Algorithmically Deduced FREM2 Molecular Pathway Is a Potent Grade and Survival Biomarker of Human Gliomas
Abstract
:Simple Summary
Abstract
1. Introduction
2. Materials and Methods
2.1. The Cancer Genome Atlas (TCGA) Dataset
2.2. The Chinese Glioma Genome Atlas Dataset CGGA_325
2.3. The Chinese Glioma Genome Atlas Dataset CGGA_693
2.4. The Experimental Dataset
2.4.1. Biosamples
2.4.2. RNA Sequencing
2.5. Source Molecular Pathways
2.6. Pathway Activation Level Calculation
2.7. Statistical Analysis
3. Results
3.1. Glioma Expression Datasets
3.2. Compatibility of Glioma Gene Expression Data
3.3. Human Interactome Model
3.4. Reconstruction of FREM2 Molecular Pathway
3.5. FREM2 Gene and Pathways as LGG/GBM Grade Biomarkers
3.6. Performance of FREM2 Expression and Pathway Activation as OS and PFS Biomarker
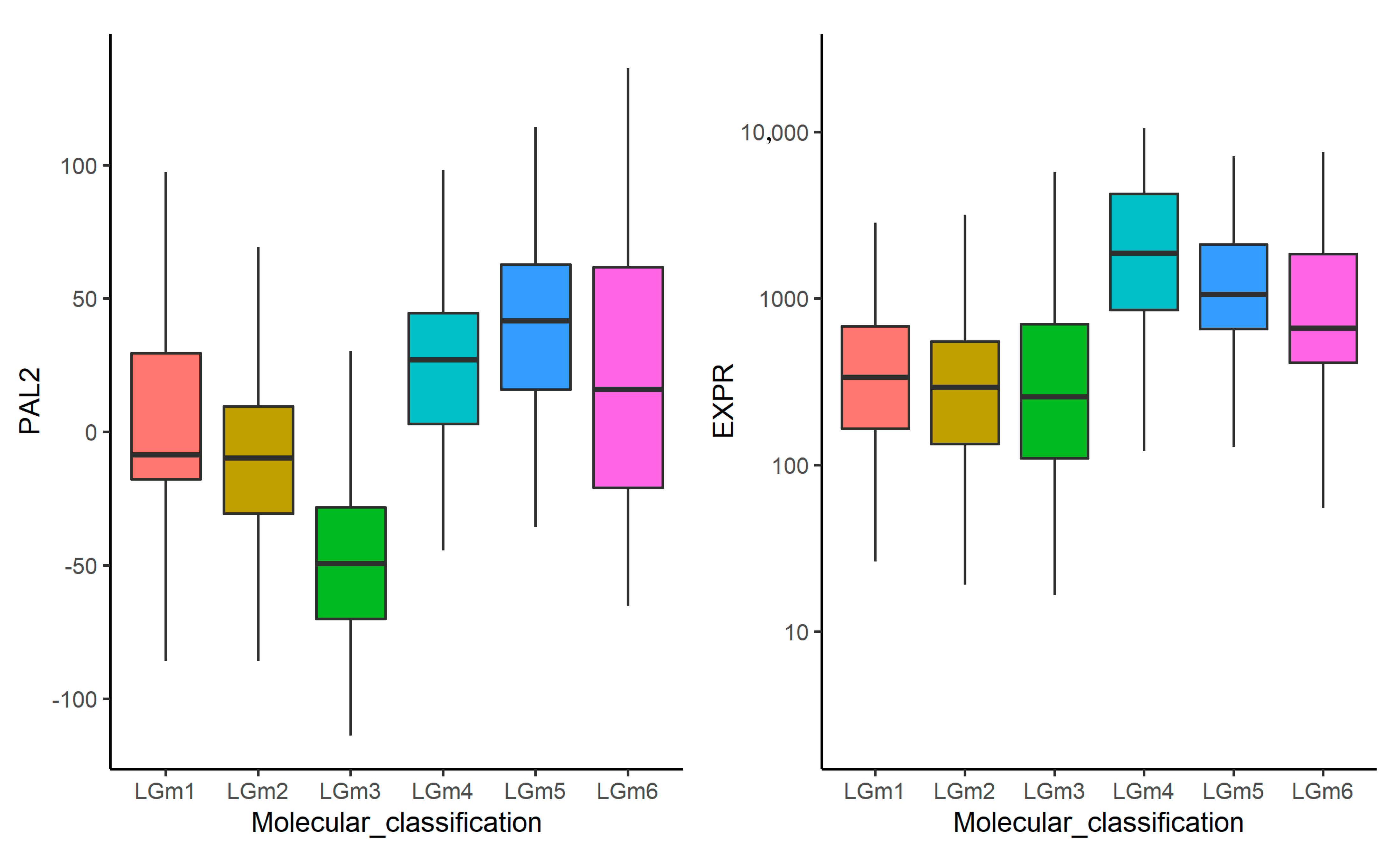
3.7. FREM2 Gene and Pathway as Molecular Subtype Biomarkers
4. Discussion
5. Conclusions
Supplementary Materials
Author Contributions
Funding
Institutional Review Board Statement
Informed Consent Statement
Data Availability Statement
Acknowledgments
Conflicts of Interest
References
- Ostrom, Q.T.; Cote, D.J.; Ascha, M.; Kruchko, C.; Barnholtz-Sloan, J.S. Adult Glioma Incidence and Survival by Race or Ethnicity in the United States from 2000 to 2014. JAMA Oncol. 2018, 4, 1254–1262. [Google Scholar] [CrossRef] [PubMed] [Green Version]
- Goodenberger, M.L.; Jenkins, R.B. Genetics of adult glioma. Cancer Genet. 2012, 205, 613–621. [Google Scholar] [CrossRef]
- Rajaratnam, V.; Islam, M.M.; Yang, M.; Slaby, R.; Ramirez, H.M.; Mirza, S.P. Glioblastoma: Pathogenesis and current status of chemotherapy and other novel treatments. Cancers 2020, 12, 937. [Google Scholar] [CrossRef] [PubMed] [Green Version]
- Ostrom, Q.T.; Gittleman, H.; Stetson, L.; Virk, S.; Barnholtz-Sloan, J.S. Epidemiology of Intracranial Gliomas. In Progress in Neurological Surgery; Karger: Basel, Switzerland, 2018; Volume 30, pp. 1–11. [Google Scholar]
- Anjum, K.; Shagufta, B.I.; Abbas, S.Q.; Patel, S.; Khan, I.; Shah, S.A.A.; Akhter, N.; Hassan, S.S. Current status and future therapeutic perspectives of glioblastoma multiforme (GBM) therapy: A review. Biomed. Pharmacother. 2017, 92, 681–689. [Google Scholar] [CrossRef]
- Witthayanuwat, S.; Pesee, M.; Supaadirek, C.; Supakalin, N.; Thamronganantasakul, K.; Krusun, S. Survival Analysis of Glioblastoma Multiforme. Asian Pac. J. Cancer Prev. 2018, 19, 2613–2617. [Google Scholar] [CrossRef]
- Hanif, F.; Muzaffar, K.; Perveen, K.; Malhi, S.M.; Simjee, S.U. Glioblastoma multiforme: A review of its epidemiology and pathogenesis through clinical presentation and treatment. Asian Pac. J. Cancer Prev. 2017, 18, 3–9. [Google Scholar]
- Dagogo-Jack, I.; Shaw, A.T. Tumour Heterogeneity and Resistance to Cancer Therapies; Nature Publishing Group: London, UK, 2018; Volume 15, pp. 81–94. [Google Scholar]
- Brat, D.; Verhaak, R.; Aldape, K.; Yung, A.; Salama, S.; Cooper, L.; Rheinbay, E.; Miller, R.; Vitucci, M.; Morozova, O.; et al. Comprehensive, Integrative Genomic Analysis of Diffuse Lower-Grade Gliomas. N. Engl. J. Med. 2015, 372, 2481–2498. [Google Scholar] [PubMed] [Green Version]
- Songtao, Q.; Lei, Y.; Si, G.; Yanqing, D.; Huixia, H.; Xuelin, Z.; Lanxiao, W.; Fei, Y. IDH mutations predict longer survival and response to temozolomide in secondary glioblastoma. Cancer Sci. 2011, 103, 269–273. [Google Scholar] [CrossRef]
- Everhard, S.; Kaloshi, G.; Crinièr, E.C.; Benouaich-Amiel, A.; Lejeune, J.; Marie, Y.; Sanson, M.; Kujas, M.; Mokhtari, K.; Hoang-Xuan, K.; et al. MGMT methylation: A marker of response to temozolomide in low-grade gliomas. Ann. Neurol. 2006, 60, 740–743. [Google Scholar] [CrossRef]
- Xia, L.; Wu, B.; Fu, Z.; Feng, F.; Qiao, E.; Li, Q.; Sun, C.; Ge, M. Prognostic role of IDH mutations in gliomas: A meta-analysis of 55 observational studies. Oncotarget 2015, 6, 17354–17365. [Google Scholar] [CrossRef] [Green Version]
- Zhang, K.; Wang, X.Q.; Zhou, B.; Zhang, L. The prognostic value of MGMT promoter methylation in Glio-blastoma multiforme: A meta-analysis. Fam. Cancer 2013, 12, 449–458. [Google Scholar] [CrossRef] [PubMed]
- Iaccarino, C.; Orlandi, E.; Ruggeri, F.; Nicoli, D.; Torricelli, F.; Maggi, M.; Cerasti, D.; Pisanello, A.; Pedrazzi, G.; Froio, E.; et al. Prognostic value of MGMT promoter status in non-resectable glioblastoma after adjuvant therapy. Clin. Neurol. Neurosurg. 2015, 132, 1–8. [Google Scholar] [CrossRef]
- Vidak, M.; Jovcevska, I.; Samec, N.; Zottel, A.; Liovic, M.; Rozman, D.; Dzeroski, S.; Juvan, P.; Komel, R. Me-ta-analysis and experimental validation identified FREM2 and SPRY1 as new glioblastoma marker candi-dates. Int. J. Mol. Sci. 2018, 19, 1369. [Google Scholar] [CrossRef] [Green Version]
- Jovčevska, I.; Zottel, A.; Šamec, N.; Mlakar, J.; Sorokin, M.; Nikitin, D.; Buzdin, A.A.; Komel, R. High FREM2 Gene and Protein Expression Are Associated with Favorable Prognosis of IDH-WT Glioblastomas. Cancers 2019, 11, 1060. [Google Scholar] [CrossRef] [PubMed] [Green Version]
- Weinstein, J.N.; Collisson, E.A.; Mills, G.B.; Shaw, K.R.M.M.; Ozenberger, B.A.; Ellrott, K.; Sander, C.; Stuart, J.M.; Chang, K.; Creighton, C.J.; et al. The Cancer Genome Atlas Pan-Cancer Analysis Project; Nature Publishing Group: London, UK, 2013; Volume 45, pp. 1113–1120. [Google Scholar]
- Bady, P.; Sciuscio, D.; Diserens, A.-C.; Bloch, J.; Bent, M.V.D.; Marosi, C.; Dietrich, P.-Y.; Weller, M.; Mariani, L.; Heppner, F.; et al. MGMT methylation analysis of glioblastoma on the Infinium methylation BeadChip identifies two distinct CpG regions associated with gene silencing and outcome, yielding a prediction model for comparisons across datasets, tumor grades, and CIMP-status. Acta Neuropathol. 2012, 124, 547–560. [Google Scholar] [CrossRef] [PubMed] [Green Version]
- Ceccarelli, M.; Barthel, F.P.; Malta, T.M.; Sabedot, T.S.; Salama, S.R.; Murray, B.A.; Morozova, O.; Newton, Y.; Radenbaugh, A.; Pagnotta, S.M.; et al. Molecular Profiling Reveals Biologically Discrete Subsets and Pathways of Progression in Diffuse Glioma. Cell 2016, 164, 550–563. [Google Scholar] [CrossRef] [Green Version]
- Zhao, Z.; Meng, F.; Wang, W.; Wang, Z.; Zhang, C.; Jiang, T. Comprehensive RNA-seq transcriptomic profil-ing in the malignant progression of gliomas. Sci. Data 2017, 4, 1–7. [Google Scholar] [CrossRef]
- Bao, Z.S.; Chen, H.M.; Yang, M.Y.; Zhang, C.B.; Yu, K.; Ye, W.L.; Hu, B.Q.; Yan, W.; Zhang, W.; Akers, J.; et al. RNA-seq of 272 gliomas revealed a novel, recurrent PTPRZ1-MET fusion transcript in secondary glioblas-tomas. Genome Res. 2014, 24, 1765–1773. [Google Scholar] [CrossRef] [PubMed] [Green Version]
- Liu, X.; Li, Y.; Qian, Z.; Sun, Z.; Xu, K.; Wang, K.; Liu, S.; Fan, X.; Li, S.; Zhang, Z.; et al. A radiomic signature as a non-invasive predictor of progression-free survival in patients with lower-grade gliomas. NeuroImage Clin. 2018, 20, 1070–1077. [Google Scholar] [CrossRef] [PubMed]
- Wang, Y.; Qian, T.; You, G.; Peng, X.; Chen, C.; You, Y.; Yao, K.; Wu, C.; Ma, J.; Sha, Z.; et al. Localizing sei-zure-susceptible brain regions associated with low-grade gliomas using voxel-based lesion-symptom mapping. Neuro Oncol. 2015, 17, 282–288. [Google Scholar] [CrossRef] [Green Version]
- Kim, E.L.; Sorokin, M.; Kantelhardt, S.R.; Kalasauskas, D.; Sprang, B.; Fauss, J.; Ringel, F.; Garazha, A.; Albert, E.; Gaifullin, N.; et al. Intratumoral Heterogeneity and Longitudinal Changes in Gene Expression Predict Differential Drug Sensitivity in Newly Diagnosed and Recurrent Glioblastoma. Cancers 2020, 12, 520. [Google Scholar] [CrossRef] [PubMed] [Green Version]
- Dobin, A.; Davis, C.A.; Schlesinger, F.; Drenkow, J.; Zaleski, C.; Jha, S.; Batut, P.; Chaisson, M.; Gingeras, T. STAR: Ultrafast universal RNA-seq aligner. Bioinformatics 2013, 29, 15–21. [Google Scholar] [CrossRef]
- Croft, D.; Mundo, A.F.; Haw, R.; Milacic, M.; Weiser, J.; Wu, G.; Caudy, M.; Garapati, P.V.; Gillespie, M.; Kamdar, M.R.; et al. The Reactome pathway knowledgebase. Nucleic Acids Res. 2014, 42, D472–D477. [Google Scholar] [CrossRef]
- Schaefer, C.F.; Anthony, K.; Krupa, S.; Buchoff, J.; Day, M.; Hannay, T.; Buetow, K.H. PID: The Pathway Interaction Database. Nucleic Acids Res. 2009, 37, D674–D679. [Google Scholar] [CrossRef]
- Nishimura, D. BioCarta. Biotechnol. Softw. Internet Rep. 2001, 2, 117–120. [Google Scholar] [CrossRef]
- QIAGEN—Pathway-Central. Available online: https://www.qiagen.com/us/shop/genes-and-pathways/pathway-central/ (accessed on 19 September 2018).
- Buzdin, A.A.; Sorokin, M.; Borisov, N.M.; Kuzmin, D.; Gudkov, A.; Zolotovskaia, M.A.; Garazha, A.V. Algo-rithmic annotation of functional roles for components of 3044 human molecular pathways. Front. Genet. 2021, 12, 139. [Google Scholar]
- Buzdin, A.A.; Prassolov, V.; Zhavoronkov, A.A.; Borisov, N.M. Bioinformatics Meets Biomedicine: OncoFinder, a Quantitative Approach for Interrogating Molecular Pathways Using Gene Expression Data. Methods Mol. Biol. 2017, 1613, 53–83. [Google Scholar] [CrossRef] [PubMed]
- Borisov, N.; Sorokin, M.; Garazha, A.; Buzdin, A. Quantitation of Molecular Pathway Activation Using RNA Sequencing Data. Methods Mol. Biol. 2020, 2063, 189–206. [Google Scholar] [CrossRef]
- Zolotovskaia, M.A.; Sorokin, M.I.; Petrov, I.V.; Poddubskaya, E.V.; Moiseev, A.A.; Sekacheva, M.I.; Borisov, N.M.; Tkachev, V.S.; Garazha, A.V.; Kaprin, A.D.; et al. Disparity between inter-patient molecular heteroge-neity and repertoires of target drugs used for different types of cancer in clinical oncology. Int. J. Mol. Sci. 2020, 21, 1580. [Google Scholar] [CrossRef] [Green Version]
- Love, M.I.; Huber, W.; Anders, S. Moderated estimation of fold change and dispersion for RNA-seq data with DESeq2. Genome Biol. 2014, 15, 550. [Google Scholar] [CrossRef] [Green Version]
- R Core Team. R: A Language and Environment for Statistical Computing; R Foundation for Statistical Computing: Vienna, Austria, 2019; Available online: https://www.R-project.org/ (accessed on 14 April 2020).
- Jacomy, M.; Venturini, T.; Heymann, S.; Bastian, M. ForceAtlas2, a Continuous Graph Layout Algorithm for Handy Network Visualization Designed for the Gephi Software. PLoS ONE 2014, 9, e98679. [Google Scholar] [CrossRef]
- Vladimirova, U.; Rumiantsev, P.; Zolotovskaia, M.; Albert, E.; Abrosimov, A.; Slashchuk, K.; Nikiforovich, P.; Chukhacheva, O.; Gaifullin, N.; Suntsova, M.; et al. DNA repair pathway activation features in follicular and papillary thyroid tumors, interrogated using 95 experimental RNA sequencing profiles. Heliyon 2021, 7, e06408. [Google Scholar] [CrossRef] [PubMed]
- Chen, L.; Zhou, Y.; Tang, X.; Yang, C.; Tian, Y.; Xie, R.; Chen, T.; Yang, J.; Jing, M.; Chen, F.; et al. EGFR mutation decreases FDG uptake in non-small cell lung cancer via the NOX4/ROS/GLUT1 axis. Int. J. Oncol. 2018, 54, 370–380. [Google Scholar] [CrossRef] [PubMed] [Green Version]
- Liu, T.; Cheng, G.; Kang, X.; Xi, Y.; Zhu, Y.; Wang, K.; Sun, C.; Ye, J.; Li, P.; Yin, H. Noninvasively evaluating the grading and IDH1 mutation status of diffuse gliomas by three-dimensional pseudo-continuous arterial spin labeling and diffusion-weighted imaging. Neuroradiology 2018, 60, 693–702. [Google Scholar] [CrossRef] [PubMed]
- Tanioka, M.; Fan, C.; Parker, J.S.; Hoadley, K.A.; Hu, Z.; Li, Y.; Hyslop, T.M.; Pitcher, B.N.; Soloway, M.G.; Spears, P.A.; et al. Integrated Analysis of RNA and DNA from the Phase III Trial CALGB 40601 Identifies Predictors of Response to Trastuzumab-Based Neoadjuvant Chemotherapy in HER2-Positive Breast Cancer. Clin. Cancer Res. 2018, 24, 5292–5304. [Google Scholar] [CrossRef] [Green Version]
- Kamashev, D.; Sorokin, M.; Kochergina, I.; Drobyshev, A.; Vladimirova, U.; Zolotovskaia, M.; Vorotnikov, I.; Shaban, N.; Raevskiy, M.; Kuzmin, D.; et al. Human blood serum can donor-specifically antagonize effects of EGFR-targeted drugs on squamous carcinoma cell growth. Heliyon 2021, 7, e06394. [Google Scholar] [CrossRef]
- Borisov, N.; Sorokin, M.; Tkachev, V.; Garazha, A.; Buzdin, A. Cancer gene expression profiles associated with clinical outcomes to chemotherapy treatments. BMC Med. Genom. 2020, 13, 111. [Google Scholar] [CrossRef]
- Boyd, J.C. Mathematical tools for demonstrating the clinical usefulness of biochemical markers. Scand. J. Clin. Lab. Investig. Suppl. 1997, 227, 46–63. [Google Scholar] [CrossRef]
- Safari, S.; Baratloo, A.; Elfil, M.; Negida, A. Evidence Based Emergency Medicine; Part 5 Receiver Operating Curve and Area under the Curve. Emergency 2016, 4, 111–113. [Google Scholar] [PubMed]
- Mandrekar, J.N. Receiver Operating Characteristic Curve in Diagnostic Test Assessment. J. Thorac. Oncol. 2010, 5, 1315–1316. [Google Scholar] [CrossRef] [Green Version]
- Capper, D.; Jones, D.T.W.; Sill, M.; Hovestadt, V.; Schrimpf, D.; Sturm, D.; Koelsche, C.; Sahm, F.; Chavez, L.; Reuss, D.E.; et al. DNA methylation-based classification of central nervous system tumours. Nat. Cell Biol. 2018, 555, 469–474. [Google Scholar] [CrossRef]
- Nagaishi, M.; Kim, Y.-H.; Mittelbronn, M.; Giangaspero, F.; Paulus, W.; Brokinkel, B.; Vital, A.; Tanaka, Y.; Nakazato, Y.; Legras-Lachuer, C.; et al. Amplification of the STOML3, FREM2, and LHFP Genes is Associated with Mesenchymal Differentiation in Gliosarcoma. Am. J. Pathol. 2012, 180, 1816–1823. [Google Scholar] [CrossRef]
- Jovčevska, I.; Zupanec, N.; Urlep, Ž.; Vranic, A.; Matos, B.; Stokin, C.L.; Muyldermans, S.; Myers, M.P.; Buzdin, A.A.; Petrov, I.; et al. Differentially expressed proteins in glioblastoma multiforme identified with a nano-body-based anti-proteome approach and confirmed by OncoFinder as possible tumor-class predictive bi-omarker candidates. Oncotarget 2017, 8, 44141–44158. [Google Scholar] [CrossRef]
- Umeda, S.; Kanda, M.; Miwa, T.; Tanaka, H.; Tanaka, C.; Kobayashi, D.; Hayashi, M.; Yamada, S.; Nakayama, G.; Koike, M.; et al. Fraser extracellular matrix complex subunit 1 promotes liver metastasis of gastric cancer. Int. J. Cancer 2020, 146, 2865–2876. [Google Scholar] [CrossRef]
- Li, H.; Li, X.; Lv, Z.; Cai, M.; Wang, G.; Yang, Z. Elevated expression of FREM1 in breast cancer indicates favorable prognosis and high-level immune infiltration status. Cancer Med. 2020, 9, 9554–9570. [Google Scholar] [CrossRef] [PubMed]
- Paolillo, M.; Serra, M.; Schinelli, S. Integrins in glioblastoma: Still an attractive target? Pharmacol. Res. 2016, 113, 55–61. [Google Scholar] [CrossRef] [PubMed]
- Tabatabai, G.; Tonn, J.-C.; Stupp, R.; Weller, M. The Role of Integrins in Glioma Biology and Anti-Glioma Therapies. Curr. Pharm. Des. 2011, 17, 2402–2410. [Google Scholar] [CrossRef]
- Ritchie, C.K.; Giordano, A.; Khalili, K. Integrin involvement in glioblastoma multiforme: Possible regulation by NF-κB. J. Cell. Physiol. 2000, 184, 214–221. [Google Scholar] [CrossRef]
- Wrensch, M.; Fisher, J.L.; Schwartzbaum, J.A.; Bondy, M.; Berger, M.; Aldape, K.D. The molecular epidemiology of gliomas in adults. Neurosurg. Focus 2005, 19, 1–11. [Google Scholar] [CrossRef] [PubMed]
- Choi, S.; Yu, Y.; Grimmer, M.R.; Wahl, M.; Chang, S.M.; Costello, J.F. Temozolomide-associated hypermutation in gliomas. Neuro Oncol. 2018, 20, 1300–1309. [Google Scholar] [CrossRef] [Green Version]
- Suvà, M.L. Genetics and epigenetics of gliomas. Swiss Med. Wkly. 2014, 144, w14018. [Google Scholar] [CrossRef] [PubMed]
- Hegi, M.E.; Diserens, A.-C.; Gorlia, T.; Hamou, M.-F.; de Tribolet, N.; Weller, M.; Kros, J.M.; Hainfellner, J.A.; Mason, W.; Mariani, L.; et al. MGMT Gene Silencing and Benefit from Temozolomide in Glioblastoma. N. Engl. J. Med. 2005, 352, 997–1003. [Google Scholar] [CrossRef] [PubMed] [Green Version]
- Cairncross, G.; Berkey, B.; Shaw, E.; Jenkins, R.; Scheithauer, B.; Brachman, D.; Buckner, J.; Fink, K.; Souhami, L.; Laperierre, N.; et al. Phase III Trial of Chemotherapy Plus Radiotherapy Compared with Radiotherapy Alone for Pure and Mixed Anaplastic Oligodendroglioma: Intergroup Radiation Therapy Oncology Group Trial 9402. J. Clin. Oncol. 2006, 24, 2707–2714. [Google Scholar] [CrossRef] [PubMed] [Green Version]
- Bent, M.J.V.D.; Carpentier, A.F.; Brandes, A.; Sanson, M.; Taphoorn, M.J.B.; Bernsen, H.J.J.A.; Frenay, M.; Tijssen, C.C.; Grisold, W.; Sipos, L.; et al. Adjuvant Procarbazine, Lomustine, and Vincristine Improves Progression-Free Survival but Not Overall Survival in Newly Diagnosed Anaplastic Oligodendrogliomas and Oligoastrocytomas: A Randomized European Organisation for Research and Treatment of Cancer Phase III Trial. J. Clin. Oncol. 2006, 24, 2715–2722. [Google Scholar] [CrossRef] [PubMed] [Green Version]
- Larsson, C.; Groote, I.; Vardal, J.; Kleppestø, M.; Odland, A.; Brandal, P.; Due-Tønnessen, P.; Holme, S.S.; Hope, T.R.; Meling, T.R.; et al. Prediction of survival and progression in glioblastoma patients using temporal per-fusion changes during radiochemotherapy. Magn. Reson. Imaging 2020, 68, 106–112. [Google Scholar] [CrossRef]
- Baid, U.; Rane, S.; Talbar, S.; Gupta, S.; Thakur, M.H.; Moiyadi, A.; Mahajan, A. Overall Survival Prediction in Glioblastoma with Radiomic Features Using Machine Learning. Front. Comput. Neurosci. 2020, 14, 61. [Google Scholar] [CrossRef] [PubMed]
- Tewarie, I.A.; Senders, J.T.; Kremer, S.; Devi, S.; Gormley, W.B.; Arnaout, O.; Smith, T.R.; Broekman, M.L.D. Survival prediction of glioblastoma patients—Are we there yet? A systematic review of prognostic modeling for glioblastoma and its clinical potential. Neurosurg. Rev. 2021, 44, 2047–2057. [Google Scholar] [CrossRef]
- Shen, F.; Zhang, Y.; Yao, Y.; Hua, W.; Zhang, H.S.; Wu, J.S.; Zhong, P.; Zhou, L.F. Proteomic analysis of cere-brospinal fluid: Toward the identification of biomarkers for gliomas. Neurosurg. Rev. 2014, 37, 367–380. [Google Scholar] [CrossRef] [PubMed]









| t-Test p-Value | ||||||
|---|---|---|---|---|---|---|
| PAL3 | PAL2 | PAL1 | FREM2 | IDH Mutation | MGMT Methylation | |
| TCGA | 4.35 × 10−30 | 1.92 × 10−47 | 4.23 × 10−49 | 4.68 × 10−7 | 7.75 × 10−91 | 2.51 × 10−14 |
| CGGA_325 | 1.08 × 10−10 | 1.63 × 10−13 | 7.74 × 10−13 | 4.46 × 10−4 | 3.66 × 10−16 | 3.81 × 10−1 |
| CGGA_693 | 4.99 × 10−25 | 1.49 × 10−28 | 1.77 × 10−27 | 4.57 × 10−5 | 1.86 × 10−49 | 8.36 × 10−2 |
| AUC | ||||||
| PAL3 | PAL2 | PAL1 | FREM2 | IDH Mutation | MGMT Methylation | |
| TCGA | 0.80 | 0.86 | 0.87 | 0.76 | 0.83 | 0.7 |
| CGGA_325 | 0.72 | 0.74 | 0.73 | 0.66 | 0.72 | 0.53 |
| CGGA_693 | 0.74 | 0.75 | 0.75 | 0.66 | 0.78 | 0.54 |
| Cancer Type and Functional Characteristic Assessed | Interrogated Dataset | |||
|---|---|---|---|---|
| TCGA (n = 153 GBM, 505 LGG) | CGGA_325 (n = 137 GBM, 172 LGG) | CGGA_693 (n = 237 GBM, 420 LGG) | Experimental (n = 39 GBM) | |
| OS, GBM | − | + | − | N/A |
| OS, GBM, MGMT methylated | − | − | − | N/A |
| OS, GBM, MGMT_unmethylated | − | − | − | N/A |
| OS, GBM, IDH mutated | N/A | − | + | N/A |
| OS, LGG, IDH mutated without 1p/19q codeletion | N/A | − | − | N/A |
| OS, GBM, IDH wild-type | − | + | − | N/A |
| OS, LGG | + | + | + | N/A |
| OS, LGG, MGMT methylated | + | + | + | N/A |
| OS, LGG, MGMT_unmethylated | − | + | + | N/A |
| OS, LGG, IDH mutated | + | + | + | N/A |
| OS, LGG, IDH wild-type | + | − | − | N/A |
| OS, LGG, IDH mutated+1p/19q codeletion | − | − | − | N/A |
| OS, LGG, IDH mutated without 1p/19q codeletion | − | − | − | N/A |
| PFS, GBM | + | N/A | N/A | + |
| PFS, GBM, MGMT methylated | − | N/A | N/A | N/A |
| PFS, GBM, MGMT_unmethylated | + | N/A | N/A | N/A |
| PFS, GBM, IDH mutated | N/A | N/A | N/A | N/A |
| PFS, GBM, IDH wild-type | + | N/A | N/A | N/A |
| PFS, LGG, IDH mutated+1p/19q codeletion | + | N/A | N/A | N/A |
| PFS, LGG, IDH mutated without 1p/19q codeletion | − | N/A | N/A | N/A |
| PFS, LGG | + | N/A | N/A | N/A |
| PFS, LGG, MGMT methylated | + | N/A | N/A | N/A |
| PFS, LGG, MGMT unmethylated | − | N/A | N/A | N/A |
| PFS, LGG, IDH mutated | + | N/A | N/A | N/A |
| PFS, LGG, IDH wild-type | + | N/A | N/A | N/A |
| t-Test p-Value | ||||||
|---|---|---|---|---|---|---|
| PAL2 | FREM2 Expression | |||||
| Mesenchymal vs. Proneural | Proneural vs. Classical | Mesenchymal vs. Classical | Mesenchymal vs. Proneural | Proneural vs. Classical | Mesenchymal vs. Classical | |
| TCGA | 3.59 × 10−13 | 6.11 × 10−2 | 4.28 × 10−10 | 2.39 × 10−1 | 7.69 × 10−3 | 1.60 × 10−4 |
| CGGA_325 | 1.67 × 10−4 | 9.48 × 10−1 | 4.18 × 10−10 | 6.45 × 10−1 | 2.25 × 10−2 | 2.61 × 10−1 |
| CGGA_693 | 1.23 × 10−5 | 8.40 × 10−1 | 1.23 × 10−5 | 8.45 × 10−1 | 2.17 × 10−2 | 8.47 × 10−2 |
| AUC | ||||||
| PAL2 | FREM2 Expression | |||||
| Mesenchymal vs. Proneural | Proneural vs. Classical | Mesenchymal vs. Classical | Mesenchymal vs. Proneural | Proneural vs. Classical | Mesenchymal vs. Classical | |
| TCGA | 0.90 | 0.61 | 0.85 | 0.56 | 0.66 | 0.73 |
| CGGA_325 | 0.86 | 0.52 | 0.87 | 0.58 | 0.67 | 0.75 |
| CGGA_693 | 0.71 | 0.50 | 0.72 | 0.56 | 0.73 | 0.69 |
Publisher’s Note: MDPI stays neutral with regard to jurisdictional claims in published maps and institutional affiliations. |
© 2021 by the authors. Licensee MDPI, Basel, Switzerland. This article is an open access article distributed under the terms and conditions of the Creative Commons Attribution (CC BY) license (https://creativecommons.org/licenses/by/4.0/).
Share and Cite
Zolotovskaia, M.; Tkachev, V.; Sorokin, M.; Garazha, A.; Kim, E.; Kantelhardt, S.R.; Bikar, S.-E.; Zottel, A.; Šamec, N.; Kuzmin, D.; et al. Algorithmically Deduced FREM2 Molecular Pathway Is a Potent Grade and Survival Biomarker of Human Gliomas. Cancers 2021, 13, 4117. https://doi.org/10.3390/cancers13164117
Zolotovskaia M, Tkachev V, Sorokin M, Garazha A, Kim E, Kantelhardt SR, Bikar S-E, Zottel A, Šamec N, Kuzmin D, et al. Algorithmically Deduced FREM2 Molecular Pathway Is a Potent Grade and Survival Biomarker of Human Gliomas. Cancers. 2021; 13(16):4117. https://doi.org/10.3390/cancers13164117
Chicago/Turabian StyleZolotovskaia, Marianna, Victor Tkachev, Maxim Sorokin, Andrew Garazha, Ella Kim, Sven Rainer Kantelhardt, Sven-Ernö Bikar, Alja Zottel, Neja Šamec, Denis Kuzmin, and et al. 2021. "Algorithmically Deduced FREM2 Molecular Pathway Is a Potent Grade and Survival Biomarker of Human Gliomas" Cancers 13, no. 16: 4117. https://doi.org/10.3390/cancers13164117
APA StyleZolotovskaia, M., Tkachev, V., Sorokin, M., Garazha, A., Kim, E., Kantelhardt, S. R., Bikar, S.-E., Zottel, A., Šamec, N., Kuzmin, D., Sprang, B., Moisseev, A., Giese, A., Efimov, V., Jovčevska, I., & Buzdin, A. (2021). Algorithmically Deduced FREM2 Molecular Pathway Is a Potent Grade and Survival Biomarker of Human Gliomas. Cancers, 13(16), 4117. https://doi.org/10.3390/cancers13164117

