Conditioning Intensity, Pre-Transplant Flow Cytometric Measurable Residual Disease, and Outcome in Adults with Acute Myeloid Leukemia Undergoing Allogeneic Hematopoietic Cell Transplantation
Abstract
1. Introduction
2. Results
2.1. Patient and Transplant Characteristics
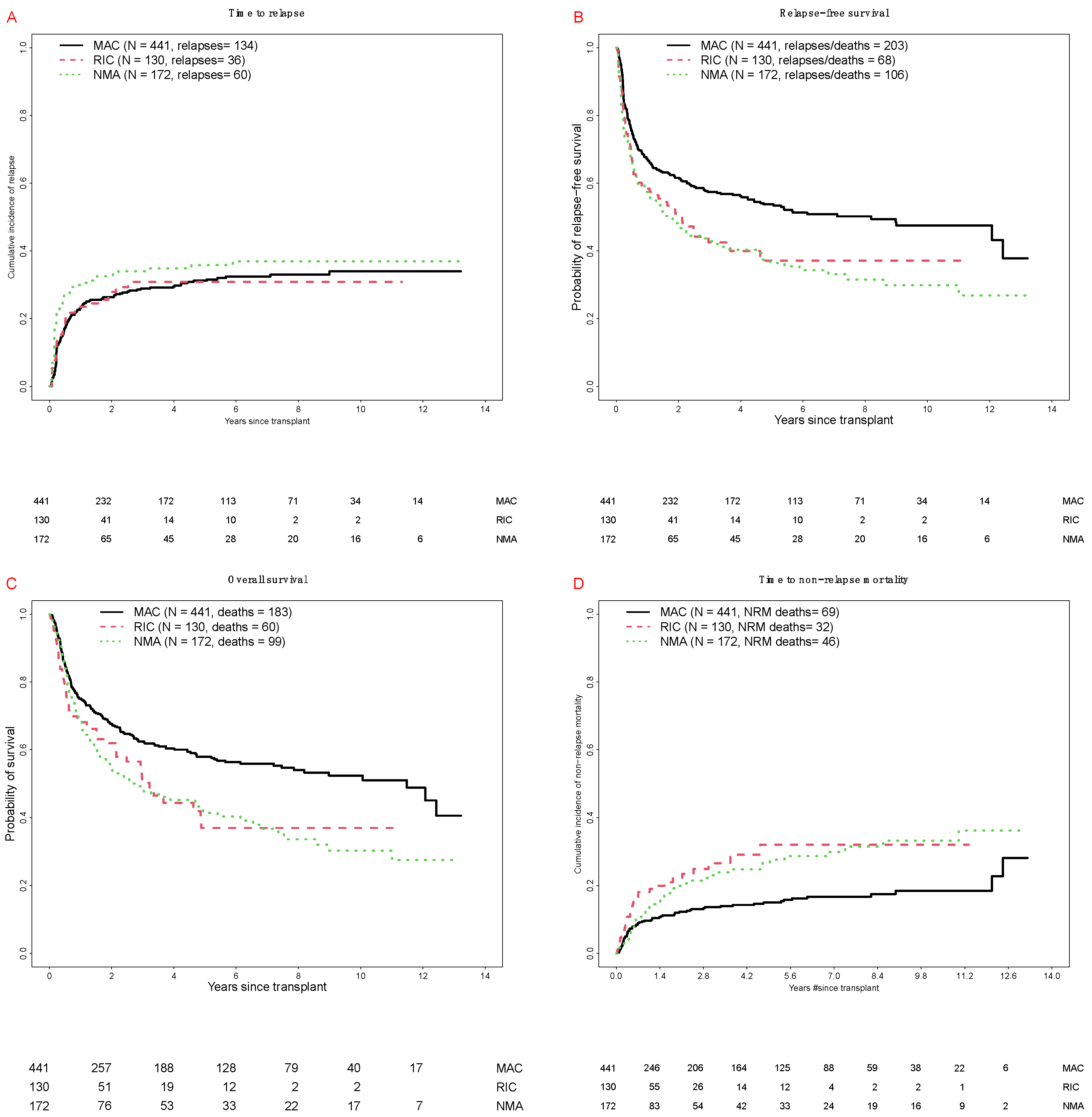
2.2. Association between MRD Status, Conditioning Intensity, and Post-HCT Outcome
2.3. Relationship between Pre-HCT MRD Status and Conditioning Regimen
2.4. Relationship between MRD Status and Pre-HCT Conditioning Regimen in Different Subsets of Patients
3. Discussion
4. Materials and Methods
4.1. Study Cohort
4.2. Types and Intensity of Conditioning Regimens
4.3. Classification of Disease Risk at Diagnosis and Cytogenetic Analysis at the Time of HCT
4.4. Detection of MRD by Multiparameter Flow Cytometry
4.5. Statistical Analysis
5. Conclusions
Supplementary Materials
Author Contributions
Funding
Acknowledgments
Conflicts of Interest
References
- Cornelissen, J.J.; Gratwohl, A.; Schlenk, R.F.; Sierra, J.; Bornhäuser, M.; Juliusson, G.; Råcil, Z.; Rowe, J.M.; Russell, N.; Mohty, M.; et al. The European LeukemiaNet AML Working Party consensus statement on allogeneic HSCT for patients with AML in remission: An integrated-risk adapted approach. Nat. Rev. Clin. Oncol. 2012, 9, 579–590. [Google Scholar] [CrossRef] [PubMed]
- Döhner, H.; Estey, E.; Grimwade, D.; Amadori, S.; Appelbaum, F.R.; Buchner, T.; Dombret, H.; Ebert, B.L.; Fenaux, P.; Larson, R.A.; et al. Diagnosis and management of AML in adults: 2017 ELN recommendations from an international expert panel. Blood 2017, 129, 424–447. [Google Scholar] [CrossRef] [PubMed]
- Hourigan, C.S.; Gale, R.P.; Gormley, N.J.; Ossenkoppele, G.J.; Walter, R.B. Measurable residual disease testing in acute myeloid leukaemia. Leukemia 2017, 31, 1482–1490. [Google Scholar] [CrossRef] [PubMed]
- Schuurhuis, G.J.; Heuser, M.; Freeman, S.; Béné, M.C.; Buccisano, F.; Cloos, J.; Grimwade, D.; Haferlach, T.; Hills, R.K.; Hourigan, C.S.; et al. Minimal/measurable residual disease in AML: A consensus document from the European LeukemiaNet MRD Working Party. Blood 2018, 131, 1275–1291. [Google Scholar] [CrossRef] [PubMed]
- Buckley, S.A.; Wood, B.L.; Othus, M.; Hourigan, C.S.; Ustun, C.; Linden, M.A.; DeFor, T.E.; Malagola, M.; Anthias, C.; Valkova, V.; et al. Minimal residual disease prior to allogeneic hematopoietic cell transplantation in acute myeloid leukemia: A meta-analysis. Haematologica 2017, 102, 865–873. [Google Scholar] [CrossRef] [PubMed]
- Thol, F.; Gabdoulline, R.; Liebich, A.; Klement, P.; Schiller, J.; Kandziora, C.; Hambach, L.; Stadler, M.; Koenecke, C.; Flintrop, M.; et al. Measurable residual disease monitoring by NGS before allogeneic hematopoietic cell transplantation in AML. Blood 2018, 132, 1703–1713. [Google Scholar] [CrossRef]
- Aoudjhane, M.; Labopin, M.; Gorin, N.C.; Shimoni, A.; Ruutu, T.; Kolb, H.J.; Frassoni, F.; Boiron, J.M.; Yin, J.L.; Finke, J.; et al. Comparative outcome of reduced intensity and myeloablative conditioning regimen in HLA identical sibling allogeneic haematopoietic stem cell transplantation for patients older than 50 years of age with acute myeloblastic leukaemia: A retrospective survey from the Acute Leukemia Working Party (ALWP) of the European group for Blood and Marrow Transplantation (EBMT). Leukemia 2005, 19, 2304–2312. [Google Scholar] [CrossRef]
- Shimoni, A.; Hardan, I.; Shem-Tov, N.; Yeshurun, M.; Yerushalmi, R.; Avigdor, A.; Ben-Bassat, I.; Nagler, A. Allogeneic hematopoietic stem-cell transplantation in AML and MDS using myeloablative versus reduced-intensity conditioning: The role of dose intensity. Leukemia 2006, 20, 322–328. [Google Scholar] [CrossRef]
- Alyea, E.P.; Kim, H.T.; Ho, V.; Cutler, C.; DeAngelo, D.J.; Stone, R.; Ritz, J.; Antin, J.H.; Soiffer, R.J. Impact of conditioning regimen intensity on outcome of allogeneic hematopoietic cell transplantation for advanced acute myelogenous leukemia and myelodysplastic syndrome. Biol. Blood Marrow Transpl. 2006, 12, 1047–1055. [Google Scholar] [CrossRef]
- Ringdén, O.; Labopin, M.; Ehninger, G.; Niederwieser, D.; Olsson, R.; Basara, N.; Finke, J.; Schwerdtfeger, R.; Eder, M.; Bunjes, D.; et al. Reduced intensity conditioning compared with myeloablative conditioning using unrelated donor transplants in patients with acute myeloid leukemia. J. Clin. Oncol. 2009, 27, 4570–4577. [Google Scholar] [CrossRef]
- Luger, S.M.; Ringdén, O.; Zhang, M.J.; Pérez, W.S.; Bishop, M.R.; Bornhauser, M.; Bredeson, C.N.; Cairo, M.S.; Copelan, E.A.; Gale, R.P.; et al. Similar outcomes using myeloablative vs reduced-intensity allogeneic transplant preparative regimens for AML or MDS. Bone Marrow Transpl. 2012, 47, 203–211. [Google Scholar] [CrossRef] [PubMed]
- Scott, B.L.; Pasquini, M.C.; Logan, B.R.; Wu, J.; Devine, S.M.; Porter, D.L.; Maziarz, R.T.; Warlick, E.D.; Fernandez, H.F.; Alyea, E.P.; et al. Myeloablative versus reduced-intensity hematopoietic cell transplantation for acute myeloid leukemia and myelodysplastic syndromes. J. Clin. Oncol. 2017, 35, 1154–1161. [Google Scholar] [CrossRef] [PubMed]
- Hourigan, C.S.; Dillon, L.W.; Gui, G.; Logan, B.R.; Fei, M.; Ghannam, J.; Li, Y.; Licon, A.; Alyea, E.P.; Bashey, A.; et al. Impact of conditioning intensity of allogeneic transplantation for acute myeloid leukemia with genomic evidence of residual disease. J. Clin. Oncol. 2020, 38, 1273–1283. [Google Scholar] [CrossRef] [PubMed]
- Gilleece, M.H.; Labopin, M.; Yakoub-Agha, I.; Volin, L.; Socié, G.; Ljungman, P.; Huynh, A.; Deconinck, E.; Wu, D.; Bourhis, J.H.; et al. Measurable residual disease, conditioning regimen intensity, and age predict outcome of allogeneic hematopoietic cell transplantation for acute myeloid leukemia in first remission: A registry analysis of 2292 patients by the Acute Leukemia Working Party European Society of Blood and Marrow Transplantation. Am. J. Hematol. 2018, 93, 1142–1152. [Google Scholar] [CrossRef]
- Ustun, C.; Courville, E.L.; DeFor, T.; Dolan, M.; Randall, N.; Yohe, S.; Bejanyan, N.; Warlick, E.; Brunstein, C.; Weisdorf, D.J.; et al. Myeloablative, but not reduced-intensity, conditioning overcomes the negative effect of flow-cytometric evidence of leukemia in acute myeloid leukemia. Biol. Blood Marrow Transpl. 2016, 22, 669–675. [Google Scholar] [CrossRef]
- Walter, R.B.; Gyurkocza, B.; Storer, B.E.; Godwin, C.D.; Pagel, J.M.; Buckley, S.A.; Sorror, M.L.; Wood, B.L.; Storb, R.; Appelbaum, F.R.; et al. Comparison of minimal residual disease as outcome predictor for AML patients in first complete remission undergoing myeloablative or nonmyeloablative allogeneic hematopoietic cell transplantation. Leukemia 2015, 29, 137–144. [Google Scholar] [CrossRef]
- Walter, R.B.; Gooley, T.A.; Wood, B.L.; Milano, F.; Fang, M.; Sorror, M.L.; Estey, E.H.; Salter, A.I.; Lansverk, E.; Chien, J.W.; et al. Impact of pretransplantation minimal residual disease, as detected by multiparametric flow cytometry, on outcome of myeloablative hematopoietic cell transplantation for acute myeloid leukemia. J. Clin. Oncol. 2011, 29, 1190–1197. [Google Scholar] [CrossRef]
- Walter, R.B.; Buckley, S.A.; Pagel, J.M.; Wood, B.L.; Storer, B.E.; Sandmaier, B.M.; Fang, M.; Gyurkocza, B.; Delaney, C.; Radich, J.P.; et al. Significance of minimal residual disease before myeloablative allogeneic hematopoietic cell transplantation for AML in first and second complete remission. Blood 2013, 122, 1813–1821. [Google Scholar] [CrossRef]
- Walter, R.B.; Sandmaier, B.M.; Storer, B.E.; Godwin, C.D.; Buckley, S.A.; Pagel, J.M.; Sorror, M.L.; Deeg, H.J.; Storb, R.; Appelbaum, F.R. Number of courses of induction therapy independently predicts outcome after allogeneic transplantation for acute myeloid leukemia in first morphological remission. Biol. Blood Marrow Transpl. 2015, 21, 373–378. [Google Scholar] [CrossRef]
- Araki, D.; Wood, B.L.; Othus, M.; Radich, J.P.; Halpern, A.B.; Zhou, Y.; Mielcarek, M.; Estey, E.H.; Appelbaum, F.R.; Walter, R.B. Allogeneic hematopoietic cell transplantation for acute myeloid leukemia: Is it time to move toward a minimal residual disease-based definition of complete remission. J. Clin. Oncol. 2016, 34, 329–336. [Google Scholar] [CrossRef]
- Zhou, Y.; Othus, M.; Araki, D.; Wood, B.L.; Radich, J.P.; Halpern, A.B.; Mielcarek, M.; Estey, E.H.; Appelbaum, F.R.; Walter, R.B. Pre- and post-transplant quantification of measurable (‘minimal’) residual disease via multiparameter flow cytometry in adult acute myeloid leukemia. Leukemia 2016, 30, 1456–1464. [Google Scholar] [CrossRef] [PubMed]
- Hoffmann, A.P.; Besch, A.L.; Othus, M.; Morsink, L.M.; Wood, B.L.; Mielcarek, M.; Estey, E.H.; Appelbaum, F.R.; Walter, R.B. Early achievement of measurable residual disease (MRD)-negative complete remission as predictor of outcome after myeloablative allogeneic hematopoietic cell transplantation in acute myeloid leukemia. Bone Marrow Transpl. 2020, 55, 669–672. [Google Scholar] [CrossRef]
- Morsink, L.M.; Othus, M.; Bezerra, E.D.; Wood, B.L.; Fang, M.; Sandmaier, B.M.; Mielcarek, M.; Schoch, G.; Storb, R.; Deeg, H.J.; et al. Impact of pre-transplant measurable residual disease on outcome of allogeneic hematopoietic cell transplantation in adult monosomal karyotype AML. Leukemia 2020, 34, 1577–1587. [Google Scholar] [CrossRef] [PubMed]
- Morsink, L.M.; Bezerra, E.D.; Othus, M.; Wood, B.L.; Fang, M.; Sandmaier, B.M.; Mielcarek, M.B.; Deeg, H.J.; Schoch, G.; Appelbaum, F.R.; et al. Comparative analysis of total body irradiation (TBI)-based and non-TBI-based myeloablative conditioning for acute myeloid leukemia in remission with or without measurable residual disease. Leukemia 2020, 34, 1701–1705. [Google Scholar] [CrossRef] [PubMed]
- Clift, R.A.; Buckner, C.D.; Appelbaum, F.R.; Bearman, S.I.; Petersen, F.B.; Fisher, L.D.; Anasetti, C.; Beatty, P.; Bensinger, W.I.; Doney, K.; et al. Allogeneic marrow transplantation in patients with acute myeloid leukemia in first remission: A randomized trial of two irradiation regimens. Blood 1990, 76, 1867–1871. [Google Scholar] [CrossRef] [PubMed]
- Clift, R.A.; Buckner, C.D.; Appelbaum, F.R.; Sullivan, K.M.; Storb, R.; Thomas, E.D. Long-term follow-up of a randomized trial of two irradiation regimens for patients receiving allogeneic marrow transplants during first remission of acute myeloid leukemia. Blood 1998, 92, 1455–1456. [Google Scholar] [CrossRef] [PubMed]
- Arber, D.A.; Orazi, A.; Hasserjian, R.; Thiele, J.; Borowitz, M.J.; Le Beau, M.M.; Bloomfield, C.D.; Cazzola, M.; Vardiman, J.W. The 2016 revision to the World Health Organization classification of myeloid neoplasms and acute leukemia. Blood 2016, 127, 2391–2405. [Google Scholar] [CrossRef]
- Sorror, M.L.; Maris, M.B.; Storb, R.; Baron, F.; Sandmaier, B.M.; Maloney, D.G.; Storer, B. Hematopoietic cell transplantation (HCT)-specific comorbidity index: A new tool for risk assessment before allogeneic HCT. Blood 2005, 106, 2912–2919. [Google Scholar] [CrossRef]
- Grimwade, D.; Hills, R.K.; Moorman, A.V.; Walker, H.; Chatters, S.; Goldstone, A.H.; Wheatley, K.; Harrison, C.J.; Burnett, A.K. Refinement of cytogenetic classification in acute myeloid leukemia: Determination of prognostic significance of rare recurring chromosomal abnormalities among 5876 younger adult patients treated in the United Kingdom Medical Research Council trials. Blood 2010, 116, 354–365. [Google Scholar] [CrossRef]
- Breems, D.A.; Van Putten, W.L.J.; De Greef, G.E.; Van Zelderen-Bhola, S.L.; Gerssen-Schoorl, K.B.J.; Mellink, C.H.M.; Nieuwint, A.; Jotterand, M.; Hagemeijer, A.; Beverloo, H.B.; et al. Monosomal karyotype in acute myeloid leukemia: A better indicator of poor prognosis than a complex karyotype. J. Clin. Oncol. 2008, 26, 4791–4797. [Google Scholar] [CrossRef]
- Simons, A.; Shaffer, L.G.; Hastings, R.J. Cytogenetic nomenclature: Changes in the ISCN 2013 compared to the 2009 edition. Cytogenet. Genome Res. 2013, 141, 1–6. [Google Scholar] [CrossRef] [PubMed]
- Wood, B.L. Acute myeloid leukemia minimal residual disease detection: The difference from normal approach. Curr. Protoc. Cytom. 2020, 93, e73. [Google Scholar] [CrossRef] [PubMed]


| Parameter | MAC (n = 441) | RIC (n = 130) | NMA (n = 172) | All Patients (n = 743) | p-Value |
|---|---|---|---|---|---|
| Median age at diagnosis (range), years | 49 (18–71) | 62 (20–74) | 65 (19–77) | 55 (18–77) | <0.001 |
| Median age at HCT (range), years | 50 (18–73) | 63 (23–75) | 66 (20–80) | 56 (18–80) | <0.001 |
| Male gender, n (%) | 230 (52) | 67 (52) | 105 (61) | 402 (54) | 0.11 |
| Median WBC count at diagnosis (range), ×103/µL | 9 (0–297) | 5 (0–348) | 4 (1–295) | 7 (0–348) | <0.001 |
| Cytogenetics, n (%) | 0.90 | ||||
| Favorable | 32 (7) | 6 (5) | 8 (5) | 46 (6) | |
| Intermediate | 276 (63) | 84 (65) | 111 (65) | 471 (63) | |
| Adverse | 112 (25) | 35 (27) | 45 (26) | 192 (26) | |
| Missing | 21 (5) | 5 (4) | 8 (5) | 34 (5) | |
| Remission status, n (%) | 0.14 | ||||
| First remission | 334 (76) | 95 (73) | 141 (82) | 570 (77) | |
| Second remission | 107 (24) | 35 (27) | 31 (18) | 173 (23) | |
| Pre-HCT MRD status, n (%) | 0.22 | ||||
| MRDneg | 345 (78) | 106 (82) | 145 (84) | 596 (80) | |
| MRDpos | 96 (22) | 24 (18) | 27 (16) | 147 (20) | |
| Median % abnormal blasts (range) | 0.49 (0.007–19.4) | 0.66 (0.007–5) | 0.21 (0.01–2.7) | 0.5 (0.007–19.4) | 0.13 |
| Secondary AML, n (%) | 102 (23) | 46 (35) | 62 (36) | 210 (28) | 0.0015 |
| Median remission duration before HCT (range), days | 95 (7–485) | 83 (11–455) | 108 (16–788) | 96 (7–788) | 0.0061 |
| Recovered peripheral blood counts before HCT *, n (%) | 328 (74) | 88 (68) | 111 (65) | 527 (71) | 0.035 |
| Recovered ANC before HCT *, n (%) | 412 (93) | 116 (89) | 159 (92) | 687 (92) | 0.28 |
| Recovered platelet count before HCT *, n (%) | 330 (75) | 90 (69) | 113 (66) | 533 (72) | 0.061 |
| Routine cytogenetics before HCT, n (%) | 0.44 | ||||
| Normalized karyotype | 174 (39) | 46 (35) | 62 (36) | 282 (38) | |
| Abnormal karyotype | 78 (18) | 27 (21) | 22 (13) | 127 (17) | |
| Non-informative karyotype ** | 173 (39) | 53 (41) | 80 (47) | 306 (41) | |
| Missing | 16 (4) | 4 (3) | 8 (5) | 28 (4) | |
| HCT Comorbidity Index, n (%) | <0.001 | ||||
| 0–1 | 114 (26) | 14 (11) | 36 (21) | 164 (22) | |
| 2–3 | 164 (37) | 52 (40) | 52 (30) | 268 (36) | |
| ≥4 | 110 (25) | 52 (40) | 77 (45) | 239 (32) | |
| Missing | 53 (12) | 12 (9) | 7 (4) | 72 (10) | |
| Unrelated donor, n (%) | 277 (63) | 88 (68) | 132 (77) | 497 (67) | 0.003 |
| HLA matching, n (%) | <0.001 | ||||
| Related donors | |||||
| HLA-identical # | 155 (35) | 25 (19) | 40 (23) | 220 (30) | |
| HLA-haploidentical | 9 (2) | 17 (13) | 0 (0) | 26 (3) | |
| Unrelated donors | |||||
| 10/10 HLA-matched | 230 (52) | 78 (60) | 104 (60) | 412 (55) | |
| 9/10 HLA-matched ## | 47 (11) | 10 (8) | 28 (16) | 85 (11) | |
| Patient/donor CMV status | 0.80 | ||||
| Neg/neg | 114 (26) | 25 (20) | 45 (26) | 184 (25) | |
| Neg/pos | 51 (12) | 19 (15) | 20 (12) | 90 (12) | |
| Pos/neg | 140 (32) | 42 (34) | 57 (33) | 239 (33) | |
| Pos/pos | 126 (29) | 39 (31) | 49 (29) | 214 (29) | |
| Conditioning regimen, n (%) | <0.001 | ||||
| MAC, with high-dose TBI (≥12 Gy) | 62 (14) | --- | --- | 62 (8) | |
| MAC, without high-dose TBI | 379 (86) | --- | --- | 379 (51) | |
| RIC | --- | 130 (100) | --- | 130 (17) | |
| NMA | --- | --- | 172 (100) | 172 (23) | |
| Source of stem cells, n (%) | <0.001 | ||||
| PBSC | 374 (85) | 121 (93) | 172 (100) | 667 (90) | |
| BM | 67 (15) | 9 (7) | 0 (0) | 76 (10) | |
| GVHD prophylaxis, n (%) | <0.001 | ||||
| CNI + MMF ± sirolimus | 60 (14) | 81 (62) | 166 (97) | 307 (41) | |
| CNI + MTX ± other | 310 (70) | 23 (18) | 0 (0) | 333 (45) | |
| PTCy | 58 (13) | 26 (20) | 5 (3) | 89 (12) | |
| Other | 13 (3) | 0 (0) | 1 (1) | 14 (2) |
| Cohort | CI of Relapse at 3 Years | RFS at 3 Years | OS at 3 Years | CI of NRM at 100 Days | CI of NRM at 3 Years |
|---|---|---|---|---|---|
| All patients | |||||
| All (n = 743) | 30% (27–34) | 52% (48–56) | 57% (54–61) | 5% (3–6) | 18% (15–21) |
| MRDneg (n = 596) | 22% (18–25) | 60% (56–64) | 64% (60–68) | 5% (3–6) | 18% (15–22) |
| MRDpos (n = 147) | 65% (57–74) | 19% (13–27) | 32% (25–41) | 5% (1–8) | 16% (10–22) |
| MAC HCT | |||||
| All (n = 441) | 29% (25–33) | 57% (53–62) | 62% (58–67) | 5% (3–6) | 14% (10–17) |
| MRDneg (n = 345) | 18% (13–22) | 69% (64–74) | 71% (66–76) | 5% (3–7) | 10% (7–14) |
| MRDpos (n = 96) | 69% (60–79) | 18% (12–28) | 33% (24–44) | 3% (0–7) | 14% (7–21) |
| RIC HCT | |||||
| All (n = 130) | 31% (22–40) | 43% (34–54) | 50% (41–62) | 7% (3–11) | 27% (18–35) |
| MRDneg (n = 106) | 25% (16–35) | 47% (37–59) | 55% (44–67) | 7% (3–11) | 28% (18–38) |
| MRDpos (n = 24) | 57% (35–79) | 24% (11–53) | 30% (15–62) | 8% (0–20) | 19% (1–38) |
| NMA HCT | |||||
| All (n = 172) | 34% (27–41) | 43% (36–51) | 48% (41–57) | 4% (1–6) | 23% (16–30) |
| MRDneg (n = 145) | 30% (22–37) | 47% (39–57) | 52% (44–61) | 3% (0–5) | 23% (16–30) |
| MRDpos (n = 27) | 57% (37–77) | 20% (9–43) | 31% (17–55) | 7% (0–18) | 23% (6–40) |
| Covariate | Relapse | Failure for RFS | Overall Mortality |
|---|---|---|---|
| Conditioning regimen | |||
| MAC (n = 441) | 1 (Reference) | 1 (Reference) | 1 (Reference) |
| RIC (n = 130) | 0.98 (0.68–1.41), p = 0.91 | 1.45 (1.10–1.91), p = 0.009 | 1.50 (1.12–2.01), p = 0.007 |
| NMA (n = 172) | 1.27 (0.93–1.73), p = 0.13 | 1.57 (1.24–1.99), p <0.001 | 1.56 (1.22–1.99), p < 0.001 |
| Pre-HCT MRD status | |||
| MRDneg (n = 596) | 1 (Reference) | 1 (Reference) | 1 (Reference) |
| MRDpos (n = 147) | 4.26 (3.27–5.56), p < 0.001 | 3.18 (2.55–3.96), p < 0.001 | 2.47 (1.96–3.10), p < 0.001 |
| Remission status | |||
| First remission (n = 570) | 1 (Reference) | 1 (Reference) | 1 (Reference) |
| Second remission (n = 173) | 1.47 (1.10–1.96), p = 0.009 | 1.47 (1.17–1.84), p = 0.001 | 1.50 (1.18–1.89), p < 0.001 |
| Cytogenetic risk | |||
| Favorable/intermediate (n = 517) | 1 (Reference) | 1 (Reference) | 1 (Reference) |
| Adverse (n = 192) | 2.02 (1.55–2.65), p < 0.001 | 1.34 (1.07–1.68), p = 0.01 | 1.20 (0.95–1.53), p = 0.13 |
| Age at HCT (per 10 years) | 1.00 (0.99–1.01), p = 0.82 | 1.01 (1.01–1.02), p = 0.001 | 1.02 (1.01–1.02), p < 0.001 |
| Total WBC count at diagnosis (per 10,000/µL) | 1.00 (1.00–1.00), p = 0.67 | 1.00 (1.00–1.00), p = 0.072 | 1.00 (1.00–1.00), p = 0.046 |
| HCT Comorbidity Index | |||
| 0–1 (n = 164) | 1 (Reference) | 1 (Reference) | 1 (Reference) |
| 2–3 (n = 268) | 0.97 (0.70–1.36), p = 0.86 | 1.06 (0.81–1.39), p = 0.66 | 1.09 (0.82–1.45), p = 0.54 |
| ≥4 (n = 239) | 0.96 (0.61–1.68), p = 0.96 | 1.22(0.93–1.60), p = 0.16 | 1.32 (0.99–1.76), p = 0.06 |
| Type of AML | |||
| De novo (n = 533) | 1 (Reference) | 1 (Reference) | 1 (Reference) |
| Secondary (n = 210) | 0.95 (0.71–1.27), p = 0.74 | 1.07 (0.85–1.33), p = 0.57 | 1.10 (0.87–1.38), p = 0.44 |
| Pre-HCT karyotype | |||
| Normalized (n = 281) | 1 (Reference) | 1 (Reference) | 1 (Reference) |
| Not normalized (n = 127) | 2.00 (1.43–2.81), p < 0.001 | 2.10 (1.59–2.76), p < 0.001 | 1.99 (1.49–2.67), p < 0.001 |
| Pre-HCT blood counts * | |||
| Recovered (n = 527) | 1 (Reference) | 1 (Reference) | 1 (Reference) |
| Not recovered (n = 216) | 0.95 (0.71–1.27), p = 0.74 | 1.33 (1.07–1.65), p = 0.009 | 1.49 (1.19–1.86), p < 0.001 |
| Donor type | |||
| Related (n = 246) | 1 (Reference) | 1 (Reference) | 1 (Reference) |
| Unrelated (n = 497) | 0.94 (0.72–1.23), p = 0.65 | 1.14 (0.92–1.42), p = 0.22 | 1.20 (0.96–1.51), p = 0.11 |
| HLA matching | |||
| Matched/identical (n = 630) | 1 (Reference) | 1 (Reference) | 1 (Reference) |
| 9/10 matched (n = 85) | 1.13 (0.79–1.62), p = 0.51 | 1.69 (1.29–2.21), p < 0.001 | 1.80 (1.36–2.39), p < 0.001 |
| Haploidentical (n = 26) | 1.54 (0.86–2.77), p = 0.15 | 1.73 (1.06–2.83), p = 0.028 | 1.84 (1.09–3.10), p = 0.021 |
| Covariate | Relapse | Failure for RFS | Overall Mortality |
|---|---|---|---|
| Conditioning regimen | |||
| MAC | 1 (Reference) | 1 (Reference) | 1 (Reference) |
| RIC | 1.46 (0.89–2.40), p = 0.14 | 1.81 (1.27–2.58), p = 0.0011 | 1.72 (1.18–2.51), p = 0.0048 |
| NMA | 2.40 (1.55–3.73), p < 0.001 | 2.10 (1.52–2.92), p < 0.001 | 1.82 (1.30–2.56), p < 0.0048 |
| Pre-HCT MRD status | |||
| MRDneg | 1 (Reference) | 1 (Reference) | 1 (Reference) |
| MRDpos | 5.67 (4.03–7.99), p < 0.001 | 4.02 (2.98–5.44), p < 0.001 | 3.00 (2.19–4.12), p < 0.001 |
| Remission status | |||
| First remission | 1 (Reference) | 1 (Reference) | 1 (Reference) |
| Second remission | 1.62 (1.15–2.26), p = 0.005 | 1.45 (1.13–1.87), p = 0.004 | 1.35 (1.04–1.76), p = 0.026 |
| Cytogenetic risk | |||
| Favorable/intermediate | 1 (Reference) | 1 (Reference) | 1 (Reference) |
| Adverse | 1.87 (1.30–2.69), p < 0.001 | 1.30 (0.98–1.73), p = 0.065 | 1.24 (0.93–1.67), p = 0.15 |
| Age at HCT (per 10 years) | 0.94 (0.84–1.04), p = 0.21 | 1.02 (0.93–1.11), p = 0.70 | 1.05 (0.96–1.16), p = 0.29 |
| Total WBC count at diagnosis (per 10,000/µL) | 1.01 (0.99–1.04), p = 0.23 | 1.03 (1.01–1.04), p = 0.0036 | 1.02 (1.01–1.04), p = 0.011 |
| HCT Comorbidity Index | |||
| Low | 1 (Reference) | 1 (Reference) | 1 (Reference) |
| Intermediate | 0.95 (0.68–1.32), p = 0.76 | 1.03 (0.78–1.35), p = 0.85 | 1.04 (0.78–1.39), p = 0.79 |
| High | 0.92 (0.64–1.32), p = 0.63 | 1.09 (0.82–1.45), p = 0.56 | 1.20 (0.89–1.62), p = 0.23 |
| Type of AML | |||
| De novo | 1 (Reference) | 1 (Reference) | 1 (Reference) |
| Secondary | 0.70 (0.51–0.96), p = 0.028 | 0.79 (0.62–1.02), p = 0.071 | 0.87 (0.67–1.12), p = 0.27 |
| Pre-HCT karyotype | |||
| Normalized | 1 (Reference) | 1 (Reference) | 1 (Reference) |
| Not normalized | 1.53 (1.07–2.18), p = 0.019 | 1.64 (1.21–2.21), p = 0.0013 | 1.50 (1.09–2.07), p = 0.012 |
| Pre-HCT blood counts * | |||
| Recovered | 1 (Reference) | 1 (Reference) | 1 (Reference) |
| Not recovered | 0.80 (0.57–1.13), p = 0.20 | 1.04 (0.82–1.10), p = 0.76 | 1.25 (0.98–1.59), p = 0.076 |
| Interaction RIC-MRDpos | 0.65 (0.28–1.52), p = 0.32 | 0.62 (0.32–1.17), p = 0.14 | 0.52 (0.26–1.05), p = 0.067 |
| Interaction NMA-MRDpos | 0.42 (0.21–0.82), p = 0.011 | 0.47 (0.27–0.83), p = 0.0089 | 0.47 (0.26–0.85), p = 0.012 |
© 2020 by the authors. Licensee MDPI, Basel, Switzerland. This article is an open access article distributed under the terms and conditions of the Creative Commons Attribution (CC BY) license (http://creativecommons.org/licenses/by/4.0/).
Share and Cite
Morsink, L.M.; Sandmaier, B.M.; Othus, M.; Palmieri, R.; Granot, N.; Bezerra, E.D.; Wood, B.L.; Mielcarek, M.; Schoch, G.; Davis, C.; et al. Conditioning Intensity, Pre-Transplant Flow Cytometric Measurable Residual Disease, and Outcome in Adults with Acute Myeloid Leukemia Undergoing Allogeneic Hematopoietic Cell Transplantation. Cancers 2020, 12, 2339. https://doi.org/10.3390/cancers12092339
Morsink LM, Sandmaier BM, Othus M, Palmieri R, Granot N, Bezerra ED, Wood BL, Mielcarek M, Schoch G, Davis C, et al. Conditioning Intensity, Pre-Transplant Flow Cytometric Measurable Residual Disease, and Outcome in Adults with Acute Myeloid Leukemia Undergoing Allogeneic Hematopoietic Cell Transplantation. Cancers. 2020; 12(9):2339. https://doi.org/10.3390/cancers12092339
Chicago/Turabian StyleMorsink, Linde M., Brenda M. Sandmaier, Megan Othus, Raffaele Palmieri, Noa Granot, Evandro D. Bezerra, Brent L. Wood, Marco Mielcarek, Gary Schoch, Chris Davis, and et al. 2020. "Conditioning Intensity, Pre-Transplant Flow Cytometric Measurable Residual Disease, and Outcome in Adults with Acute Myeloid Leukemia Undergoing Allogeneic Hematopoietic Cell Transplantation" Cancers 12, no. 9: 2339. https://doi.org/10.3390/cancers12092339
APA StyleMorsink, L. M., Sandmaier, B. M., Othus, M., Palmieri, R., Granot, N., Bezerra, E. D., Wood, B. L., Mielcarek, M., Schoch, G., Davis, C., Flowers, M. E. D., Deeg, H. J., Appelbaum, F. R., Storb, R., & Walter, R. B. (2020). Conditioning Intensity, Pre-Transplant Flow Cytometric Measurable Residual Disease, and Outcome in Adults with Acute Myeloid Leukemia Undergoing Allogeneic Hematopoietic Cell Transplantation. Cancers, 12(9), 2339. https://doi.org/10.3390/cancers12092339

