A Comprehensive Analysis of Baseline Clinical Characteristics and Biomarkers Associated with Outcome in Advanced Melanoma Patients Treated with Pembrolizumab
Abstract
Simple Summary
Abstract
1. Introduction
2. Methods
2.1. Study Design, Patients, and Treatment
2.2. Assessments
2.3. Response Evaluation and Imaging
2.4. Plasma Mutant Circulating Tumor DNA Analysis
2.5. Gene Expression Profiling and PD-L1 Immunohistochemistry
2.6. Statistical Analysis
3. Results
3.1. Baseline Characteristics
3.2. Treatment Disposition and Efficacy in the Total Study Population
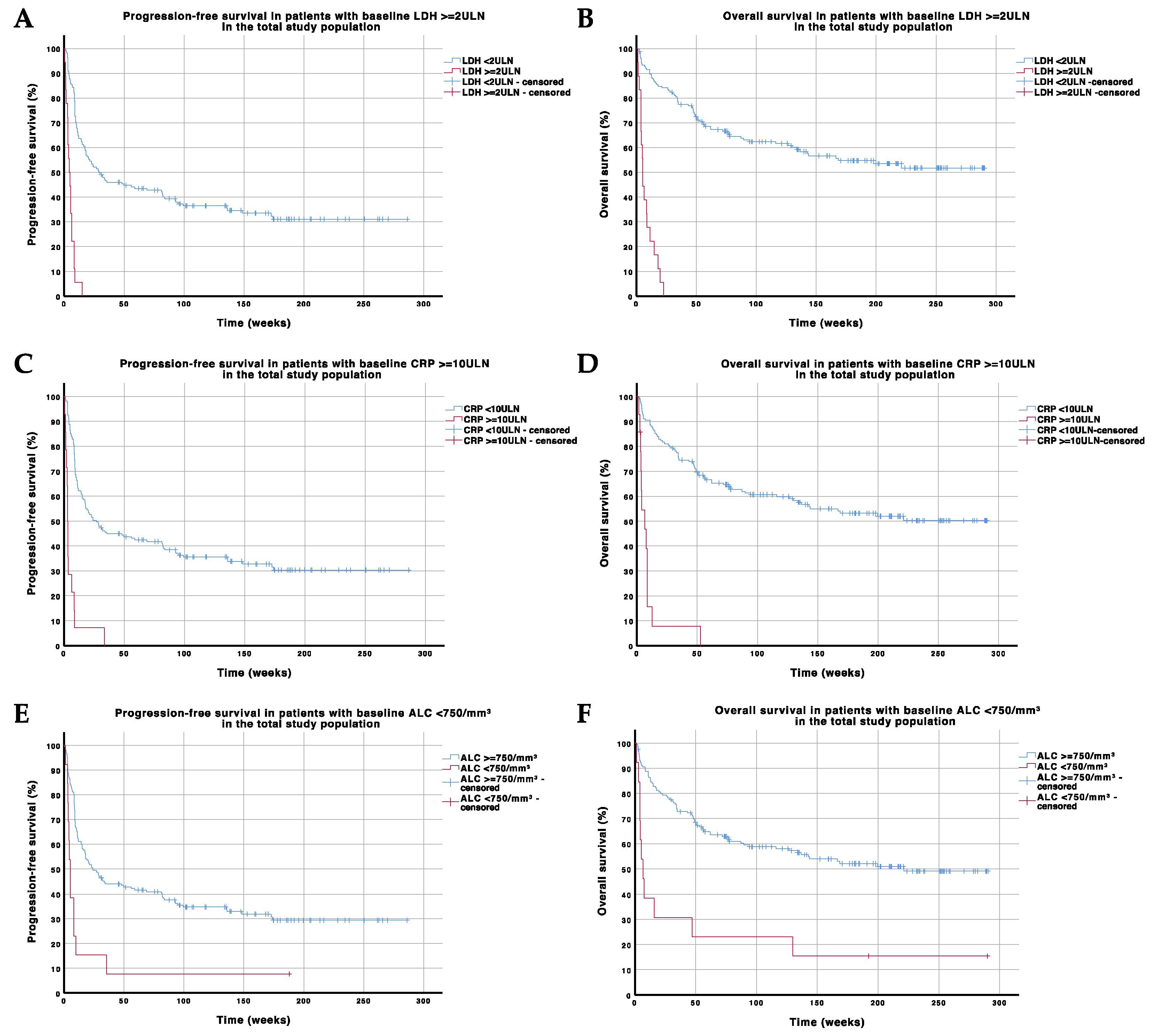
3.3. Baseline Parameters Associated with PFS and OS in the Total Study Population
3.4. Baseline Parameters Associated with PFS and OS in Patients Who Underwent Baseline Imaging with Whole-Body 18F-FDG-PET/CT
3.5. Baseline Parameters Associated with PFS and OS in Patients Who Underwent Baseline ctDNA Analysis
3.6. Baseline Parameters Associated with PFS and OS in Patients Who Underwent Baseline GEP
4. Discussion
5. Conclusions
Supplementary Materials
Author Contributions
Funding
Institutional Review Board Statement
Informed Consent Statement
Data Availability Statement
Acknowledgments
Conflicts of Interest
References
- Robert, C.; Ribas, A.; Schachter, J.; Arance, A.; Grob, J.J.; Mortier, L.; Daud, A.; Carlino, M.S.; McNeil, C.M.; Lotem, M.; et al. Pembrolizumab versus ipilimumab in advanced melanoma (KEYNOTE-006): Post-hoc 5-year results from an open-label, multicentre, randomised, controlled, phase 3 study. Lancet Oncol. 2019, 20, 1239–1251. [Google Scholar] [CrossRef]
- Larkin, J.; Chiarion-Sileni, V.; Gonzalez, R.; Grob, J.J.; Rutkowski, P.; Lao, C.D.; Cowey, C.L.; Schadendorf, D.; Wagstaff, J.; Dummer, R.; et al. Five-Year Survival with Combined Nivolumab and Ipilimumab in Advanced Melanoma. N. Engl. J. Med. 2019, 381, 1535–1546. [Google Scholar] [CrossRef] [PubMed]
- Robert, C.; Long, G.V.; Brady, B.; Dutriaux, C.; Di Giacomo, A.M.; Mortier, L.; Rutkowski, P.; Hassel, J.C.; McNeil, C.M.; Kalinka, E.A.; et al. Five-Year Outcomes With Nivolumab in Patients With Wild-Type. J. Clin. Oncol. 2020, 38, 3937–3946. [Google Scholar] [CrossRef]
- Jansen, Y.J.L.; Rozeman, E.A.; Mason, R.; Goldinger, S.M.; Geukes Foppen, M.H.; Hoejberg, L.; Schmidt, H.; van Thienen, J.V.; Haanen, J.; Tiainen, L.; et al. Discontinuation of anti-PD-1 antibody therapy in the absence of disease progression or treatment limiting toxicity: Clinical outcomes in advanced melanoma. Ann. Oncol. 2019, 30, 1154–1161. [Google Scholar] [CrossRef]
- Long, G.; Schachter, J.; Ribas, A.; Arance, A.; Grob, J. 4-year survival and outcomes after cessation of pembrolizumab (pembro) after 2-years in patients (pts) with ipilimumab (ipi)-naive advanced melanoma in KEYNOTE-006. J. Clin. Oncol. 2018, 36, 9503. [Google Scholar] [CrossRef]
- Rogiers, A.; Leys, C.; De Cremer, J.; Awada, G.; Schembri, A.; Theuns, P.; De Ridder, M.; Neyns, B. Health-related quality of life, emotional burden, and neurocognitive function in the first generation of metastatic melanoma survivors treated with pembrolizumab: A longitudinal pilot study. Support. Care Cancer 2020, 28, 3267–3278. [Google Scholar] [CrossRef] [PubMed]
- Tan, A.C.; Emmett, L.; Lo, S.; Liu, V.; Kapoor, R.; Carlino, M.S.; Guminski, A.D.; Long, G.V.; Menzies, A.M. FDG-PET response and outcome from anti-PD-1 therapy in metastatic melanoma. Ann. Oncol. 2018, 29, 2115–2120. [Google Scholar] [CrossRef]
- Weber, J.S.; D’Angelo, S.P.; Minor, D.; Hodi, F.S.; Gutzmer, R.; Neyns, B.; Hoeller, C.; Khushalani, N.I.; Miller, W.H.; Lao, C.D.; et al. Nivolumab versus chemotherapy in patients with advanced melanoma who progressed after anti-CTLA-4 treatment (CheckMate 037): A randomised, controlled, open-label, phase 3 trial. Lancet Oncol. 2015, 16, 375–384. [Google Scholar] [CrossRef]
- Tawbi, H.A.; Forsyth, P.A.; Algazi, A.; Hamid, O.; Hodi, F.S.; Moschos, S.J.; Khushalani, N.I.; Lewis, K.; Lao, C.D.; Postow, M.A.; et al. Combined Nivolumab and Ipilimumab in Melanoma Metastatic to the Brain. N. Engl. J. Med. 2018, 379, 722–730. [Google Scholar] [CrossRef]
- Goldberg, S.B.; Gettinger, S.N.; Mahajan, A.; Chiang, A.C.; Herbst, R.S.; Sznol, M.; Tsiouris, A.J.; Cohen, J.; Vortmeyer, A.; Jilaveanu, L.; et al. Pembrolizumab for patients with melanoma or non-small-cell lung cancer and untreated brain metastases: Early analysis of a non-randomised, open-label, phase 2 trial. Lancet Oncol. 2016, 17, 976–983. [Google Scholar] [CrossRef]
- Tawbi, H.A.-H.; Forsyth, P.A.; Hodi, F.S.; Lao, C.D.; Moschow, S.J.; Hamid, O.; Atkins, M.B.; Lewis, K.D.; Thomas, R.P.; Glaspy, J.A.; et al. Efficacy and safety of the combination of nivolumab (NIVO) plus ipilimumab (IPI) in patients with symptomatic melanoma brain metastases (CheckMate 204). J. Clin. Oncol. 2019, 37, 9501. [Google Scholar] [CrossRef]
- Robert, C.; Schachter, J.; Long, G.V.; Arance, A.; Grob, J.J.; Mortier, L.; Daud, A.; Carlino, M.S.; McNeil, C.; Lotem, M.; et al. Pembrolizumab versus ipilimumab in advanced melanoma. N. Engl. J. Med. 2015, 372, 2521–2532. [Google Scholar] [CrossRef] [PubMed]
- Robert, C.; Long, G.V.; Brady, B.; Dutriaux, C.; Maio, M.; Mortier, L.; Hassel, J.C.; Rutkowski, P.; McNeil, C.; Kalinka-Warzocha, E.; et al. Nivolumab in previously untreated melanoma without BRAF mutation. N. Engl. J. Med. 2015, 372, 320–330. [Google Scholar] [CrossRef] [PubMed]
- Larkin, J.; Chiarion-Sileni, V.; Gonzalez, R.; Grob, J.J.; Cowey, C.L.; Lao, C.D.; Schadendorf, D.; Dummer, R.; Smylie, M.; Rutkowski, P.; et al. Combined Nivolumab and Ipilimumab or Monotherapy in Untreated Melanoma. N. Engl. J. Med. 2015, 373, 23–34. [Google Scholar] [CrossRef]
- Diem, S.; Kasenda, B.; Spain, L.; Martin-Liberal, J.; Marconcini, R.; Gore, M.; Larkin, J. Serum lactate dehydrogenase as an early marker for outcome in patients treated with anti-PD-1 therapy in metastatic melanoma. Br. J. Cancer 2016, 114, 256–261. [Google Scholar] [CrossRef]
- Jansen, Y.; Rozeman, E.; Højberg, L.; Geukes Foppen, M.; Schreuer, M.; van Thienen, J. Correlation between baseline characteristics and clinical outcome of patients with advanced melanoma treated with pembrolizumab (PEMBRO). Ann. Oncol. 2016, 27, 379–400. [Google Scholar] [CrossRef]
- Blank, C.; Ribas, A.; Long, G.; Mortier, L.; Carlino, M.; Lotem, M.; Lorigan, P.; Neyns, B.; Petrella, T.; Puzonav, I.; et al. Impact of baseline serum lactate dehydrogenase (LDH) concentration on efficacy in the KEYNOTE-006 study of pembrolizumab versus ipilimumab. In Proceedings of the Society of Melanoma Research, Boston, MA, USA, 6–9 November 2016; p. 85. [Google Scholar]
- Weber, J.S.; Tang, H.; Hippeli, L.; Qian, M.; Wind-Rotolo, M.; Larkin, J.M.; Wolchok, J.D.; Sznol, M.; Robert, C.; Woods, D.M.; et al. Serum IL-6 and CRP as prognostic factors in melanoma patients receiving single agent and combination checkpoint inhibition. J. Clin. Oncol. 2019, 37, 100. [Google Scholar] [CrossRef]
- Weide, B.; Martens, A.; Hassel, J.C.; Berking, C.; Postow, M.A.; Bisschop, K.; Simeone, E.; Mangana, J.; Schilling, B.; Di Giacomo, A.M.; et al. Baseline Biomarkers for Outcome of Melanoma Patients Treated with Pembrolizumab. Clin. Cancer Res. 2016, 22, 5487–5496. [Google Scholar] [CrossRef]
- Joseph, R.W.; Elassaiss-Schaap, J.; Kefford, R.; Hwu, W.J.; Wolchok, J.D.; Joshua, A.M.; Ribas, A.; Hodi, F.S.; Hamid, O.; Robert, C.; et al. Baseline Tumor Size Is an Independent Prognostic Factor for Overall Survival in Patients with Melanoma Treated with Pembrolizumab. Clin. Cancer Res. 2018, 24, 4960–4967. [Google Scholar] [CrossRef]
- Schraag, A.; Klumpp, B.; Afat, S.; Gatidis, S.; Nikolaou, K.; Eigentler, T.K.; Othman, A.E. Baseline clinical and imaging predictors of treatment response and overall survival of patients with metastatic melanoma undergoing immunotherapy. Eur. J. Radiol. 2019, 121, 108688. [Google Scholar] [CrossRef]
- Seban, R.D.; Nemer, J.S.; Marabelle, A.; Yeh, R.; Deutsch, E.; Ammari, S.; Moya-Plana, A.; Mokrane, F.Z.; Gartrell, R.D.; Finkel, G.; et al. Prognostic and theranostic 18F-FDG PET biomarkers for anti-PD1 immunotherapy in metastatic melanoma: Association with outcome and transcriptomics. Eur. J. Nucl. Med. Mol. Imaging 2019, 46, 2298–2310. [Google Scholar] [CrossRef]
- Awada, G.; Özdemir, I.; Schwarze, J.K.; Daeninck, E.; Gondry, O.; Jansen, Y. Baseline total metabolic tumor volume assessed by 18FDG-PET/CT predicts outcome in advanced melanoma patients treated with pembrolizumab. Ann. Oncol. 2018, 29, x7. [Google Scholar] [CrossRef]
- Lee, J.H.; Long, G.V.; Boyd, S.; Lo, S.; Menzies, A.M.; Tembe, V.; Guminski, A.; Jakrot, V.; Scolyer, R.A.; Mann, G.J.; et al. Circulating tumour DNA predicts response to anti-PD1 antibodies in metastatic melanoma. Ann. Oncol. 2017, 28, 1130–1136. [Google Scholar] [CrossRef] [PubMed]
- Seremet, T.; Jansen, Y.; Planken, S.; Njimi, H.; Delaunoy, M.; El Housni, H.; Awada, G.; Schwarze, J.K.; Keyaerts, M.; Everaert, H.; et al. Undetectable circulating tumor DNA (ctDNA) levels correlate with favorable outcome in metastatic melanoma patients treated with anti-PD1 therapy. J. Transl. Med. 2019, 17, 303. [Google Scholar] [CrossRef]
- Daud, A.I.; Wolchok, J.D.; Robert, C.; Hwu, W.J.; Weber, J.S.; Ribas, A.; Hodi, F.S.; Joshua, A.M.; Kefford, R.; Hersey, P.; et al. Programmed Death-Ligand 1 Expression and Response to the Anti-Programmed Death 1 Antibody Pembrolizumab in Melanoma. J. Clin. Oncol. 2016, 34, 4102–4109. [Google Scholar] [CrossRef] [PubMed]
- Rodig, S.J.; Gusenleitner, D.; Jackson, D.G.; Gjini, E.; Giobbie-Hurder, A.; Jin, C.; Chang, H.; Lovitch, S.B.; Horak, C.; Weber, J.S.; et al. MHC proteins confer differential sensitivity to CTLA-4 and PD-1 blockade in untreated metastatic melanoma. Sci. Transl. Med. 2018, 10, 450. [Google Scholar] [CrossRef]
- Ott, P.A.; Bang, Y.J.; Piha-Paul, S.A.; Razak, A.R.A.; Bennouna, J.; Soria, J.C.; Rugo, H.S.; Cohen, R.B.; O’Neil, B.H.; Mehnert, J.M.; et al. T-Cell-Inflamed Gene-Expression Profile, Programmed Death Ligand 1 Expression, and Tumor Mutational Burden Predict Efficacy in Patients Treated With Pembrolizumab Across 20 Cancers: KEYNOTE-028. J. Clin. Oncol. 2019, 37, 318–327. [Google Scholar] [CrossRef]
- Wolchok, J.D.; Hoos, A.; O’Day, S.; Weber, J.S.; Hamid, O.; Lebbe, C.; Maio, M.; Binder, M.; Bohnsack, O.; Nichol, G.; et al. Guidelines for the evaluation of immune therapy activity in solid tumors: Immune-related response criteria. Clin. Cancer Res. 2009, 15, 7412–7420. [Google Scholar] [CrossRef]
- Blank, C.U.; Haanen, J.B.; Ribas, A.; Schumacher, T.N. Cancer Immunology. The cancer immunogram. Science 2016, 352, 658–660. [Google Scholar] [CrossRef]
- Zelenay, S.; van der Veen, A.G.; Böttcher, J.P.; Snelgrove, K.J.; Rogers, N.; Acton, S.E.; Chakravarty, P.; Girotti, M.R.; Marais, R.; Quezada, S.A.; et al. Cyclooxygenase-Dependent Tumor Growth through Evasion of Immunity. Cell 2015, 162, 1257–1270. [Google Scholar] [CrossRef]
- Lee, Y.H.; Martin-Orozco, N.; Zheng, P.; Li, J.; Zhang, P.; Tan, H.; Park, H.J.; Jeong, M.; Chang, S.H.; Kim, B.S.; et al. Inhibition of the B7-H3 immune checkpoint limits tumor growth by enhancing cytotoxic lymphocyte function. Cell Res. 2017, 27, 1034–1045. [Google Scholar] [CrossRef] [PubMed]



| Clinical Factors | Blood Values | Plasma ctDNA | Imaging | Tissue |
|---|---|---|---|---|
|
|
|
|
|
| Baseline Patient Characteristics | Total Study Population n = 183 | Patients with Baseline 18F-FDG-PET/CT n = 112 | Patients with Baseline Mutant ctDNA Analysis n = 58 | Patients with Baseline Tissue GEP Analysis n = 27 |
|---|---|---|---|---|
| Age (median, (range)) | 60 (24–93) | 61 (26–93) | 58 (26–82) | 63 (36–93) |
| Sex (n (%)) | ||||
| Male | 88 (48.1) | 55 (49.1) | 28 (48.3) | 14 (51.9) |
| Female | 95 (51.9) | 57 (50.9) | 30 (51.7) | 13 (48.1) |
| Melanoma subtype (n (%)) | ||||
| Cutaneous | 157 (85.8) | 100 (89.3) | 49 (84.5) | 24 (88.9) |
| Mucosal | 5 (2.7) | 3 (2.8) | 1 (1.7) | 0 (0) |
| Unknown primary | 21 (11.5) | 9 (8.0) | 8 (13.8) | 3 (11.1) |
| WHO PS (n (%)) | ||||
| 0 | 126 (68.9) | 78 (69.6) | 39 (67.2) | 20 (74.1) |
| 1 | 41 (22.4) | 23 (20.5) | 13 (22.4) | 3 (11.1) |
| 2 | 16 (8.7) | 11 (9.8) | 6 (10.3) | 4 (14.8) |
| Tumor stage (n (%)) | ||||
| IIIB | 6 (3.3) | 5 (4.5) | 1 (1.7) | 0 (0.0) |
| IIIC | 21 (11.5) | 14 (12.5) | 4 (6.9) | 4 (14.8) |
| IV-M1a | 12 (6.6) | 9 (8.0) | 5 (8.6) | 5 (18.5) |
| IV-M1b | 26 (14.2) | 19 (17.0) | 4 (6.9) | 2 (7.4) |
| IV-M1c | 73 (39.9) | 45 (40.2) | 26 (44.8) | 7 (25.9) |
| IV-M1d | 45 (24.6) | 20 (17.9) | 18 (31.0) | 9 (33.3) |
| Brain metastases (n (%)) | ||||
| Active | 21 (11.5) | 8 (7.1) | 6 (10.3) | 5 (18.5) |
| Inactive | 24 (13.1) | 12 (10.7) | 12 (20.7) | 4 (14.8) |
| Number of affected organs (n (%)) | ||||
| 1 | 63 (34.4) | 46 (41.1) | 17 (29.3) | 11 (40.7) |
| 2–3 | 68 (37.2) | 44 (39.3) | 25 (43.1) | 10 (37.0) |
| 4–5 | 37 (20.2) | 17 (15.2) | 12 (20.7) | 4 (14.8) |
| >5 | 15 (8.2) | 5 (4.5) | 4 (6.9) | 2 (7.4) |
| Number of prior therapies (n (%)) | ||||
| 0 | 47 (25.7) | 33 (29.5) | 7 (12.1) | 11 (40.7) |
| 1 | 65 (35.6) | 45 (40.2) | 21 (36.2) | 8 (29.6) |
| 2 | 36 (19.7) | 18 (16.1) | 15 (25.9) | 3 (11.1) |
| 3 | 17 (9.3) | 7 (6.3) | 8 (13.8) | 2 (7.4) |
| ≥4 | 18 (9.8) | 9 (8.0) | 7 (12.1) | 3 (11.1) |
| Prior ipilimumab (n (%)) | 89 (48.6) | 53 (47.3) | 37 (63.8) | 10 (37.0) |
| Prior BRAF-inhibitor monotherapy (n (%)) | 34 (18.6) | 17 (15.2) | 15 (25.9) | 5 (18.5) |
| Prior BRAF-/MEK-inhibitor (n (%)) | 61 (33.3) | 38 (33.9) | 32 (55.2) | 9 (33.3) |
| Corticosteroid use (n (%)) | ||||
| Yes | 8 (4.5) | 3 (2.8) | 2 (3.4) | 3 (11.1) |
| No | 175 (95.6) | 109 (97.3) | 56 (96.6) | 24 (88.9) |
| ALB | ||||
| <LLN (n (%)) | 17 (9.3) | 8 (7.1) | 8 (13.8) | 3 (11.1) |
| ≥LLN (n (%)) | 166 (90.1) | 104 (92.9) | 50 (86.2) | 24 (88.9) |
| Median (g/L) | 41 | 41 | 40 | 40 |
| LDH | ||||
| <ULN (n (%)) | 123 (67.2) | 87 (77.7) | 37 (63.8) | 22 (81.5) |
| ≥ULN (n (%)) | 60 (32.8) | 25 (22.3) | 21 (36.2) | 5 (18.5) |
| Median (U/L) | 513 | 483 | 519 | 491 |
| CRP | ||||
| <ULN (n (%)) | 99 (54.1) | 66 (58.9) | 28 (48.3) | 19 (70.4) |
| ≥ULN (n (%)) | 84 (45.9) | 46 (41.1) | 30 (51.7) | 8 (29.6) |
| Median (mg/L) | 4 | 3 | 6 | 3 |
| ALC | ||||
| <LLN (n (%)) | 54 (29.5) | 29 (25.9) | 17 (29.3) | 10 (37.0) |
| Median (/mm3) | 1629 | 1703 | 1706 | 1386 |
| ANC | ||||
| ≥ULN (n (%)) | 19 (10.4) | 8 (7.1) | 3 (5.2) | 1 (3.7) |
| Median (/mm3) | 4338 | 4161.5 | 4374 | 4298 |
| NLR | ||||
| <5 (n (%)) | 147 (80.3) | 95 (84.8) | 46 (79.3) | 19 (70.4) |
| ≥5 (n (%)) | 36 (19.7) | 17 (15.2) | 12 (20.7) | 8 (29.6) |
| Median | 2.81 | 2.72 | 2.69 | 3.01 |
| BRAFV600 status | ||||
| Mutant (n (%)) | 96 (52.5) | 56 (50.0) | 42 (72.4) | 16 (59.3) |
| Wild-type (n (%)) | 87 (47.5) | 56 (50.0) | 16 * (27.6) | 11 (40.7) |
| TMTV | ||||
| <80 (n (%)) | NA | 95 (84.8) | NA | NA |
| ≥80 (n (%)) | NA | 17 (15.2) | NA | NA |
| Median (mL) | NA | 6.77 | NA | NA |
| ctDNA | ||||
| Detectable (n (%)) | NA | NA | 27 (46.6) | NA |
| Undetectable (n (%)) | NA | NA | 31 (53.4) | NA |
| Median copy number (/mL) | NA | NA | 0 | NA |
| PD-L1 IHC | ||||
| Median (%) | NA | NA | NA | 0.5 • |
| Baseline Parameters | PFS | OS | ||
|---|---|---|---|---|
| Univariate HR (p-Value) | Multivariate HR (95% CI; p-Value) | Univariate HR (p-Value) | Multivariate HR (95% CI; p-Value) | |
| Age (age decade vs. 20–29) | 0.006–0.576 (0.448–0.940) | NA | 0.049–0.529 (0.467–0.825) | NA |
| Sex (male vs. female) | 0.051 (0.822) | NA | 2.747 (0.546) | NA |
| WHO PS (≥1 vs. 0) | 18.037 (<0.001) | NS | 35.151 (<0.001) | NS |
| Tumor stage (IV vs. III) | 10.494 (0.001) | NS | 7.946 (0.005) | NS |
| Brain metastases | ||||
| Inactive vs. absent | 0.013 (0.910) | NS | 0.270 (0.604) | NS |
| Active vs. absent | 21.981 (<0.001) | 2.189 (1.296–3.696; 0.003) | 33.194 (<0.001) | 2.657 (1.493–4.729; 0.001) |
| Number of affected organs (≥2 vs. 1) | 24.029 (<0.001) | 1.996 (1.296–3.074; 0.002) | 22.769 (<0.001) | 2.365 (1.340–4.174; 0.003) |
| Number of prior therapies (≥1 vs. 0) | 8.609 (0.003) | NS | 6.511 (0.011) | NS |
| Corticosteroid use (yes vs. no) | 3.289 (0.070) | NA | 6.210 (0.013) | NS |
| ALB (<LLN vs. ≥LLN) | 16.815 (<0.001) | NS | 28.519 (<0.001) | 2.446 (1.298–4.609; 0.006) |
| LDH (≥ULN vs. <ULN) | 24.794 (<0.001) | NS | 33.761 (<0.001) | NS |
| CRP (≥2ULN vs. <2ULN) | 32.777 (<0.001) | 2.328 (1.601–3.385; <0.001) | 39.984 (<0.001) | 2.540 (1.585–4.069; <0.001) |
| ALC (<750/mm3 vs. ≥750/mm3) | 14.995 (<0.001) | 2.767 (1.485–5.156; 0.001) | 17.813 (<0.001) | 2.822 (1.424–5.594; 0.003) |
| ANC (≥7500/mm3 vs. <7500/mm3) | 4.140 (0.042) | NS | 10.254 (0.001) | NS |
| NLR (≥5 vs. <5) | 15.147 (<0.001) | NS | 32.615 (<0.001) | 1.864 (1.142–3.044; 0.013) |
| BRAFV600 mutation (mutant vs. wild-type) | 3.173 (0.075) | NA | 0.004 (0.949) | NA |
| Baseline Parameters | PFS | OS | ||
|---|---|---|---|---|
| Univariate HR (p-Value) | Multivariate HR (95% CI; p-Value) | Univariate HR (p-Value) | Multivariate HR (95% CI; p-Value) | |
| Age (age decade vs. 20–29) | 0.000–0.583 (0.445–0.986) | NA | 0.462–1.000 (0.326–0.497) | NA |
| Sex (male vs. female) | 0.072 (0.789) | NA | 4.000 (0.617) | NA |
| WHO PS (≥1 vs. 0) | 7.507 (0.006) | NS | 19.719 (<0.001) | NS |
| Tumor stage (IV vs. III) | 7.648 (0.006) | NS | 3.961 (0.047) | NS |
| Brain metastases | ||||
| Inactive vs. absent | 0.521 (0.470) | NS | 0.026 (0.872) | NS |
| Active vs. absent | 28.894 (<0.001) | 3.950 (1.749–8.920; 0.001) | 56.003 (<0.001) | 8.629 (3.395–21.935; <0.001) |
| Number of affected organs (≥2 vs. 1) | 12.101 (0.001) | 2.165 (1.278–3.668; 0.004) | 14.867 (<0.001) | 2.377 (1.184–4.773; 0.015) |
| Number of prior therapies (≥1 vs. 0) | 3.351 (0.067) | NA | 1.245 (0.265) | NA |
| Corticosteroid use (yes vs. no) | 7.329 (0.007) | NS | 17.563 (<0.001) | NS |
| ALB (<LLN vs. ≥LLN) | 6.371 (0.012) | 2.581 (1.161–5.736; 0.020) | 9.452 (0.002) | 3.444 (1.362–8.708; 0.009) |
| LDH (≥ULN vs. <ULN) | 11.541 (0.001) | NS | 20.528 (<0.001) | NS |
| CRP (≥2ULN vs. <2ULN) | 8.974 (0.003) | NS | 14.961 (<0.001) | NS |
| ALC (<750/mm3 vs. ≥750/mm3) | 4.760 (0.029) | NS | 12.242 (<0.001) | 5.036 (2.062–12.299; 0.009) |
| ANC (≥7500/mm3 vs. <7500/mm3) | 0.882 (0.348) | NA | 0.185 (0.667) | NA |
| NLR (≥5 vs. <5) | 6.014 (0.014) | NS | 16.102 (<0.001) | NS |
| BRAFV600 mutation (mutant vs. wild-type) | 4.933 (0.026) | 2.370 (1.441–3.899; 0.001) | 0.017 (0.897) | NA |
| TMTV | ||||
| ≥80 vs. <80 mL | 14.466 (<0.001) | NS | 45.141 (<0.001) | NS |
| Absolute value | NA | 1.003 (1.001–1.004; <0.001) | NA | 1.004 (1.002–1.006; <0.001) |
| Baseline Parameters | PFS | OS | ||
|---|---|---|---|---|
| Univariate HR (p-Value) | Multivariate HR (95% CI; p-Value) | Univariate HR (p-Value) | Multivariate HR (95% CI; p-Value) | |
| Age (age decade vs. 20–29) | 0.050–1.000 (0.317–0.822) | NA | 0.694–1.184 (0.277–0.405) | NA |
| Sex (male vs. female) | 7.092 (0.707) | NA | 0.015 (0.902) | NA |
| WHO PS (≥1 vs. 0) | 5.074 (0.024) | NS | 6.197 (0.013) | NS |
| Tumor stage (IV vs. III) | 6.657 (0.010) | NS | 2.378 (0.123) | NA |
| Brain metastases | ||||
| Inactive vs. absent | 2.920 (0.088) | NS | 0.048 (0.827) | NS |
| Active vs. absent | 13.985 (<0.001) | 2.839 (1.053–7.654; 0.039) | 12.810 (<0.001) | 4.935 (1.707–14.264; 0.003) |
| Number of affected organs (≥2 vs. 1) | 9.011 (0.003) | 2.609 (1.21–5.484; 0.011) | 9.479 (0.002) | 3.382 (1.198–9.545; 0.021) |
| Number of prior therapies (≥1 vs. 0) | 5.012 (0.025) | NS | 5.028 (0.025) | NS |
| Corticosteroid use (yes vs. no) | 3.661 (0.056) | NA | 3.670 (0.055) | NA |
| ALB (<LLN vs. ≥LLN) | 10.396 (0.001) | 3.968 (1.637–9.616; 0.002) | 13.424 (<0.001) | 4.227 (1.584–11.285; 0.004) |
| LDH (≥ULN vs. <ULN) | 8.815 (0.003) | NS | 11.452 (0.001) | NS |
| CRP (≥2ULN vs. <2ULN) | 7.896 (0.005) | NS | 7.046 (0.008) | NS |
| ALC (<750/mm3 vs. ≥750/mm3) | 5.236 (0.022) | NS | 5.061 (0.024) | NS |
| ANC (≥7500/mm3 vs. <7500/mm3) | 2.229 (0.135) | NA | 8.293 (0.004) | NS |
| NLR (≥5 vs. <5) | 4.261 (0.039) | NS | 7.857 (0.005) | NS |
| BRAFV600 mutation (mutant vs. wild-type) | 2.452 (0.117) | NA | 5.291 (0.664) | NA |
| ctDNA | ||||
| Detectable vs. undetectable | 3.607 (0.058) | NA | 7.482 (0.006) | NS |
| Absolute value | NA | NS | NA | 1.000 (1.000–1.000; 0.007) |
| Baseline Parameters | PFS | OS | ||
|---|---|---|---|---|
| Univariate HR (p-Value) | Multivariate HR (95% CI; p-Value) | Univariate HR (p-Value) | Multivariate HR (95% CI; p-Value) | |
| Age (age decade vs. 30–39) | 0.010–2.182 (0.140–0.919) | NA | 0.167–1.077 (0.299–0.683) | NA |
| Sex (male vs. female) | 0.482 (0.487) | NA | 2.717 (0.544) | NA |
| WHO PS (≥1 vs. 0) | 1.179 (0.357) | NA | 5.639 (0.018) | NS |
| Tumor stage (IV vs. III) | 1.517 (0.417) | NA | 2.236 (0.135) | NA |
| Brain metastases | ||||
| Inactive vs. absent | 2.140 (0.143) | NA | 6.211 (0.013) | NS |
| Active vs. absent | 2.010 (0.156) | NA | 5.018 (0.025) | NS |
| Number of affected organs (≥2 vs. 1) | 3.815 (0.051) | NA | 6.330 (0.012) | 25.067 (1.480–424.449; 0.026) |
| Number of prior therapies (≥1 vs. 0) | 1.046 (0.306) | NA | 1.425 (0.402) | NA |
| Corticosteroid use (yes vs. no) | 0.019 (0.889) | NA | 0.010 (0.921) | NA |
| ALB (<LLN vs. ≥LLN) | 3.606 (0.058) | NA | 3.862 (0.049) | 36.404 (2.745–482.728; 0.006) |
| LDH (≥ULN vs. <ULN) | 10.204 (0.754) | NA | 2.960 (0.085) | NA |
| CRP (≥2ULN vs. <2ULN) | 5.588 (0.018) | NS | 2.022 (0.155) | NA |
| ALC (<750/mm3 vs. ≥750/mm3) | 6.959 (0.008) | 7.715 (1.670–35.633; 0.009) | 9.445 (0.002) | 6.732 (1.480–424.449; 0.026) |
| ANC (≥7500/mm3 vs. <7500/mm3) | 0.130 (0.719) | NA | 0.415 (0.520) | NA |
| NLR (≥5 vs. <5) | 5.977 (0.014) | NS | 5.116 (0.024) | NS |
| BRAFV600 mutation (mutant vs. wild-type) | 0.105 (0.746) | NA | 0.395 (0.112) | NA |
| PD-L1 GEP score (≤median vs. >median) | 4.584 (0.032) | NS | NA | NA |
| B7-H3 GEP score (>median vs. ≤median) | NA | NA | 6.695 (0.010) | NS |
Publisher’s Note: MDPI stays neutral with regard to jurisdictional claims in published maps and institutional affiliations. |
© 2021 by the authors. Licensee MDPI, Basel, Switzerland. This article is an open access article distributed under the terms and conditions of the Creative Commons Attribution (CC BY) license (http://creativecommons.org/licenses/by/4.0/).
Share and Cite
Awada, G.; Jansen, Y.; Schwarze, J.K.; Tijtgat, J.; Hellinckx, L.; Gondry, O.; Vermeulen, S.; Warren, S.; Schats, K.; van Dam, P.-J.; et al. A Comprehensive Analysis of Baseline Clinical Characteristics and Biomarkers Associated with Outcome in Advanced Melanoma Patients Treated with Pembrolizumab. Cancers 2021, 13, 168. https://doi.org/10.3390/cancers13020168
Awada G, Jansen Y, Schwarze JK, Tijtgat J, Hellinckx L, Gondry O, Vermeulen S, Warren S, Schats K, van Dam P-J, et al. A Comprehensive Analysis of Baseline Clinical Characteristics and Biomarkers Associated with Outcome in Advanced Melanoma Patients Treated with Pembrolizumab. Cancers. 2021; 13(2):168. https://doi.org/10.3390/cancers13020168
Chicago/Turabian StyleAwada, Gil, Yanina Jansen, Julia Katharina Schwarze, Jens Tijtgat, Lennert Hellinckx, Odrade Gondry, Sim Vermeulen, Sarah Warren, Kelly Schats, Pieter-Jan van Dam, and et al. 2021. "A Comprehensive Analysis of Baseline Clinical Characteristics and Biomarkers Associated with Outcome in Advanced Melanoma Patients Treated with Pembrolizumab" Cancers 13, no. 2: 168. https://doi.org/10.3390/cancers13020168
APA StyleAwada, G., Jansen, Y., Schwarze, J. K., Tijtgat, J., Hellinckx, L., Gondry, O., Vermeulen, S., Warren, S., Schats, K., van Dam, P.-J., Kockx, M., Keyaerts, M., Everaert, H., Seremet, T., Rogiers, A., & Neyns, B. (2021). A Comprehensive Analysis of Baseline Clinical Characteristics and Biomarkers Associated with Outcome in Advanced Melanoma Patients Treated with Pembrolizumab. Cancers, 13(2), 168. https://doi.org/10.3390/cancers13020168

