Switchable Vanadium Dioxide Metasurface for Terahertz Ultra-Broadband Absorption and Reflective Polarization Conversion
Abstract
1. Introduction
2. Structure Design and Numerical Method
3. Results and Discussion
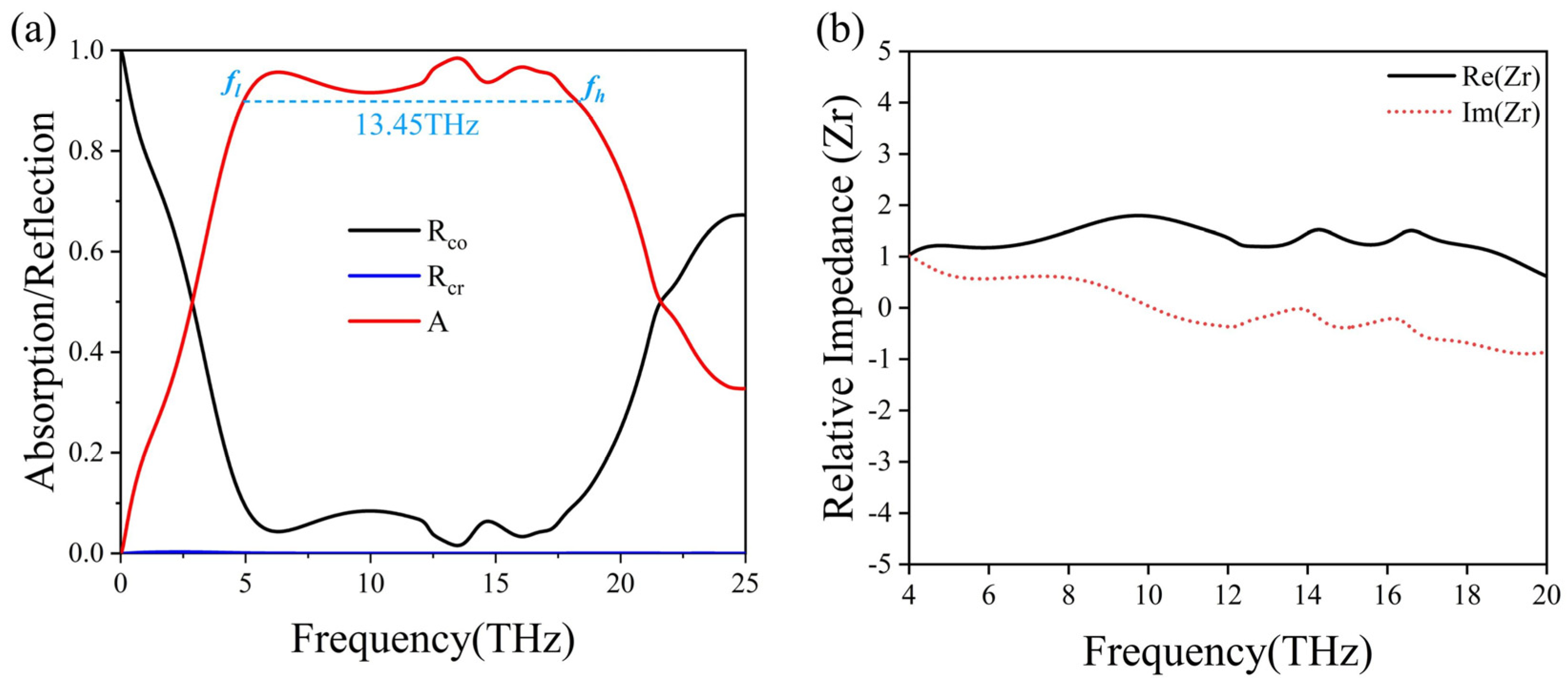
3.1. Ultra-Broadband Absorption with the VO2 Metasurface Structure
3.2. Effective Polarization Converter with the Proposed Metasurface Structure
4. Conclusions
Author Contributions
Funding
Data Availability Statement
Acknowledgments
Conflicts of Interest
References
- Hu, J.; Bandyopadhyay, S.; Liu, Y.-H.; Shao, L.-Y. A Review on Metasurface: From Principle to Smart Metadevices. Front. Phys. 2021, 8, 586087. [Google Scholar] [CrossRef]
- Li, W.; Zhao, W.; Cheng, S.; Zhang, H.; Yi, Z.; Sun, T.; Wu, P.; Zeng, Q.; Raza, R. Tunable metamaterial absorption device based on Fabry–Perot resonance as temperature and refractive index sensing. Opt. Lasers Eng. 2024, 181, 108368. [Google Scholar] [CrossRef]
- Liang, S.; Xu, F.; Li, W.; Yang, W.; Cheng, S.; Yang, H.; Chen, J.; Yi, Z.; Jiang, P. Tunable smart mid infrared thermal control emitter based on phase change material VO2 thin film. Appl. Therm. Eng. 2023, 232, 121074. [Google Scholar] [CrossRef]
- Liang, S.; Cheng, S.; Zhang, H.; Yang, W.; Yi, Z.; Zeng, Q.; Tang, B.; Wu, P.; Ahmad, S.; Sun, T. Structural color tunable intelligent mid-infrared thermal control emitter. Ceram. Int. 2024, 50, 23611–23620. [Google Scholar] [CrossRef]
- Li, W.; Liu, Y.; Ling, L.; Sheng, Z.; Cheng, S.; Yi, Z.; Wu, P.; Zeng, Q.; Tang, B.; Ahmad, S. The tunable absorber films of grating structure of AlCuFe quasicrystal with high Q and refractive index sensitivity. Surf. Interfaces 2024, 48, 104248. [Google Scholar] [CrossRef]
- Li, W.; Liu, M.; Cheng, S.; Zhang, H.; Yang, W.; Yi, Z.; Zeng, Q.; Tang, B.; Ahmad, S.; Sun, T. Polarization independent tunable bandwidth absorber based on single-layer graphene. Diam. Relat. Mater. 2024, 142, 110793. [Google Scholar] [CrossRef]
- Cheng, Y.; Fan, J.; Luo, H.; Chen, F. Dual-Band and High-Efficiency Circular Polarization Convertor Based on Anisotropic Metamaterial. IEEE Access 2020, 8, 7615–7621. [Google Scholar] [CrossRef]
- Chen, H.-T.; Taylor, A.J.; Yu, N. A review of metasurfaces: Physics and applications. Rep. Prog. Phys. 2016, 79, 076401. [Google Scholar] [CrossRef] [PubMed]
- Guo, T.; Argyropoulos, C. Broadband polarizers based on graphene metasurfaces. Opt. Lett. 2016, 41, 5592–5595. [Google Scholar] [CrossRef]
- Wang, C.; Liu, W.; Li, Z.; Cheng, H.; Li, Z.; Chen, S.; Tian, J. Dynamically Tunable Deep Subwavelength High-Order Anomalous Reflection Using Graphene Metasurfaces. Adv. Opt. Mater. 2018, 6, 1701047. [Google Scholar] [CrossRef]
- Boyce, A.M.; Stewart, J.W.; Avila, J.; Shen, Q.; Zhang, S.; Wheeler, V.D.; Mikkelsen, M.H. Actively Tunable Metasurfaces via Plasmonic Nanogap Cavities withSub-10-nm VO2 Films. Nano Lett. 2022, 22, 3525–3531. [Google Scholar] [CrossRef] [PubMed]
- Peng, C.; Ou, K.; Li, G.; Li, X.; Wang, W.; Zhao, Z.; Li, X.; Chen, X.; Lu, W. Tunable phase change polaritonic perfect absorber in the mid-infrared region. Opt. Express 2020, 28, 11721–11729. [Google Scholar] [CrossRef] [PubMed]
- Liang, J.; Zhang, K.; Lei, D.; Yu, L.; Wang, S. Bandwidth-tunable THz absorber based on diagonally distributed double-sized VO2 disks. Appl. Opt. 2021, 60, 3062–3070. [Google Scholar] [CrossRef] [PubMed]
- Zhang, Y.; Chen, D.; Ma, W.; You, S.; Zhang, J.; Fan, M.; Zhou, C. Active optical modulation of quasi-BICs in Si-VO2 hybrid metasurfaces. Opt. Lett. 2022, 47, 5517–5520. [Google Scholar] [CrossRef] [PubMed]
- Hao, J.-M.; Qiu, M.; Zhou, L. Manipulate light polarizations with metamaterials: From microwave to visible. Front. Phys. China 2010, 5, 291–307. [Google Scholar] [CrossRef]
- Ding, F.; Deshpande, R.; Meng, C.; Bozhevolnyi, S.I. Metasurface-enabled broadband beam splitters integrated with quarter-wave plate functionality. Nanoscale 2020, 12, 14106–14111. [Google Scholar] [CrossRef] [PubMed]
- Iwanaga, M. All-Dielectric Metasurface Fluorescence Biosensors for High-Sensitivity Antibody/Antigen Detection. ACS Nano 2020, 14, 17458–17467. [Google Scholar] [CrossRef] [PubMed]
- Lee, C.; Jeon, S.; Kim, S.J. Near-flat top bandpass filter based on non-local resonance in a dielectric metasurface. Opt Express 2023, 31, 4920–4931. [Google Scholar] [CrossRef]
- Liu, W.; Zhang, L.; Ke, J.; Liang, J.; Xiao, C.; Cheng, Q.; Cui, T.J. Metasurface-based broadband polarization-insensitive polarization rotator. Opt Express 2022, 30, 34645–34654. [Google Scholar] [CrossRef]
- Zheng, Z.; Luo, Y.; Yang, H.; Yi, Z.; Zhang, J.; Song, Q.; Yang, W.; Liu, C.; Wu, X.; Wu, P. Thermal tuning of terahertz metamaterial absorber properties based on VO2. Phys. Chem. Chem. Phys. 2022, 24, 8846–8853. [Google Scholar] [CrossRef] [PubMed]
- Guo, T.; Argyropoulos, C. Tunable and broadband coherent perfect absorbers with nonlinear and amplification performance based on asymmetric bifacial graphene metasurfaces. J. Opt. 2020, 22, 084003. [Google Scholar] [CrossRef]
- Barkabian, M.; Sharifi, N.; Granpayeh, N. Multi-functional high-efficiency reflective polarization converter based on an ultra-thin graphene metasurface in the THz band. Opt. Express 2021, 29, 20160–20174. [Google Scholar] [CrossRef]
- Wu, Z.; Tian, J.; Yang, R. A graphene based dual-band metamaterial absorber for TE polarized THz wave. Micro Nanostruct. 2022, 168, 207331. [Google Scholar] [CrossRef]
- Yang, G.; Yan, F.; Du, X.; Li, T.; Wang, W.; Lv, Y.; Zhou, H.; Hou, Y. Tunable broadband terahertz metamaterial absorber based on vanadium dioxide. AIP Advances 2022, 12, 045219. [Google Scholar] [CrossRef]
- Song, Z.; Chen, A.; Zhang, J. Terahertz switching between broadband absorption and narrowband absorption. Opt. Express 2020, 28, 2037–2044. [Google Scholar] [CrossRef]
- Li, Y.; Luo, J.; Li, X.; Li, T.; Wang, W.; Lv, Y.; Zhou, H.; Hou, Y. Switchable Quarter-Wave Plate and Half-Wave Plate Based on Phase-Change Metasurface. IEEE Photonics J. 2020, 12, 045219. [Google Scholar] [CrossRef]
- Zhao, J.-X.; Song, J.-L.; Zhou, Y.; Liu, Y.-C.; Zhou, J.-H. Switching between the Functions of Half-Wave Plate and Quarter-Wave Plate Simply by Using a Vanadium Dioxide Film in a Terahertz Metamaterial. Chin. Phys. Lett. 2020, 37, 064204. [Google Scholar] [CrossRef]
- Lang, T.; Shen, T.; Wang, G.; Shen, C. Tunable broadband all-silicon terahertz absorber based on a simple metamaterial structure. Appl. Opt. 2020, 59, 6265–6270. [Google Scholar] [CrossRef] [PubMed]
- Chen, J.; Chen, X.; Liu, K.; Zhang, S.; Cao, T.; Tian, Z. A Thermally Switchable Bifunctional Metasurface for Broadband Polarization Conversion and Absorption Based on Phase-Change Material. Adv. Photonics Res. 2022, 3, 2100369. [Google Scholar] [CrossRef]
- Zou, H.; Cheng, Y. Design of a six-band terahertz metamaterial absorber for temperature sensing application. Opt. Mater. 2019, 88, 674–679. [Google Scholar] [CrossRef]
- Argyropoulos, C. Enhanced transmission modulation based on dielectric metasurfaces loaded with graphene. Opt. Express 2015, 23, 23787–23797. [Google Scholar] [CrossRef] [PubMed]
- Guo, T.; Argyropoulos, C. Hybrid graphene-plasmon gratings. J. Appl. Phys. 2023, 134, 050901. [Google Scholar] [CrossRef]
- Guo, L.; Zhang, K.; Zhang, X.; Chen, B.; Kong, W. Function switchable broadband wave plate based on the Au-VO2 hybrid metasurface. Opt. Lett. 2022, 47, 4818–4821. [Google Scholar] [CrossRef]
- Yang, Z.; Ko, C.; Ramanathan, S. Oxide Electronics Utilizing Ultrafast Metal-Insulator Transitions. Annu. Rev. Mater. Res. 2011, 41, 337–367. [Google Scholar] [CrossRef]
- Cueff, S.; John, J.; Zhang, Z.; Parra, J.; Sun, J.; Orobtchouk, R.; Ramanathan, S.; Sanchis, P. VO2 nanophotonics. Apl Photonics 2020, 5, 110901. [Google Scholar] [CrossRef]
- Shi, R.; Cai, X.; Wang, W.; Wang, J.; Kong, D.; Cai, N.; Chen, P.; He, P.; Wu, Z.; Amini, A. Single-Crystalline Vanadium Dioxide Actuators. Adv. Funct. Mater. 2019, 29, 1900527. [Google Scholar] [CrossRef]
- Chen, B.; Yang, S.; Chen, J.; Wu, J.; Chen, K.; Li, W.; Tan, Y.; Wang, Z.; Qiu, H.; Fan, K. Directional terahertz holography with thermally active Janus metasurface. Light-Sci. Appl. 2023, 12, 136. [Google Scholar] [CrossRef] [PubMed]
- He, J.; Shi, Z.; Ye, S.; Li, M.; Dong, J. Reconfigurable all-dielectric metasurface based on GSST. Results Phys. 2022, 42, 106017. [Google Scholar] [CrossRef]
- Luo, J.; Shi, X.; Luo, X.; Hu, F.; Li, G. Broadband switchable terahertz half-/quarter-wave plate based on metal-VO2 metamaterials. Opt. Express 2020, 28, 30861–30870. [Google Scholar] [CrossRef]
- Song, Z.; Zhang, J. Achieving broadband absorption and polarization conversion with a vanadium dioxide metasurface in the same terahertz frequencies. Opt. Express 2020, 28, 12487–12497. [Google Scholar] [CrossRef]
- Wei, H.; Ge, H.; Zhao, T.; Sharma, S.; Petru, M.; Dwivedi, S.P.; Kumar, A.; Abbas, M. Vanadium dioxide thin films-assisted terahertz meta-surface for simultaneous absorption, polarization conversion bi-functional switching, and wavefront operation. Results Phys. 2023, 53, 106970. [Google Scholar] [CrossRef]
- Liu, N.; Langguth, L.; Weiss, T.; Kästel, J.; Fleischhauer, M.; Pfau, T.; Giessen, H. Plasmonic analogue of electromagnetically induced transparency at the Drude damping limit. Nat. Mater. 2009, 8, 758–762. [Google Scholar] [CrossRef] [PubMed]
- Song, Z.; Deng, Y.; Zhou, Y.; Liu, Z. Terahertz toroidal metamaterial with tunable properties. Opt. Express 2019, 27, 5792–5797. [Google Scholar] [CrossRef]
- Wang, S.; Kang, L.; Werner, D.H. Hybrid Resonators and Highly Tunable Terahertz Metamaterials Enabled by Vanadium Dioxide (VO2). Sci. Rep. 2017, 7, 4326. [Google Scholar] [CrossRef]
- Liu, M.; Hwang, H.Y.; Tao, H.; Strikwerda, A.C.; Fan, K.; Keiser, G.R.; Sternbach, A.J.; West, K.G.; Kittiwatanakul, S.; Lu, J. Terahertz-field-induced insulator-to-metal transition in vanadium dioxide metamaterial. Nature 2012, 487, 345–348. [Google Scholar] [CrossRef] [PubMed]
- Chen, X.D.; Grzegorczyk, T.M.; Wu, B.I.; Pacheco, J., Jr.; Kong, J.A. Robust method to retrieve the constitutive effective parameters of metamaterials. Phys. Rev. E 2004, 70, 016608. [Google Scholar] [CrossRef]
- Smith, D.R.; Schultz, S.; Markoš, P.; Soukoulis, C.M. Determination of effective permittivity and permeability of metamaterials from reflection and transmission coefficients. Phys. Rev. B 2002, 65, 195104. [Google Scholar] [CrossRef]
- Jiang, Y.; Wang, L.; Wang, J.; Akwuruoha, C.N.; Cao, W. Ultra-wideband high-efficiency reflective linear-to-circular polarization converter based on metasurface at terahertz frequencies. Opt. Express 2017, 25, 27616–27623. [Google Scholar] [CrossRef] [PubMed]
- Grady, N.K.; Heyes, J.E.; Chowdhury, D.R.; Zeng, Y.; Reiten, M.T.; Azad, A.K.; Taylor, A.J.; Dalvit, D.A.R.; Chen, H.-T. Terahertz Metamaterials for Linear Polarization Conversion and Anomalous Refraction. Science 2013, 340, 1304–1307. [Google Scholar] [CrossRef]
- Jing, X.; Gui, X.; Zhou, P.; Hong, Z. Physical Explanation of Fabry-Perot Cavity for Broadband Bilayer Metamaterials Polarization Converter. J. Light. Technol. 2018, 36, 2322–2327. [Google Scholar] [CrossRef]
- Peng, Z.; Zheng, Z.; Yu, Z.; Lan, H.; Zhang, M.; Wang, S.; Li, L.; Liang, H.; Su, H. Broadband absorption and polarization conversion switchable terahertz metamaterial device based on vanadium dioxide. Opt. Laser Technol. 2023, 157, 108723. [Google Scholar] [CrossRef]
- Ma, M.; Lian, X.; Tian, J.; Yang, R. Dual function tunable THz metamaterial device possessing broadband absorption and polarization conversion. AEU Int. J. Electron. Commun. 2023, 163, 154602. [Google Scholar] [CrossRef]
- Liu, W.; Song, Z. Terahertz absorption modulator with largely tunable bandwidth and intensity. Carbon 2021, 174, 617–624. [Google Scholar] [CrossRef]
- Lian, X.; Ma, M.; Tian, J.; Yang, R.; Wu, X. Vanadium dioxide based bifunctional metasurface for broadband absorption and cross-polarization conversion in THz range. Aeu-Int. J. Electron. Commun. 2023, 170, 154784. [Google Scholar] [CrossRef]
- Ding, F.; Zhong, S.; Bozhevolnyi, S.I. Vanadium Dioxide Integrated Metasurfaces with Switchable Functionalities at Terahertz Frequencies. Adv. Opt. Mater. 2018, 6, 1701204. [Google Scholar] [CrossRef]
- Zhang, H.; He, X.; Zhang, D.; Zhang, H. Multitasking device with switchable and tailored functions of ultra-broadband absorption and polarization conversion. Opt. Express 2022, 30, 23341–23358. [Google Scholar] [CrossRef]









| Ref. | Principal Material | Absorption Bandwidth [THz] | Relative Bandwidth | Polarization Conversion Bandwidth PCR > 90% [THz] | Relative Bandwidth | Thickness [μm] |
|---|---|---|---|---|---|---|
| [51] | VO2 | (1.03–2.62) 1.59 | 87.1% | (1.81–2.39) 0.58 | 27.6% | 42.5 |
| [52] | VO2 | (1.80–4.05) 2.25 | 76.9% | (1.68–3.79) 2.11 | 77.1% | 25.9 |
| [53] | VO2 | (1.97–4.63) 2.66 | 80.6% | (1.54–4.18) 2.64 | 92.3% | 23.45 |
| [54] | VO2, Graphene | 0.74; 1.45 | - | (0.335–1.275) 0.94 | 116.77% | 85.5 |
| [55] | VO2 | (0.562–1.232) 0.67 | 74.7% | (0.63–1.12) 0.49 | 56% | 76.3 |
| [56] | VO2, PS * | (0.68–1.6) 0.92 | 80.70% | (0.82–1.6) 0.78 | 64.46% | 48.6 |
| This work | VO2 | (4.95–18.39) 13.44 | 115.1% | (3.51–10.26) 6.75 | 98% | 12.95 |
Disclaimer/Publisher’s Note: The statements, opinions and data contained in all publications are solely those of the individual author(s) and contributor(s) and not of MDPI and/or the editor(s). MDPI and/or the editor(s) disclaim responsibility for any injury to people or property resulting from any ideas, methods, instructions or products referred to in the content. |
© 2024 by the authors. Licensee MDPI, Basel, Switzerland. This article is an open access article distributed under the terms and conditions of the Creative Commons Attribution (CC BY) license (https://creativecommons.org/licenses/by/4.0/).
Share and Cite
Zou, W.; Zhong, C.; Hong, L.; Lei, J.; Shen, Y.; Deng, X.; Chen, J.; Guo, T. Switchable Vanadium Dioxide Metasurface for Terahertz Ultra-Broadband Absorption and Reflective Polarization Conversion. Micromachines 2024, 15, 967. https://doi.org/10.3390/mi15080967
Zou W, Zhong C, Hong L, Lei J, Shen Y, Deng X, Chen J, Guo T. Switchable Vanadium Dioxide Metasurface for Terahertz Ultra-Broadband Absorption and Reflective Polarization Conversion. Micromachines. 2024; 15(8):967. https://doi.org/10.3390/mi15080967
Chicago/Turabian StyleZou, Wei, Changqing Zhong, Lujun Hong, Jiangtao Lei, Yun Shen, Xiaohua Deng, Jing Chen, and Tianjing Guo. 2024. "Switchable Vanadium Dioxide Metasurface for Terahertz Ultra-Broadband Absorption and Reflective Polarization Conversion" Micromachines 15, no. 8: 967. https://doi.org/10.3390/mi15080967
APA StyleZou, W., Zhong, C., Hong, L., Lei, J., Shen, Y., Deng, X., Chen, J., & Guo, T. (2024). Switchable Vanadium Dioxide Metasurface for Terahertz Ultra-Broadband Absorption and Reflective Polarization Conversion. Micromachines, 15(8), 967. https://doi.org/10.3390/mi15080967

