In Vitro Characterization of Cisplatin and Pemetrexed Effects in Malignant Pleural Mesothelioma 3D Culture Phenotypes
Abstract
1. Introduction
2. Results
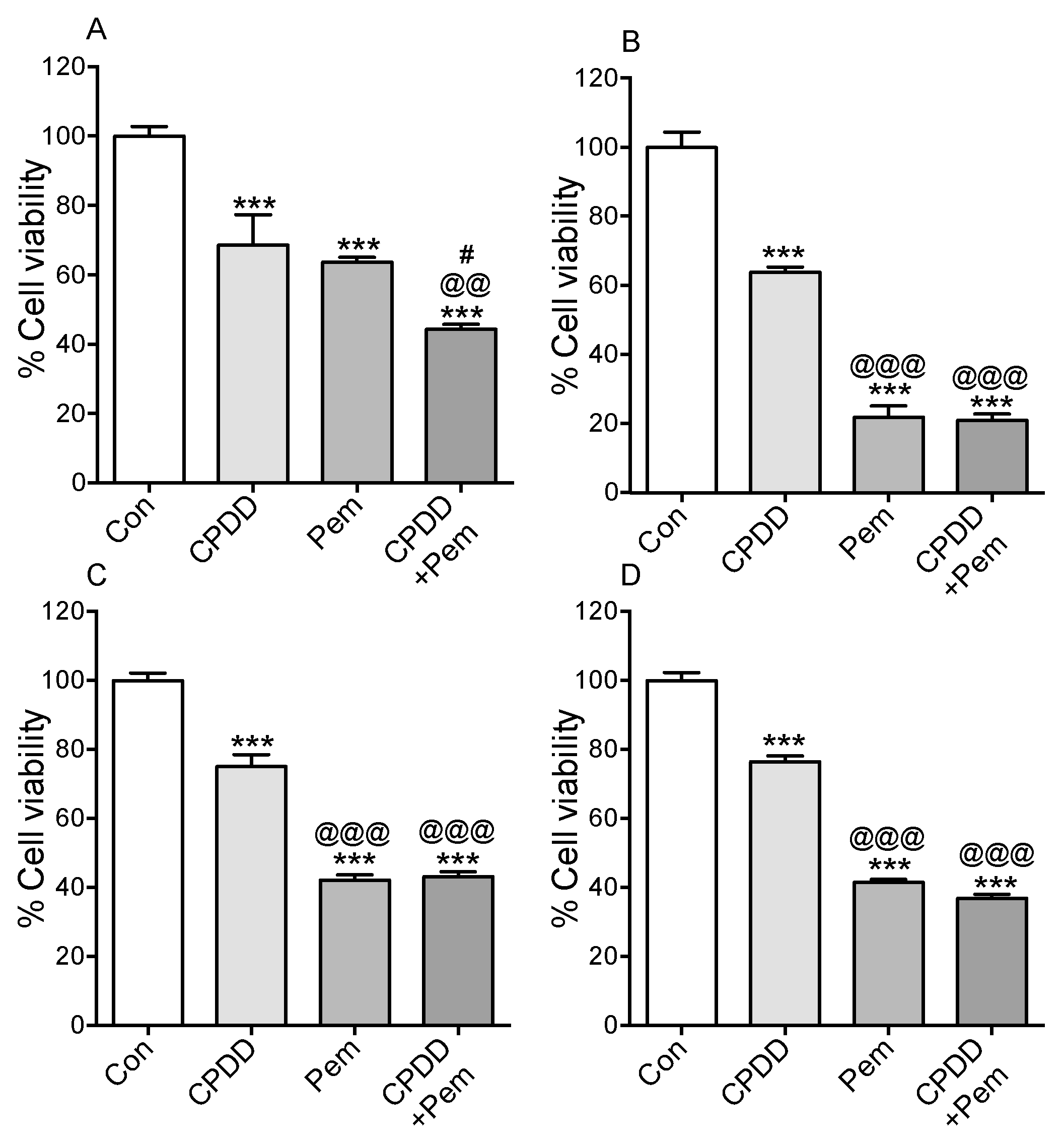
2.1. Cell Viability Was Significantly Decreased after All Treatments in all Cell Types on Homologous Cell Derived ECM Substratum
2.2. Tumor Spheroid Formation in All Cell Types Was Significantly Reduced with CPDD and Pem Combined Treatment
2.3. CPDD and Pem Combination Significantly Reduced the Invasion of MPM Spheroids in Collagen Gel Matrix
2.4. Pem Alone and CPDD and Pem Combination Significantly Reduced the Contraction of Collagen Gels
3. Discussion
4. Materials and Methods
4.1. Cell Culture
4.2. Drug Treatments
4.3. Acid Soluble Rat-Tail Collagen Preparation
4.4. Cell Viability Assay
4.5. Tumor Spheroid Formation Assay
4.6. Tumor Spheroid Invasion Assay
4.7. Gel Contraction Assay
4.8. Statistical Analysis
5. Conclusions
Author Contributions
Funding
Acknowledgments
Conflicts of Interest
References
- Rossini, M.; Rizzo, P.; Bononi, I.; Clementz, A.; Ferrari, R.; Martini, F.; Tognon, M.G. New Perspectives on Diagnosis and Therapy of Malignant Pleural Mesothelioma. Front. Oncol. 2018, 8, 91. [Google Scholar] [CrossRef]
- Baumann, F.; Ambrosi, J.P.; Carbone, M. Asbestos is not just asbestos: an unrecognised health hazard. Lancet Oncol. 2013, 14, 576–578. [Google Scholar] [CrossRef]
- Bakker, E.; Guazzelli, A.; Krstic-Demonacos, M.; Lisanti, M.; Sotgia, F.; Mutti, L. Current and prospective pharmacotherapies for the treatment of pleural mesothelioma. Expert Opin. Orphan Drugs 2017, 5, 455–465. [Google Scholar] [CrossRef][Green Version]
- Baas, P.; Fennell, D.; Kerr, K.M.; Van Schil, P.E.; Haas, R.L.; Peters, S. Malignant pleural mesothelioma: ESMO Clinical Practice Guidelines for diagnosis, treatment and follow-up. Ann. Oncol. 2015, 26, 31–39. [Google Scholar] [CrossRef]
- Nowak, A.K. Chemotherapy for malignant pleural mesothelioma: a review of current management and a look to the future. Ann. Cardiothorac. Surg. 2012, 1, 508–515. [Google Scholar]
- Vogelzang, B.N.J.; Rusthoven, J.J.; Symanowski, J.; Denham, C.; Kaukel, E.; Ruffie, P.; Gatzemeier, U.; Boyer, M.; Emri, S.; Manegold, C.; et al. Phase III Study of Pemetrexed in Combination With Cisplatin Versus Cisplatin Alone in Patients With Malignant Pleural Mesothelioma. J. Clin. Oncol. 2003, 21, 2636–2644. [Google Scholar] [CrossRef]
- Dasari, S.; Bernard, T.; Chounwou, P. Cisplatin in cancer therapy: Molecular mechanisms of action. Eur. J. Pharmacol. 2014, 740, 364–378. [Google Scholar] [CrossRef]
- Adjei, A.A. Pharmacology and mechanism of action of pemetrexed. Clin. Lung Cancer 2004, 5 (Suppl. 2), S51–S55. [Google Scholar] [CrossRef]
- Marshall, A.; Bayes, H.; Bardgett, J.; Wedderburn, S.; Kerr, K.; Currie, G. Survival from malignant mesothelioma: where are we now? J. R. Coll. Physicians Edinb. 2015, 45, 123–126. [Google Scholar] [CrossRef]
- Batra, H.; Antony, V.B. Pleural mesothelial cells in pleural and lung diseases. J. Thorac. Dis. 2015, 7, 964–980. [Google Scholar]
- Pickup, M.W.; Mouw, J.K.; Weaver, V.M. The extracellular matrix modulates the hallmarks of cancer. EMBO Rep. 2014, 15, 1243–1253. [Google Scholar] [CrossRef]
- Senthebane, D.A.; Rowe, A.; Thomford, N.E.; Shipanga, H.; Munro, D.; Mazeedi, M.A.M.; Al Almazyadi, H.A.M.; Kallmeyer, K.; Dandara, C.; Pepper, M.S.; et al. The Role of Tumor Microenvironment in Chemoresistance: To Survive, Keep Your Enemies Closer. Int. J. Mol. Sci. 2017, 18, 1586. [Google Scholar] [CrossRef]
- Kim, H.; Phung, Y.; Ho, M. Changes in Global Gene Expression Associated with 3D Structure of Tumors: An Ex Vivo Matrix-Free Mesothelioma Spheroid Model. PLoS ONE 2012, 7, e39556. [Google Scholar] [CrossRef]
- Jagirdar, R.M.; Apostolidou, E.; Molyvdas, P.A.; Gourgoulianis, K.I.; Hatzoglou, C.; Zarogiannis, S.G. Influence of AQP1 on cell adhesion, migration, and tumor sphere formation in malignant pleural mesothelioma is substratum- and histological-type dependent. Am. J. Physiol. Cell Mol. Physiol. 2016, 310, L489–L495. [Google Scholar] [CrossRef]
- Lam, S.K.; Li, Y.Y.; Xu, S.; Leung, L.L.; Zheng, Y.F.; Cheng, P.N.M.; Ho, J.C.M. Growth suppressive effect of pegylated arginase in malignant pleural mesothelioma xenografts. Respir. Res. 2017, 18, 80. [Google Scholar] [CrossRef]
- Onen, H.; Yilmaz, A.; Alp, E.; Celik, A.; Demiroz, S.; Konac, E.; Kurul, I.; Menevse, E. EF24 and RAD001 potentiates the anticancer effect of platinum-based agents in human malignant pleural mesothelioma (MSTO-211H) cells and protects nonmalignant mesothelial (MET-5A) cells. Hum. Exp. Toxicol. 2015, 34, 117–126. [Google Scholar] [CrossRef]
- Hoshiba, T.; Tanaka, M. Decellularized matrices as in vitro models of extracellular matrix in tumor tissues at different malignant levels: Mechanism of 5-fluorouracil resistance in colorectal tumor cells. Biochim. Biophys. Acta 2016, 1863, 2749–2757. [Google Scholar] [CrossRef]
- Cortes-Dericks, L.; Froment, L.; Boesch, R.; Schmid, R.A.; Karoubi, G. Cisplatin-resistant cells in malignant pleural mesothelioma cell lines show ALDHhighCD44+ phenotype and sphere-forming capacity. BMC Cancer 2014, 14, 304. [Google Scholar] [CrossRef]
- Gerogianni, I.; Pitaraki, E.; Jagirdar, R.M.; Kouliou, O.; Giannakou, L.; Giannopoulos, S.; Papazoglou, E.; Hatzoglou, C.; Gourgoulianis, K.I.; Zarogiannis, S.G. 2-deoxy-glucose enhances the effect of cisplatin and pemetrexed in reducing malignant pleural mesothelioma cell proliferation but not spheroid growth. Anticancer Res. 2019, 39, 3809–3814. [Google Scholar] [CrossRef]
- Laszlo, V.; Valko, Z.; Ozsvar, J.; Kovacs, I.; Garay, T.; Hoda, M.A.; Klikovits, T.; Stockhammer, P.; Aigner, C.; Gröger, M.; et al. The FAK inhibitor BI 853520 inhibits spheroid formation and orthotopic tumor growth in malignant pleural mesothelioma. J. Mol. Med. (Berl.) 2019, 97, 231–242. [Google Scholar] [CrossRef]
- Mazzocchi, A.R.; Rajan, S.A.P.; Votanopoulos, K.I.; Hall, A.R.; Skardal, A. In vitro patient-derived 3D mesothelioma tumor organoids facilitate patient-centric therapeutic screening. Sci. Rep. 2018, 8, 2886. [Google Scholar] [CrossRef]
- Higashiyama, M.; Oda, K.; Okami, J.; Maeda, J.; Kodama, K.; Takami, K.; Morinaga, K.; Takano, T.; Kobayashi, H. In vitro-chemosensitivity test using the collagen gel droplet embedded culture drug test (CD-DST) for malignant pleural mesothelioma: Possibility of clinical application. Ann. Thorac. Cardiovasc. Surg. 2008, 14, 355–362. [Google Scholar]
- Li, C.; Rezov, V.; Joensuu, E.; Vartiainen, V.; Rönty, M.; Yin, M.; Myllärniemi, M.; Koli, K. Pirfenidone decreases mesothelioma cell proliferation and migration via inhibition of ERK and AKT and regulates mesothelioma tumor microenvironment in vivo. Sci. Rep. 2018, 8, 10070. [Google Scholar] [CrossRef]
- Cramer, G.; Shin, M.; Hagan, S.; Katz, S.I.; Simone, C.B., 2nd; Busch, T.M.; Cengel, K.A. Modeling Epidermal Growth Factor Inhibitormediated Enhancement of Photodynamic Therapy Efficacy Using 3D Mesothelioma Cell Culture. Photochem. Photobiol. 2019, 95, 397–405. [Google Scholar] [CrossRef]
- Lachaud, C.C.; Pezzolla, D.; Domínguez-Rodríguez, A.; Smani, T.; Soria, B.; Hmadcha, A. Functional Vascular Smooth Muscle-like Cells Derived from Adult Mouse Uterine Mesothelial Cells. PLoS ONE 2013, 8, e55181. [Google Scholar] [CrossRef]




© 2019 by the authors. Licensee MDPI, Basel, Switzerland. This article is an open access article distributed under the terms and conditions of the Creative Commons Attribution (CC BY) license (http://creativecommons.org/licenses/by/4.0/).
Share and Cite
Papazoglou, E.D.; Jagirdar, R.M.; Kouliou, O.A.; Pitaraki, E.; Hatzoglou, C.; Gourgoulianis, K.I.; Zarogiannis, S.G. In Vitro Characterization of Cisplatin and Pemetrexed Effects in Malignant Pleural Mesothelioma 3D Culture Phenotypes. Cancers 2019, 11, 1446. https://doi.org/10.3390/cancers11101446
Papazoglou ED, Jagirdar RM, Kouliou OA, Pitaraki E, Hatzoglou C, Gourgoulianis KI, Zarogiannis SG. In Vitro Characterization of Cisplatin and Pemetrexed Effects in Malignant Pleural Mesothelioma 3D Culture Phenotypes. Cancers. 2019; 11(10):1446. https://doi.org/10.3390/cancers11101446
Chicago/Turabian StylePapazoglou, Eleftherios D., Rajesh M. Jagirdar, Olympia A. Kouliou, Eleanna Pitaraki, Chrissi Hatzoglou, Konstantinos I. Gourgoulianis, and Sotirios G. Zarogiannis. 2019. "In Vitro Characterization of Cisplatin and Pemetrexed Effects in Malignant Pleural Mesothelioma 3D Culture Phenotypes" Cancers 11, no. 10: 1446. https://doi.org/10.3390/cancers11101446
APA StylePapazoglou, E. D., Jagirdar, R. M., Kouliou, O. A., Pitaraki, E., Hatzoglou, C., Gourgoulianis, K. I., & Zarogiannis, S. G. (2019). In Vitro Characterization of Cisplatin and Pemetrexed Effects in Malignant Pleural Mesothelioma 3D Culture Phenotypes. Cancers, 11(10), 1446. https://doi.org/10.3390/cancers11101446

