Pertuzumab and Trastuzumab Combination with Concomitant Locoregional Radiotherapy for the Treatment of Breast Cancers with HER2 Receptor Overexpression
Abstract
:Simple Summary
Abstract
1. Introduction
2. Material and Methods
2.1. Study Population
2.2. Statistical Analysis
3. Results
3.1. Study Population
3.2. Treatment
3.2.1. Systemic Therapy
3.2.2. Surgery
3.2.3. Concomitant Radiotherapy
3.3. Toxicity and Safety
3.3.1. Skin Toxicity
3.3.2. Gastrointestinal Toxicity
3.3.3. Cardiac Toxicity
3.3.4. Other Toxicities
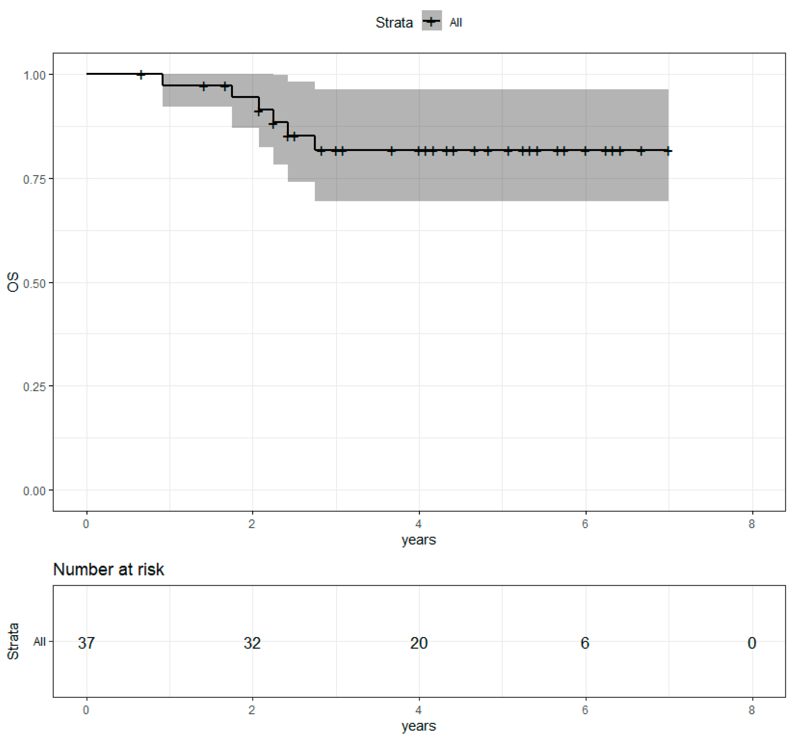
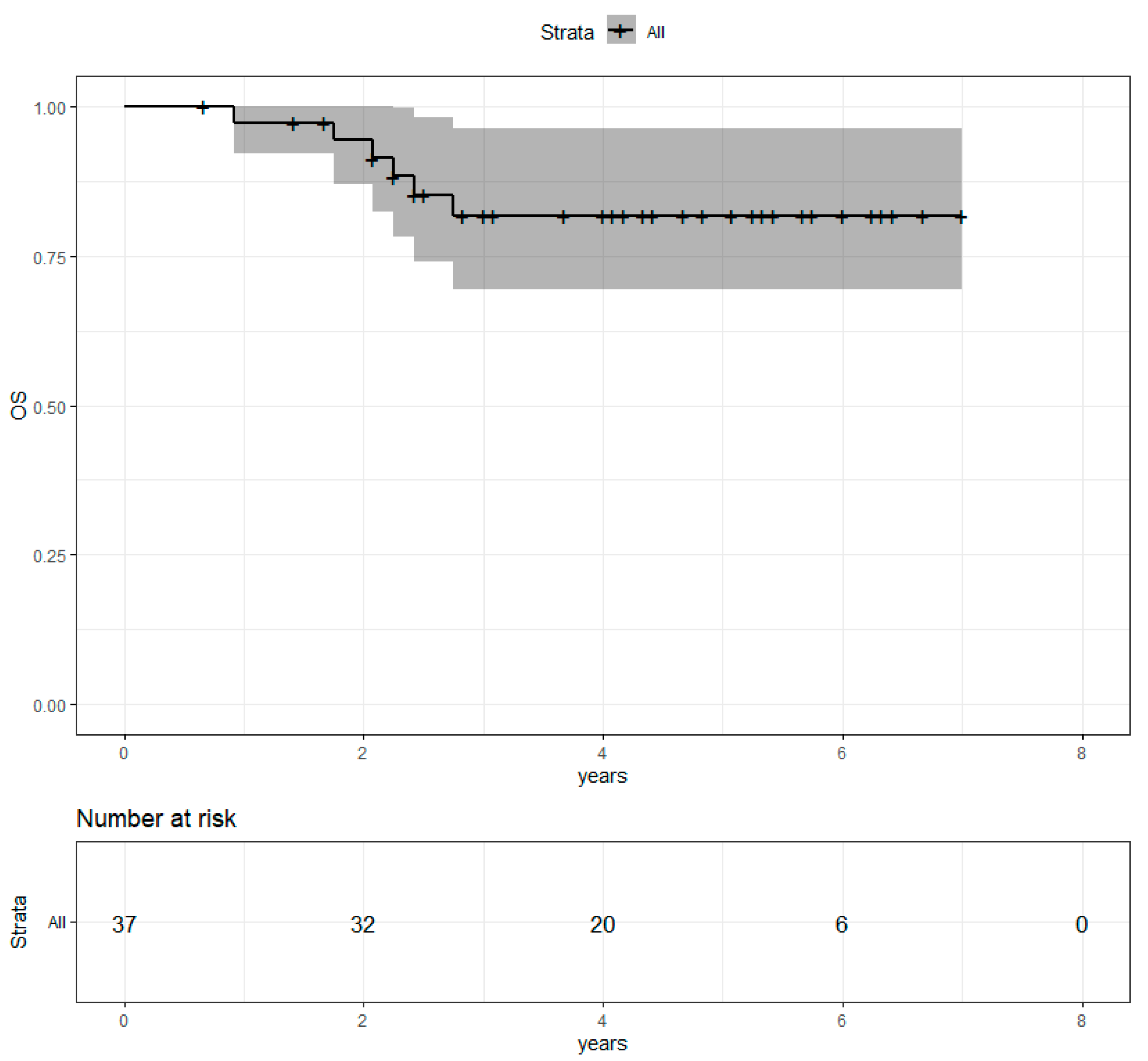
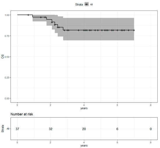
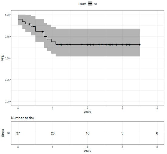
3.4. Survival Data
4. Discussion
5. Conclusions
Author Contributions
Funding
Institutional Review Board Statement
Informed Consent Statement
Data Availability Statement
Acknowledgments
Conflicts of Interest
References
- Kümler, I.; Tuxen, M.K.; Nielsen, D.L. A systematic review of dual targeting in HER2-positive breast cancer. Cancer Treat. Rev. 2014, 40, 259–270. [Google Scholar] [CrossRef] [PubMed]
- Olayioye, M.A.; Neve, R.M.; Lane, H.A.; Hynes, N.E. The ErbB signaling network: Receptor heterodimerization in development and cancer. EMBO J. 2000, 19, 3159–3167. [Google Scholar] [CrossRef] [PubMed] [Green Version]
- Hudziak, R.M.; Lewis, G.D.; Winget, M.; Fendly, B.M.; Shepard, H.M.; Ullrich, A. p185HER2 monoclonal antibody has antiproliferative effects in vitro and sensitizes human breast tumor cells to tumor necrosis factor. Mol. Cell Biol. 1989, 9, 1165–1172. [Google Scholar] [CrossRef] [PubMed]
- Barok, M.; Isola, J.; Pályi-Krekk, Z.; Nagy, P.; Juhász, I.; Vereb, G.; Kauraniemi, P.; Kapanen, A.; Tanner, M.; Szöllösi, J. Trastuzumab causes antibody-dependent cellular cytotoxicity-mediated growth inhibition of submacroscopic JIMT-1 breast cancer xenografts despite intrinsic drug resistance. Mol. Cancer Ther. 2007, 6, 2065–2072. [Google Scholar] [CrossRef] [PubMed] [Green Version]
- Moja, L.; Tagliabue, L.; Balduzzi, S.; Parmelli, E.; Pistotti, V.; Guarneri, V.; D’Amico, R. Trastuzumab containing regimens for early breast cancer. Cochrane Database Syst. Rev. 2012, 2012, CD006243. [Google Scholar] [CrossRef] [PubMed]
- Balduzzi, S.; Mantarro, S.; Guarneri, V.; Tagliabue, L.; Pistotti, V.; Moja, L.; D’Amico, R. Trastuzumab-containing regimens for metastatic breast cancer. Cochrane Database Syst. Rev. 2014, 2014, CD006242. [Google Scholar] [CrossRef] [Green Version]
- Amiri-Kordestani, L.; Wedam, S.; Zhang, L.; Tang, S.; Tilley, A.; Ibrahim, A.; Justice, R.; Pazdur, R.; Cortazar, P. First FDA approval of neoadjuvant therapy for breast cancer: Pertuzumab for the treatment of patients with HER2-positive breast cancer. Clin. Cancer Res. 2014, 20, 5359–5364. [Google Scholar] [CrossRef] [PubMed] [Green Version]
- Swain, S.M.; Miles, D.; Kim, S.-B.; Im, Y.-H.; Im, S.-A.; Semiglazov, V.; Ciruelos, E.; Schneeweiss, A.; Loi, S.; Monturus, E.; et al. Pertuzumab, trastuzumab, and docetaxel for HER2-positive metastatic breast cancer (CLEOPATRA): End-of-study results from a double-blind, randomised, placebo-controlled, phase 3 study. Lancet Oncol. 2020, 21, 519–530. [Google Scholar] [CrossRef]
- Ben Dhia, S.; Loap, P.; Loirat, D.; Vincent-Salomon, A.; Cao, K.; Escalup, L.; Fourquet, A.; Kirova, Y. Association du double blocage de HER2 et radiothérapie dans la prise en charge du cancer du sein exprimant HER2. Cancer/Radiothérapie 2020, 24, 787. [Google Scholar] [CrossRef]
- Kirova, Y.M.; Hijal, T.; Campana, F.; Fournier-Bidoz, N.; Stilhart, A.; Dendale, R.; Fourquet, A. Whole breast radiotherapy in the lateral decubitus position: A dosimetric and clinical solution to decrease the doses to the organs at risk (OAR). Radiother Oncol. 2014, 110, 477–481. [Google Scholar] [CrossRef]
- Fournier-Bidoz, N.; Kirova, Y.M.; Campana, F.; Dendale, R.; Fourquet, A. Simplified field-in-field technique for a large-scale implementation in breast radiation treatment. Med. Dosim. 2012, 37, 131–137. [Google Scholar] [CrossRef]
- Kirova, Y.M.; Campana, F.; Fournier-Bidoz, N.; Stilhart, A.; Dendale, R.; Bollet, M.A.; Fourquet, A. Postmastectomy Electron Beam Chest Wall Irradiation in Women With Breast Cancer: A Clinical Step Toward Conformal Electron Therapy. Int. J. Radiat. Oncol. 2007, 69, 1139–1144. [Google Scholar] [CrossRef]
- Kirova, Y.M.; Fournier-Bidoz, N.; Servois, V.; Laki, F.; Pollet, G.A.; Salmon, R.; Thomas, A.; Dendale, R.; Bollet, M.A.; Campana, F.; et al. How to boost the breast tumor bed? A multidisciplinary approach in eight steps. Int. J. Radiat. Oncol. Biol. Phys. 2008, 72, 494–500. [Google Scholar] [CrossRef] [PubMed]
- Furet, E.; Peurien, D.; Fournier-Bidoz, N.; Servois, V.; Reyal, F.; Fourquet, A.; Rouzier, R.; Kirova, Y.M. Plastic surgery for breast conservation therapy: How to define the volume of the tumor bed for the boost? Eur. J. Surg. Oncol. 2014, 40, 830–834. [Google Scholar] [CrossRef] [PubMed]
- Lidbrink, E.; Chmielowska, E.; Otremba, B.; Bouhlel, A.; Lauer, S.; Liste Hermoso, M.; Nüesch, E.; Shing, M.; Misra, V. A real-world study of cardiac events in > 3700 patients with HER2-positive early breast cancer treated with trastuzumab: Final analysis of the OHERA study. Breast Cancer Res. Treat. 2019, 174, 187–196. [Google Scholar] [CrossRef] [PubMed] [Green Version]
- Pons-Tostivint, E.; Kirova, Y.; Lusque, A.; Campone, M.; Geffrelot, J.; Rivera, S.; Mailliez, A.; Pasquier, D.; Madranges, N.; Firmin, N.; et al. Radiation therapy to the primary tumor for de novo metastatic breast cancer and overall survival in a retrospective multicenter cohort analysis. Radiother Oncol. 2020, 145, 109–116. [Google Scholar] [CrossRef] [PubMed]
- Pons-Tostivint, E.; Kirova, Y.; Lusque, A.; Campone, M.; Geffrelot, J.; Mazouni, C.; Mailliez, A.; Pasquier, D.; Madranges, N.; Firmin, N.; et al. Survival Impact of Locoregional Treatment of the Primary Tumor in De Novo Metastatic Breast Cancers in a Large Multicentric Cohort Study: A Propensity Score-Matched Analysis. Ann. Surg. Oncol. 2019, 26, 356–365. [Google Scholar] [CrossRef] [PubMed]
- Swain, S.M.; Kim, S.-B.; Cortés, J.; Ro, J.; Semiglazov, V.; Campone, M.; Ciruelos, E.; Ferrero, J.-M.; Schneeweiss, A.; Knott, A.; et al. Pertuzumab, trastuzumab, and docetaxel for HER2-positive metastatic breast cancer (CLEOPATRA study): Overall survival results from a randomised, double-blind, placebo-controlled, phase 3 study. Lancet Oncol. 2013, 14, 461–471. [Google Scholar] [CrossRef] [Green Version]




| Characteristics | N (55) | % | |
|---|---|---|---|
| Age (years) | 53 (28–81) | ||
| Cardiovascular history | |||
| Yes | 4 | 7.3 | |
| No | 51 | 92.7 | |
| BMI | 23.1 (18.3−35.6) | ||
| Primary tumor laterality | |||
| Left | 21 | 38.2 | |
| Right | 31 | 56.4 | |
| Bilateral | 3 | 5.5 | |
| Histological type | |||
| Ductal | 52 | 94.5 | |
| Lobular | 2 | 3.6 | |
| Other | 1 | 1.8 | |
| Histological grade | |||
| 2 | 20 | 36.4 | |
| 3 | 32 | 58.2 | |
| NA | 3 | 5.5 | |
| Stage (at baseline) | |||
| T3-T4 | 32 | 58.2 | |
| N+ | 32 | 58.2 | |
| M+ | 35 | 63.6 | |
| Context of locoregional irradiation with Trastuzumab + Pertuzumab | |||
| Metastatic (at diagnosis) | 37 | 67.3 | |
| Metastatic (metachrone) | 8 | 14.5 | |
| Non metastatic setting | 10 | 18.2 | |
| Characteristics | N (37) | % | |
|---|---|---|---|
| Age (years) | 51 (28–68) | ||
| Cardiovascular history | |||
| Yes | 2 | 5.4 | |
| No | 35 | 94.6 | |
| BMI | 23.4 (18.3–34.0) | ||
| Primary tumor laterality | |||
| Left | 11 | 29.7 | |
| Right | 24 | 64.9 | |
| Bilateral | 2 | 5.4 | |
| Histological type | |||
| Ductal | 36 | 97.3 | |
| Lobular | 1 | 2.7 | |
| Histological grade | |||
| 2 | 13 | 35.1 | |
| 3 | 22 | 59.5 | |
| NA | 2 | 5.4 | |
| Metastatic site | 37 | 100 | |
| Bone | 9 | 24.3 | |
| Hepatic | 7 | 18.9 | |
| Lung | 6 | 16.2 | |
| Other organ | 2 | 5.4 | |
| Multiple organs | 13 | 35.1 | |
| Locoregional extension | |||
| T3-T4 | 23 | 62.2 | |
| N+ | 22 | 59.5 | |
Publisher’s Note: MDPI stays neutral with regard to jurisdictional claims in published maps and institutional affiliations. |
© 2021 by the authors. Licensee MDPI, Basel, Switzerland. This article is an open access article distributed under the terms and conditions of the Creative Commons Attribution (CC BY) license (https://creativecommons.org/licenses/by/4.0/).
Share and Cite
Aboudaram, A.; Loap, P.; Loirat, D.; Dhia, S.B.; Cao, K.; Fourquet, A.; Kirova, Y. Pertuzumab and Trastuzumab Combination with Concomitant Locoregional Radiotherapy for the Treatment of Breast Cancers with HER2 Receptor Overexpression. Cancers 2021, 13, 4790. https://doi.org/10.3390/cancers13194790
Aboudaram A, Loap P, Loirat D, Dhia SB, Cao K, Fourquet A, Kirova Y. Pertuzumab and Trastuzumab Combination with Concomitant Locoregional Radiotherapy for the Treatment of Breast Cancers with HER2 Receptor Overexpression. Cancers. 2021; 13(19):4790. https://doi.org/10.3390/cancers13194790
Chicago/Turabian StyleAboudaram, Amélie, Pierre Loap, Delphine Loirat, Syrine Ben Dhia, Kim Cao, Alain Fourquet, and Youlia Kirova. 2021. "Pertuzumab and Trastuzumab Combination with Concomitant Locoregional Radiotherapy for the Treatment of Breast Cancers with HER2 Receptor Overexpression" Cancers 13, no. 19: 4790. https://doi.org/10.3390/cancers13194790
APA StyleAboudaram, A., Loap, P., Loirat, D., Dhia, S. B., Cao, K., Fourquet, A., & Kirova, Y. (2021). Pertuzumab and Trastuzumab Combination with Concomitant Locoregional Radiotherapy for the Treatment of Breast Cancers with HER2 Receptor Overexpression. Cancers, 13(19), 4790. https://doi.org/10.3390/cancers13194790

