An Enhanced Electroosmotic Micromixer with an Efficient Asymmetric Lateral Structure
Abstract
:1. Introduction
2. Mathematical Model and Numerical Method
3. Results and Discussion
3.1. Mixing Process and Mechanism
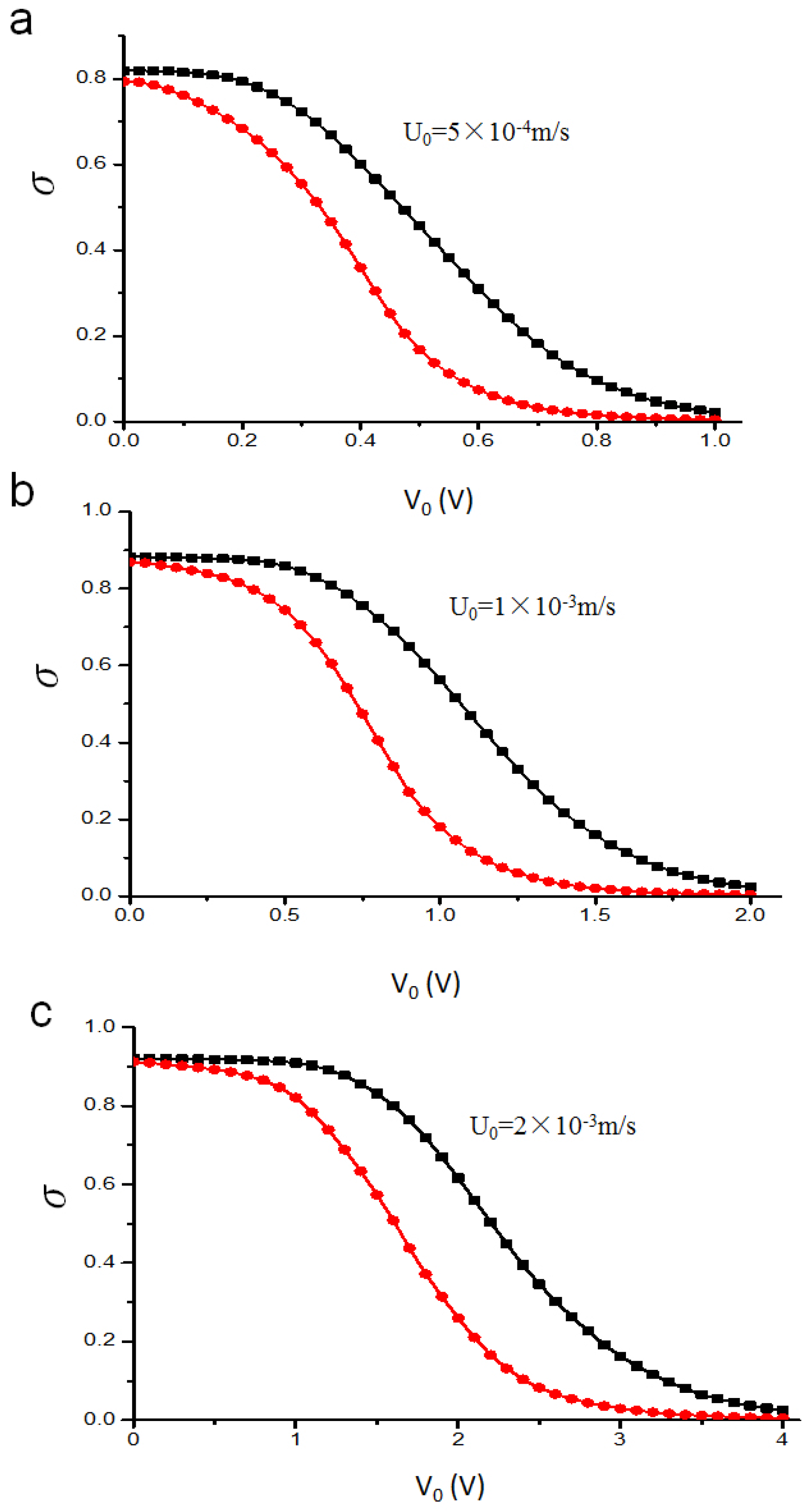
3.2. Mixing Efficiency
4. Conclusions
Acknowledgments
Author Contributions
Conflicts of Interest
References
- Lee, C.Y.; Chang, C.L.; Wang, Y.N.; Fu, L.M. Microfluidic mixing: A review. Int. J. Mol. Sci. 2011, 12, 3263–3287. [Google Scholar] [CrossRef] [PubMed]
- Suh, Y.K.; Kang, S. A Review on Mixing in Microfluidics. Micromachines 2010, 1, 82–111. [Google Scholar] [CrossRef]
- Wang, G.; Yang, F.; Zhao, W. There can be turbulence in microfluidics at low Reynolds number. Lab Chip 2014, 14, 1452–1458. [Google Scholar] [CrossRef] [PubMed]
- You, J.B.; Kang, K.; Tran, T.T.; Park, H.; Hwang, W.R.; Kim, J.M.; Im, S.G. PDMS-based turbulent microfluidic mixer. Lab Chip 2015, 15, 1727–1735. [Google Scholar] [CrossRef] [PubMed]
- Amini, H.; Lee, W.; Di Carlo, D. Inertial microfluidic physics. Lab Chip 2014, 14, 2739–2761. [Google Scholar] [CrossRef] [PubMed]
- Zhou, T.; Liu, Z.; Wu, Y.; Deng, Y.; Liu, Y.; Liu, G. Hydrodynamic particle focusing design using fluid-particle interaction. Biomicrofluidics 2013, 7, 054104. [Google Scholar] [CrossRef] [PubMed]
- Zhang, J.; Li, W.; Li, M.; Alici, G.; Nguyen, N.T. Particle inertial focusing and its mechanism in a serpentine microchannel. Microfluid. Nanofluid. 2014, 17, 305–316. [Google Scholar] [CrossRef]
- Zhou, T.; Xu, Y.; Liu, Z.; Joo, S.W. An enhanced one-layer passive microfluidic mixer with an optimized lateral structure with the Dean effect. J. Fluids Eng. 2015, 137, 091102. [Google Scholar] [CrossRef]
- Chen, X.; Li, T. A novel design for passive misscromixers based on topology optimization method. Biomed. Microdevices 2016, 18, 1–15. [Google Scholar] [CrossRef] [PubMed]
- Chen, H.; Zhang, Y.; Mezic, I.; Meinhart, C.; Petzold, L. Numerical Simulation of an Electroosmotic Micromixer. In Proceedings of the ASME 2003 International Mechanical Engineering Congress and Exposition, Washington, DC, USA, 15–21 November 2003; pp. 653–658.
- Sasaki, N.; Kitamori, T.; Kim, H.B. Experimental and theoretical characterization of an AC electroosmotic micromixer. Anal. Sci. 2010, 26, 815–819. [Google Scholar] [CrossRef] [PubMed]
- Cartier, C.A.; Drews, A.M.; Bishop, K.J.M. Microfluidic mixing of nonpolar liquids by contact charge electrophoresis. Lab Chip 2014, 14, 4230–4236. [Google Scholar] [CrossRef] [PubMed]
- Qian, S.; Bau, H.H. A chaotic electroosmotic stirrer. Anal. Chem. 2002, 74, 3616–3625. [Google Scholar] [CrossRef] [PubMed]
- Sasaki, N.; Kitamori, T.; Kim, H.B. AC electroosmotic micromixer for chemical processing in a microchannel. Lab Chip 2006, 6, 550–554. [Google Scholar] [CrossRef] [PubMed]
- Huang, S.H.; Wang, S.K.; Khoo, H.S.; Tseng, F.G. AC electroosmotic generated in-plane microvortices for stationary or continuous fluid mixing. Sens. Actuators B 2007, 125, 326–336. [Google Scholar] [CrossRef]
- Zhou, T.; Yeh, L.H.; Li, F.C.; Mauroy, B.; Joo, S. Deformability-Based Electrokinetic Particle Separation. Micromachines 2016, 7, 170. [Google Scholar] [CrossRef]
- Wang, G.; Yang, F.; Zhao, W.; Chen, C.P. On micro-electrokinetic scalar turbulence in microfluidics at a low Reynolds number. Lab Chip 2016, 16, 1030–1038. [Google Scholar] [CrossRef] [PubMed]
- Liang, L.; Xuan, X. Diamagnetic particle focusing using ferromicrofluidics with a single magnet. Microfluid. Nanofluid. 2012, 13, 637–643. [Google Scholar] [CrossRef]
- Qian, S.; Bau, H.H. Theoretical investigation of electro-osmotic flows and chaotic stirring in rectangular cavities. Appl. Math. Model. 2005, 29, 726–753. [Google Scholar] [CrossRef]
- Qian, S.; Bau, H.H. Magneto-hydrodynamic stirrer for stationary and moving fluids. Sens. Actuators B 2005, 106, 859–870. [Google Scholar] [CrossRef]
- Wen, C.Y.; Liang, K.P.; Chen, H.; Fu, L.M. Numerical analysis of a rapid magnetic microfluidic mixer. Electrophoresis 2011, 32, 3268–3276. [Google Scholar] [CrossRef] [PubMed]
- Qian, S.; Bau, H.H. Magnetohydrodynamic flow of RedOx electrolyte. Phys. Fluids 2005, 17, 067105. [Google Scholar] [CrossRef]
- Qian, S.; Zhu, J.; Bau, H.H. A stirrer for magnetohydrodynamically controlled minute fluidic networks. Phys. Fluids 2002, 14, 3584–3592. [Google Scholar] [CrossRef]
- Qian, S.; Bau, H.H. Magneto-hydrodynamics based microfluidics. Mech. Res. Commun. 2009, 36, 10–21. [Google Scholar] [CrossRef] [PubMed]
- Cardoso, V.F.; Knoll, T.; Velten, T.; Rebouta, L.; Mendes, P.M.; Lanceros-Mendez, S.; Minas, G. Polymer-based acoustic streaming for improving mixing and reaction times in microfluidic applications. RSC Adv. 2014, 4, 4292–4300. [Google Scholar] [CrossRef]
- Shang, X.; Huang, X.; Yang, C. Mixing enhancement by the vortex in a microfluidic mixer with actuation. Exp. Therm. Fluid Sci. 2015, 67, 57–61. [Google Scholar] [CrossRef]
- Lee, M.G.; Shin, J.H.; Bae, C.Y.; Choi, S.; Park, J.K. Label-free cancer cell separation from human whole blood using inertial microfluidics at low shear stress. Anal. Chem. 2013, 85, 6213–6218. [Google Scholar] [CrossRef] [PubMed]
- SadAbadi, H.; Packirisamy, M.; Wuthrich, R. High performance cascaded PDMS micromixer based on split-and-recombination flows for lab-on-a-chip applications. RSC Adv. 2013, 3, 7296–7305. [Google Scholar] [CrossRef]
- Liu, Z.; Deng, Y.; Lin, S.; Xuan, M. Optimization of micro Venturi diode in steady flow at low Reynolds number. Eng. Optim. 2012, 44, 1389–1404. [Google Scholar] [CrossRef]
- Deng, Y.; Liu, Z.; Zhang, P.; Liu, Y.; Gao, Q.; Wu, Y. A flexible layout design method for passive micromixers. Biomed. Microdevices 2012, 14, 929–945. [Google Scholar] [CrossRef] [PubMed]
- Deng, Y.; Zhang, P.; Liu, Y.; Wu, Y.; Liu, Z. Optimization of unsteady incompressible Navier-Stokes flows using variational level set method. Int. J. Numer. Methods Fluids 2013, 71, 1475–1493. [Google Scholar] [CrossRef]
- Lee, M.G.; Choi, S.; Park, J.K. Rapid laminating mixer using a contraction-expansion array microchannel. Appl. Phys. Lett. 2009, 95, 051902. [Google Scholar] [CrossRef]







© 2016 by the authors. Licensee MDPI, Basel, Switzerland. This article is an open access article distributed under the terms and conditions of the Creative Commons Attribution (CC-BY) license ( http://creativecommons.org/licenses/by/4.0/).
Share and Cite
Zhou, T.; Wang, H.; Shi, L.; Liu, Z.; Joo, S.W. An Enhanced Electroosmotic Micromixer with an Efficient Asymmetric Lateral Structure. Micromachines 2016, 7, 218. https://doi.org/10.3390/mi7120218
Zhou T, Wang H, Shi L, Liu Z, Joo SW. An Enhanced Electroosmotic Micromixer with an Efficient Asymmetric Lateral Structure. Micromachines. 2016; 7(12):218. https://doi.org/10.3390/mi7120218
Chicago/Turabian StyleZhou, Teng, Hanlin Wang, Liuyong Shi, Zhenyu Liu, and Sang Woo Joo. 2016. "An Enhanced Electroosmotic Micromixer with an Efficient Asymmetric Lateral Structure" Micromachines 7, no. 12: 218. https://doi.org/10.3390/mi7120218
APA StyleZhou, T., Wang, H., Shi, L., Liu, Z., & Joo, S. W. (2016). An Enhanced Electroosmotic Micromixer with an Efficient Asymmetric Lateral Structure. Micromachines, 7(12), 218. https://doi.org/10.3390/mi7120218

