossRef] [PubMed] [Green Version]
- Arduino, P.G.; Carbone, M.; Conrotto, D.; Gambino, A.; Cabras, M.; Karimi, D.; Broccoletti, R. Changing epidemiology of HCV infection in patients with oral lichen planus in north-west Italy. Oral Dis. 2019, 25, 1414–1415. [Google Scholar] [CrossRef]
- González-Moles, M.Á.; Ruiz-Ávila, I.; González-Ruiz, L.; Ayén, Á.; Gil-Montoya, J.A.; Ramos-García, P. Malignant transformation risk of oral lichen planus: A systematic review and comprehensive meta-analysis. Oral Oncol. 2019, 96, 121–130. [Google Scholar] [CrossRef]
- Idrees, M.; Kujan, O.; Shearston, K.; Farah, C.S. Oral lichen planus has a very low malignant transformation rate: A systematic review and meta-analysis using strict diagnostic and inclusion criteria. J. Oral Pathol. Med. 2021, 50, 287–298. [Google Scholar] [CrossRef]
- Carbone, M.; Arduino, P.G.; Carrozzo, M.; Gandolfo, S.; Argiolas, M.R.; Bertolusso, G.; Conrotto, D.; Pentenero, M.; Broccoletti, R. Course of oral lichen planus: A retrospective study of 808 northern Italian patients. Oral Dis. 2009, 15, 235–243. [Google Scholar] [CrossRef]
- Van der Meij, E.H.; van der Waal, I. Lack of clinicopathological correlation in the diagnosis of oral lichen planus based on the presently available criteria and suggestion for modification. J. Oral Pathol. Med. 2003, 32, 507–512. [Google Scholar] [CrossRef] [PubMed]
- González-Moles, M.Á.; Warnakulasuriya, S.; González-Ruiz, I.; González-Ruiz, L.; Ayén, Á.; Lenouvel, D.; Ruiz-Ávila, I.; Ramos-García, P. Clinicopathological and prognostic characteristics of oral squamous cell carcinomas arising in patients with oral lichen planus: A systematic review and a comprehensive meta-analysis. Oral Oncol. 2020, 106, 104688. [Google Scholar] [CrossRef] [PubMed]
- Zotti, F.; Nocini, R.; Capocasale, G.; Bertossi, D.; Fior, A.; Peretti, M.; Manfrin, E.; Albanese, M. Oral Lichen Planus: Risk factors malignant transformation and follow up. Ten years retrospective study. J. Clin. Exp. Dent. 2021, 13, e630–e636. [Google Scholar] [CrossRef]
- Tsushima, F.; Sakurai, J.; Uesugi, A.; Oikawa, Y.; Ohsako, T.; Mochizuki, Y.; Hirai, H.; Kayamori, K.; Harada, H. Malignant transformation of oral lichen planus: A retrospective study of 565 Japanese patients. BMC Oral Health 2021, 21, 298–306. [Google Scholar] [CrossRef] [PubMed]
- Amin, N.R.; Yussif, N.; Ahmed, E. The effect of smoking on clinical presentation and expression of TLR-2 and CD34 in Oral lichen Planus patients: Clinical and immunohistochemical study. BMC Oral Health 2020, 20, 129–135. [Google Scholar] [CrossRef]
- Warnakulasuriya, S.; Kujan, O.; Aguirre-Urizar, J.M.; Bagan, J.V.; González-Moles, M.Á.; Kerr, A.R.; Lodi, G.; Mello, F.W.; Monteiro, L.; Ogden, G.R.; et al. Oral potentially malignant disorders: A consensus report from an international seminar on nomenclature and classification, convened by the WHO Collaborating Centre for Oral Cancer. Oral Dis. 2020, 27, 1862–1880. [Google Scholar] [CrossRef]
- Ramos-García, P.; González-Moles, M.Á.; Warnakulasuriya, S. Oral cancer development in lichen planus and related conditions-3.0 evidence level: A systematic review of systematic reviews. Oral Dis. 2021, 27, 1919–1935. [Google Scholar] [CrossRef]
- Mazzaro, C.; Dal Maso, L.; Mauro, E.; Visentini, M.; Tonizzo, M.; Gattei, V.; Andreone, P.; Pozzato, G. Hepatitis C virus- related cryoglobulinemic vasculitis: A review of the role of the new direct antiviral agents (DAAs) therapy. Autoimmun. Rev. 2020, 19, 102589. [Google Scholar] [CrossRef] [PubMed]
- Gilligan, G.; Garola, F.; Piemonte, E.; Leonardi, N.; Panico, R.; Warnakulasuriya, S. Lichenoid proliferative leukoplakia, lichenoid lesions with evolution to proliferative leukoplakia or a continuum of the same precancerous condition? A revised hypothesis. J. Oral Pathol. Med. 2021, 50, 129–135. [Google Scholar] [CrossRef] [PubMed]
- González-Moles, M.Á.; Warnakulasuriya, S.; González-Ruiz, I.; Ayén, Á.; González-Ruiz, L.; Ruiz-Ávila, I.; Ramos-García, P. Dysplasia in oral lichen planus: Relevance, controversies, and challenges. A position paper. Med. Oral Patol. Oral Cir. Bucal. 2021, 26, e541–e548. [Google Scholar] [CrossRef] [PubMed]
- Ghazi, N.; Khorasanchi, M. Markers associated with malignant transformation of oral lichen planus: A review article. Arch. Oral Biol. 2021, 127, 105158. [Google Scholar] [CrossRef]
- Rosa, E.A.; Hurtado-Puerto, A.M.; Falcao, D.P.; Brietzke, A.P.; De Almeida Prado Franceschi, L.E.; Cavalcanti Neto, F.F.; Tiziane, V.; Carneiro, F.P.; Kogawa, E.M.; Moreno, H.; et al. Oral lichen planus and malignant transformation: The role of p16, Ki-67, Bub-3 and SOX4 in assessing precancerous potential. Exp. Ther. Med. 2018, 15, 4157–4166. [Google Scholar] [CrossRef] [Green Version]
- Otero-Rey, E.M.; Suarez-Alen, F.; Peñamaria-Mallon, M.; Lopez-Lopez, J.; Blanco-Carrion, A. Malignant transformation of oral lichen planus by a chronic inflammatory process. Use of topical corticosteroids to prevent this progression? Acta Odontol. Scand. 2014, 72, 570–577. [Google Scholar] [CrossRef] [PubMed]
- Villa, A.; Menon, R.S.; Kerr, A.R.; De Abreu Alves, F.; Guollo, A.; Ojeda, D.; Woo, S.B. Proliferative leukoplakia: Proposed new clinical diagnostic criteria. Oral Dis. 2018, 24, 749–760. [Google Scholar] [CrossRef] [PubMed]
- Favia, G.; Capodiferro, S.; Limongelli, L.; Tempesta, A.; Maiorano, E. Malignant transformation of oral proliferative verrucous leukoplakia: A series of 48 patients with suggestions for management. Int. J. Oral Maxillofac. Surg. 2021, 50, 14–20. [Google Scholar] [CrossRef]
- Carrard, V.C.; Brouns, E.R.; van der Waal, I. Proliferative verrucous leukoplakia; a critical appraisal of the diagnostic criteria. Med. Oral Patol. Oral Cir. Bucal. 2013, 18, e411–e413. [Google Scholar] [CrossRef] [PubMed]
- McParland, H.; Warnakulasuriya, S. Lichenoid morphology could be an early feature of oral proliferative verrucous leukoplakia. J. Oral Pathol. Med. 2021, 50, 229–235. [Google Scholar] [CrossRef]
- Arduino, P.G.; Carrozzo, M.; Chiecchio, A.; Broccoletti, R.; Tirone, F.; Borra, E.; Bertolusso, G.; Gandolfo, S. Clinical and histopathologic independent prognostic factors in oral squamous cell carcinoma: A retrospective study of 334 cases. J. Oral Maxillofac. Surg. 2008, 66, 1570–1579. [Google Scholar] [CrossRef] [Green Version]
- Best, D.L.; Herzog, C.; Powell, C.; Braun, T.; Ward, B.B.; Moe, J. Oral lichen planus-associated oral cavity squamous cell carcinoma is associated with improved survival and increased risk of recurrence. J. Oral Maxillofac. Surg. 2020, 78, 1193–1202. [Google Scholar]
- Radochová, V.; Koberová Ivančaková, R.; Heneberk, O.; Slezák, R. The Characteristics of Patients with Oral Lichen Planus and Malignant Transformation-A Retrospective Study of 271 Patients. Int. J. Environ. Res. Public Health 2021, 18, 6525. [Google Scholar] [CrossRef] [PubMed]



| Variable | Overall | OLP Cases | Cancer Cases | p-Value | |
|---|---|---|---|---|---|
| Number | 3173 | 3091 | 82 | ||
| Gender | 0.691 # | ||||
| Male | 1172 (36.9%) | 1140 (36.9%) | 32 (39.0%) | ||
| Female | 2001 (63.1%) | 1951 (63.1%) | 50 (61.0%) | ||
| Age (mean ± SD) | 59.00 ± 12.65 | 58.95 ± 12.70 | 60.78 ± 10.31 | 0.118 $ | |
| OLP clinical form | 0.071 # | ||||
| White | 1893 (59.7%) | 1852 (59.9%) | 41 (50.0%) | ||
| Red | 1280 (40.3%) | 1239 (40.1%) | 41 (50.0%) | ||
| FU ^ (median [IQR]) | 48.00 [12.00, 120.00] | 48.00 [12.00, 120.00] | 96.00 [36.00, 144.00] | <0.001 * | |
| Site of involvement | |||||
| Cheek | 2818 (88.8%) | 2748 (88.9%) | 70 (85.4%) | 0.316 # | |
| Tongue | 1872 (59.0%) | 1825 (59.0%) | 47 (57.3%) | 0.754 # | |
| Gingiva | 1319 (41.6%) | 1296 (41.9%) | 23 (28.0%) | 0.012 # | |
| Floor | 106 (3.3%) | 103 (3.3%) | 3 (3.7%) | 0.754 & | |
| Palate | 388 (12.2%) | 381 (12.3%) | 7 (8.5%) | 0.301 # | |
| Lips | 273 (8.6%) | 270 (8.7%) | 3 (3.7%) | 0.106 # | |
| NS ^ (median [IQR]) | 2.00 [1.00, 3.00] | 2.00 [1.00, 3.00] | 2.00 [1.00, 2.00] | 0.018 * | |
| Smoking status | 0.155 # | ||||
| Positive | 441 (13.9%) | 434 (14.0%) | 7 (8.5%) | ||
| Negative | 2732 (86.1%) | 2657 (86.0%) | 75 (91.5%) | ||
| OLP therapy | 838 (26.4%) | 812 (26.3%) | 26 (31.7%) | 0.270 # | |
| HCV status | 0.031 & | ||||
| Positive | 193 (6.1%) | 183 (5.9%) | 10 (12.2%) | ||
| Negative | 2980 (93.9) | 2908 (94.1%) | 72 (87.8%) |
| Variable | Overall | Alive Patients | Deceased Patients | p-Value | |
|---|---|---|---|---|---|
| Number | 82 | 61 | 21 | ||
| Gender | 0.097 # | ||||
| Male | 32 (39.0%) | 27 (44.3%) | 5 (23.8%) | ||
| Female | 50 (61.0%) | 34 (55.7%) | 16 (76.2%) | ||
| Age (mean ± SD) | 60.78 ± 10.31 | 59.43 ± 11.06 | 64.71 ± 6.46 | 0.010 $ | |
| OLP clinical form | 0.077 # | ||||
| White | 41 (50.0%) | 34 (55.7%) | 7 (33.3%) | ||
| Red | 41 (50.0%) | 27 (44.3%) | 14 (66.7%) | ||
| Site of cancer | 0.232 & | ||||
| Cheek | 25 (30.5%) | 19 (31.1%) | 6 (28.5%) | ||
| Tongue | 32 (39.0%) | 27 (44.3%) | 5 (23.8%) | ||
| Gingiva | 17 (20.7%) | 11 (18.0%) | 6 (28.6%) | ||
| Floor | 1 (1.2%) | 0 | 1 (4.8%) | ||
| Palate | 2 (2.4%) | 1 (1.6%) | 1 (4.8%) | ||
| Lips | 5 (6.2%) | 3 (4.9%) | 2 (9.5%) | ||
| Smoking status | 1 & | ||||
| Positive | 7 (8.5%) | 5 (8.2%) | 2 (9.5%) | ||
| HCV status | 1 & | ||||
| Positive | 10 (12.2%) | 8 (13.1%) | 2 (9.5%) | ||
| T | 0.013 & | ||||
| 1 | 55 (67.1%) | 45 (73.8%) | 10 (47.6%) | ||
| 2 | 20 (24.4%) | 13 (21.3%) | 7 (33.3%) | ||
| 3 | 2 (2.4%) | 2 (3.3%) | 0 | ||
| 4 | 5 (6.1%) | 1 (1.6%) | 4 (19.0%) | ||
| N | 0.019 & | ||||
| 0 | 65 (79.3%) | 52 (85.2%) | 13 (61.9%) | ||
| 1 | 9 (11.0%) | 6 (9.8%) | 3 (14.3%) | ||
| 2 | 7 (8.5%) | 2 (3.3%) | 5 (23.8) | ||
| 3 | 1 (1.2%) | 1 (1.6%) | 0 | ||
| UCPD@ (median [IQR]) | 6.00 [4.00, 10.50] | 6.00 [4.00, 6.00] | 6.00 [6.00, 27.00] | 0.037 * | |
| UCPD@ | 0.016 & | ||||
| 1 | 58 (70.7%) | 47 (77.0%) | 11 (52.4%) | ||
| 2 | 7 (8.5%) | 6 (9.8%) | 1 (4.8%) | ||
| 3 | 4 (4.9%) | 3 (4.9%) | 1 (4.8%) | ||
| 4 | 13 (15.9%) | 5 (8.2%) | 8 (38.1%) |
| Variable | * HR | Lower 95%CI | Upper 95%CI | p-Value | |
|---|---|---|---|---|---|
| Gender | Female vs. male | 0.81 | 0.51 | 1.28 | 0.38 |
| Age | 1.04 | 1.02 | 1.06 | 0.00 | |
| Clinical type of OLP | Red vs. white | 1.87 | 1.09 | 3.20 | 0.02 |
| Number of involved sites | 0.53 | 0.41 | 0.68 | 0.00 | |
| Smoking habits | Yes vs. no | 0.75 | 0.34 | 1.66 | 0.49 |
| Medical treatment for OLP | Yes vs. no | 0.79 | 0.45 | 1.39 | 0.42 |
| HCV status | Yes vs. no | 1.67 | 0.85 | 3.29 | 0.14 |
| Variable | HR * | Lower 95% CI | Upper 95% CI | p-Value | |
|---|---|---|---|---|---|
| Gender | Female vs. male | 2.55 | 0.69 | 9.43 | 0.16 |
| Age | 1.08 | 1.01 | 1.15 | 0.02 | |
| Months of the last visit before cancer diagnosis | >6 vs. ≤6 | 1.42 | 0.20 | 10.13 | 0.73 |
| Type of treatment | Surgery vs. radiotherapy | 0.89 | 0.16 | 4.86 | 0.90 |
| Having done any type of treatment | No vs. yes | 9.51 | 1.15 | 78.52 | 0.04 |
| Neck surgery | 1 vs. 0 | 0.83 | 0.21 | 3.22 | 0.78 |
| T | 3 + 4 vs. 1 + 2 | 5.48 | 0.56 | 53.51 | 0.14 |
| N | 2 + 3 vs. 0 + 1 | 1.82 | 0.33 | 10.14 | 0.49 |
| G1 | 1 vs. 0 | 0.57 | 0.05 | 7.09 | 0.66 |
| G2 | 2 vs. 0 | 1.34 | 0.12 | 14.83 | 0.81 |
| G3 | 3 vs. 0 | 4.33 | 0.35 | 53.78 | 0.25 |
Publisher’s Note: MDPI stays neutral with regard to jurisdictional claims in published maps and institutional affiliations. |
© 2021 by the authors. Licensee MDPI, Basel, Switzerland. This article is an open access article distributed under the terms and conditions of the Creative Commons Attribution (CC BY) license (https://creativecommons.org/licenses/by/4.0/).
Share and Cite
Arduino, P.G.; Magliano, A.; Gambino, A.; Macciotta, A.; Carbone, M.; Conrotto, D.; Karimi, D.; Carrozzo, M.; Broccoletti, R. Risk of Malignant Transformation in 3173 Subjects with Histopathologically Confirmed Oral Lichen Planus: A 33-Year Cohort Study in Northern Italy. Cancers 2021, 13, 5740. https://doi.org/10.3390/cancers13225740
Arduino PG, Magliano A, Gambino A, Macciotta A, Carbone M, Conrotto D, Karimi D, Carrozzo M, Broccoletti R. Risk of Malignant Transformation in 3173 Subjects with Histopathologically Confirmed Oral Lichen Planus: A 33-Year Cohort Study in Northern Italy. Cancers. 2021; 13(22):5740. https://doi.org/10.3390/cancers13225740
Chicago/Turabian StyleArduino, Paolo G., Alessandro Magliano, Alessio Gambino, Alessandra Macciotta, Mario Carbone, Davide Conrotto, Dora Karimi, Marco Carrozzo, and Roberto Broccoletti. 2021. "Risk of Malignant Transformation in 3173 Subjects with Histopathologically Confirmed Oral Lichen Planus: A 33-Year Cohort Study in Northern Italy" Cancers 13, no. 22: 5740. https://doi.org/10.3390/cancers13225740
APA StyleArduino, P. G., Magliano, A., Gambino, A., Macciotta, A., Carbone, M., Conrotto, D., Karimi, D., Carrozzo, M., & Broccoletti, R. (2021). Risk of Malignant Transformation in 3173 Subjects with Histopathologically Confirmed Oral Lichen Planus: A 33-Year Cohort Study in Northern Italy. Cancers, 13(22), 5740. https://doi.org/10.3390/cancers13225740

