Pseudo-Continuous Flow FTIR System for Glucose, Fructose and Sucrose Identification in Mid-IR Range
Abstract
1. Introduction
2. Microfluidic System Description
3. Experimental Procedure
4. Results and Discussion
4.1. System Optimization
4.2. Qualitative Detection
4.3. System Calibration and Quantitative Analysis
4.3.1. Glucose Calibration Equation
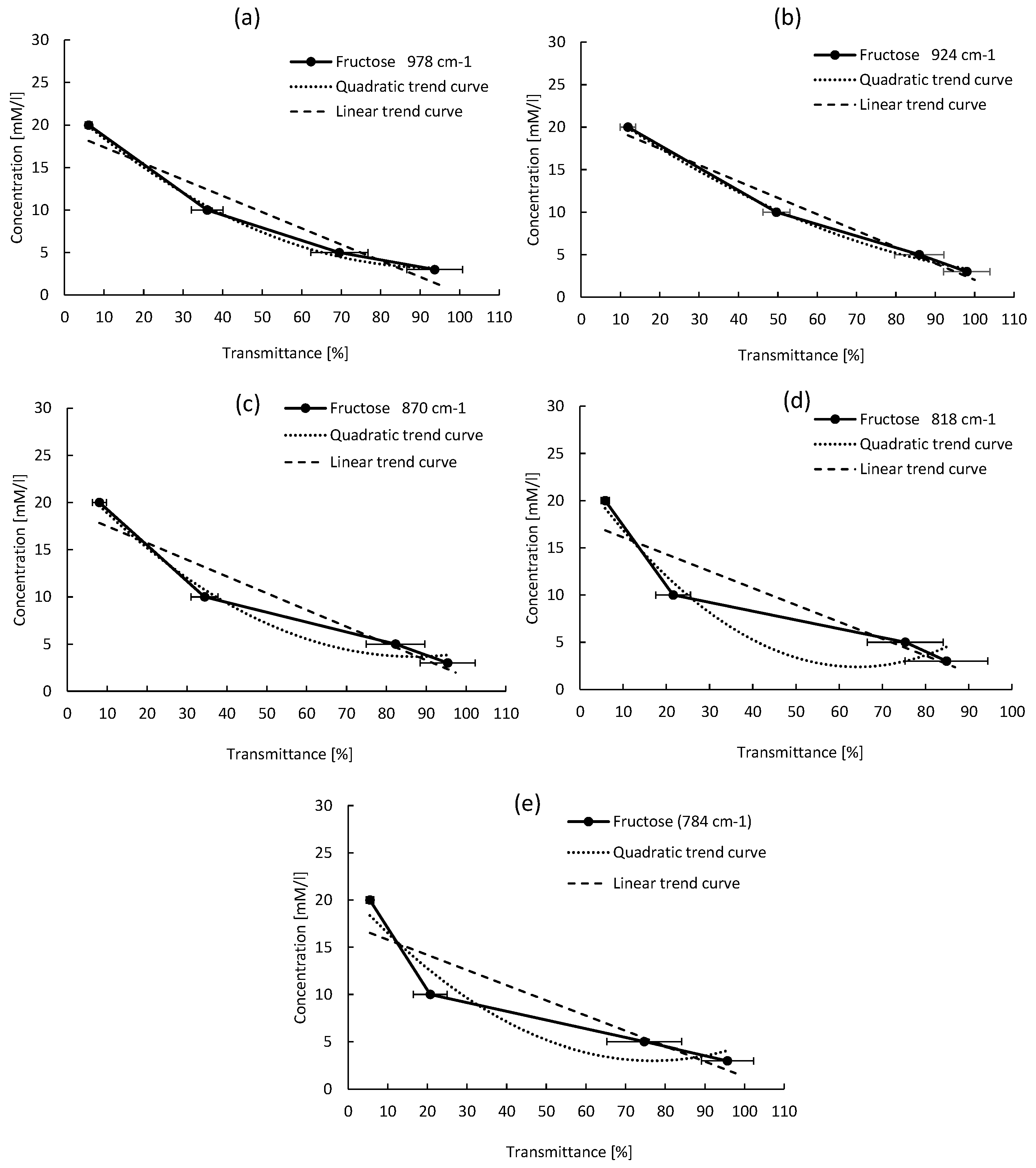
4.3.2. Fructose Calibration Equation
4.3.3. Sucrose Calibration Equation
4.3.4. Discussion
5. Conclusions
Author Contributions
Funding
Acknowledgments
Conflicts of Interest
References
- Canadian Food Inspection Agency. Available online: http://www.inspection.gc.ca/food/labelling/food-labelling-for-industry/nutrition- (accessed on 13 October 2018).
- Walker, J.R. Carbohydrate consumption and diabetes. Proc. Nutr. Soc. 1964, 23, 143–149. [Google Scholar] [CrossRef] [PubMed]
- Herschdoerfer, S. Quality Control in the Food Industry; Elsevier: Amsterdam, The Netherlands, 2012; Volume 2. [Google Scholar]
- Bray, G.A.; Popkin, B.M. Dietary sugar and body weight: Have we reached a crisis in the epidemic of obesity and diabetes? Health be damned! Pour on the sugar. Diabetes Care 2014, 37, 950–956. [Google Scholar] [CrossRef] [PubMed]
- Ludwig, D.S.; Peterson, K.E.; Gortmaker, S.L. Relation between consumption of sugar-sweetened drinks and childhood obesity: A prospective, observational analysis. Lancet 2001, 357, 505–508. [Google Scholar] [CrossRef]
- Pettersen, R.C. Wood sugar analysis by anion chromatography. J. Wood Chem. Technol. 1991, 11, 495–501. [Google Scholar] [CrossRef]
- Ye, J.; Baldwin, R.P. Determination of carbohydrates, sugar acids and alditols by capillary electrophoresis and electrochemical detection at a copper electrode. J. Chromatogr. A 1994, 687, 141–148. [Google Scholar] [CrossRef]
- Roig, B.; Thomas, O. Rapid estimation of global sugars by UV photodegradation and UV spectrophotometry. Anal. Chim. Acta 2003, 477, 325–329. [Google Scholar] [CrossRef]
- Duarte, I.F.; Barros, A.; Delgadillo, I.; Almeida, C.; Gil, A.M. Application of FTIR spectroscopy for the quantification of sugars in mango juice as a function of ripening. J. Agric. Food Chem. 2002, 50, 3104–3111. [Google Scholar] [CrossRef] [PubMed]
- Anjos, O.; Campos, M.G.; Ruiz, P.C.; Antunes, P. Application of FTIR-ATR spectroscopy to the quantification of sugar in honey. Food Chem. 2015, 169, 218–223. [Google Scholar] [CrossRef] [PubMed]
- Garrigues, S.; Rambla, F.; De la Guardia, M. Comparative study of reflectance cells for PLS-FTIR determination of sugars in soft drinks. Fresenius’ J. Anal. Chem. 1998, 362, 137–140. [Google Scholar] [CrossRef]
- Roig, B.; Gonzalez, C.; Thomas, O. Measurement of dissolved total nitrogen in wastewater by UV photooxidation with peroxodisulphate. Anal. Chim. Acta 1999, 389, 267–274. [Google Scholar] [CrossRef]
- Roig, B.; Gonzalez, C.; Thomas, O. Simple UV/UV-visible method for nitrogen and phosphorus measurement in wastewater. Talanta 1999, 50, 751–758. [Google Scholar] [CrossRef]
- Beullens, K.; Kirsanov, D.; Irudayaraj, J.; Rudnitskaya, A.; Legin, A.; Nicolaï, B.M.; Lammertyn, J. The electronic tongue and ATR–FTIR for rapid detection of sugars and acids in tomatoes. Sens. Actuators B Chem. 2006, 116, 107–115. [Google Scholar] [CrossRef]
- Reig, F.B.; Adelantado, J.G.; Moreno, M.M. FTIR quantitative analysis of calcium carbonate (calcite) and silica (quartz) mixtures using the constant ratio method. Application to geological samples. Talanta 2002, 58, 811–821. [Google Scholar] [CrossRef]
- Nagaraju, D.; Huang, S.D. Determination of triazine herbicides in aqueous samples by dispersive liquid–liquid microextraction with gas chromatography–ion trap mass spectrometry. J. Chromatogr. A 2007, 1161, 89–97. [Google Scholar] [CrossRef] [PubMed]
- Coronado, J.M.; Kataoka, S.; Tejedor-Tejedor, I.; Anderson, M.A. Dynamic phenomena during the photocatalytic oxidation of ethanol and acetone over nanocrystalline TiO2: Simultaneous FTIR analysis of gas and surface species. J. Catal. 2003, 219, 219–230. [Google Scholar] [CrossRef]
- Rønne, C.; Thrane, L.; Åstrand, P.O.; Wallqvist, A.; Mikkelsen, K.V.; Keiding, S.R. Investigation of the temperature dependence of dielectric relaxation in liquid water by THz reflection spectroscopy and molecular dynamics simulation. J. Chem. Phys. 1997, 107, 5319–5331. [Google Scholar] [CrossRef]
- Kazarian, S.; Chan, K. Applications of ATR-FTIR spectroscopic imaging to biomedical samples. Biochim. Biophys. Acta (BBA) Biomembr. 2006, 1758, 858–867. [Google Scholar] [CrossRef] [PubMed]
- Kazarian, S.G.; Chan, K.A. ATR-FTIR spectroscopic imaging: Recent advances and applications to biological systems. Analyst 2013, 138, 1940–1951. [Google Scholar] [CrossRef] [PubMed]
- Shahverdi, A.R.; Minaeian, S.; Shahverdi, H.R.; Jamalifar, H.; Nohi, A.A. Rapid synthesis of silver nanoparticles using culture supernatants of Enterobacteria: A novel biological approach. Process Biochem. 2007, 42, 919–923. [Google Scholar] [CrossRef]
- Baker, M.J.; Trevisan, J.; Bassan, P.; Bhargava, R.; Butler, H.J.; Dorling, K.M.; Fielden, P.R.; Fogarty, S.W.; Fullwood, N.J.; Heys, K.A.; et al. Using Fourier transform IR spectroscopy to analyze biological materials. Nat. Protoc. 2014, 9, 1771. [Google Scholar] [CrossRef] [PubMed]
- Boskey, A.; Camacho, N.P. FT-IR imaging of native and tissue-engineered bone and cartilage. Biomaterials 2007, 28, 2465–2478. [Google Scholar] [CrossRef] [PubMed]
- Lu, G.; Fei, B. Medical hyperspectral imaging: A review. J. Biomed. Opt. 2014, 19, 010901. [Google Scholar] [CrossRef] [PubMed]
- Hind, A.R.; Bhargava, S.K.; McKinnon, A. At the solid/liquid interface: FTIR/ATR—The tool of choice. Adv. Colloid Interface Sci. 2001, 93, 91–114. [Google Scholar] [CrossRef]
- Queeney, K.; Weldon, M.; Chang, J.; Chabal, Y.; Gurevich, A.; Sapjeta, J.; Opila, R. Infrared spectroscopic analysis of the Si/SiO2 interface structure of thermally oxidized silicon. J. Appl. Phys. 2000, 87, 1322–1330. [Google Scholar] [CrossRef]
- Doyle, W.M. Principles and applications of Fourier transform infrared (FTIR) process analysis. Process Control Qual. 1992, 2, 11–41. [Google Scholar]
- Larsen, R.A.; Carriker, J. Development and applications of a sample compartment FTIR microscope. Am. Lab. 2007, 39, 10–11. [Google Scholar]
- Base de DonnéEs Standard de Référence NIST. Available online: https://webbook.nist.gov/chemistry/ (accessed on 13 October 2018).
- Ibrahim, M.; Alaam, M.; El-Haes, H.; Jalbout, A.F.; Leon, A.D. Analysis of the structure and vibrational spectra of glucose and fructose. Eclet. Quim. 2006, 31, 15–21. [Google Scholar] [CrossRef]












| Sugars Type | Peak Position (cm) | Reported Peaks Positions (cm) | Position Error (cm) | L-W (cm) | LOD (mm) | 
|---|---|---|---|---|---|
| Glucose | 774 () | 776 | 3 | 22 | |
| 834 () | 836 | 4 | Weak | 3 | |
| 910 () | 915 | 6 | 40 | ||
| Fructose | 784 () | 780 | 2 | 27 | |
| 818 () | 818 | 2 | 25 | ||
| 870 () | 873 | 3 | 32 | 3 | |
| 924 () | 923 | 4 | Weak and Diffuse | ||
| 978 () | 977 | 2 | 35 | ||
| Sucrose | 832 () | 834 | 7 | Blend | |
| 868 () | 869 | 7 | Blend | ||
| 922 () | 924 | 3 | 38 | 1 | |
| 992 () | 994 | 6 | Blend | 
| Sugars Type | Absorption Peaks Positions (cm) | Empirical Function | Measured Absorption Intensity (%) | Calculated Concentration (mm) | Real Concentration (mm) | Quantification Error (%) | |
|---|---|---|---|---|---|---|---|
| 774() | [C] = 0.003 − 0.537T + 25.353 | 0.9864 | 49.300 | 6.644 | 7 | 5.1 | |
| 22.690 | 14.808 | 15 | 1.3 | ||||
| Glucose | 834 () | 0.9686 | 77.960 | 6.076 | 7 | 13.2 | |
| 40.945 | 14.738 | 15 | 1.7 | ||||
| 910 () | 0.9462 | 78.216 | 5.200 | 7 | 25.7 | ||
| 24.416 | 18.021 | 15 | 20.1 | ||||
| 784 () | 0.9187 | 35.199 | 8.221 | 7 | 17.4 | ||
| 15.100 | 14.512 | 15 | 3.2 | ||||
| 818 () | [C]=0.005−0.633+ 22.704 | 0.9495 | 33.093 | 7.099 | 7 | 1.41 | |
| 13.081 | 15.253 | 15 | 1.68 | ||||
| Fructose | 870 () | 0.9804 | 20.458 | 15.034 | 7 | 114 | |
| 40.426 | 9.296 | 15 | 38 | ||||
| 924 () | 0.9974 | 45.789 | 11.031 | 7 | 57.6 | ||
| 23.81 | 16.461 | 15 | 9.741 | ||||
| 978 () | 0.9971 | 31.523 | 11.572 | 7 | 65.3 | ||
| 2.881 | 21.088 | 15 | 40.6 | ||||
| 832 () | 0.9886 | 39.063 | 8.732 | 7 | 24.7 | ||
| 35.090 | 10.466 | 15 | 30.2 | ||||
| 868 () | 0.9897 | 41.083 | 8.234 | 7 | 17.6 | ||
| Sucrose | 33.482 | 11.426 | 15 | 23.8 | |||
| 922() | = 0.020 − 1.566 + 33.262 | 0.9796 | 23.976 | 7.555 | 7 | 7.9 | |
| 14.902 | 14.498 | 15 | 3.3 | ||||
| 992 () | 0.3727 | 7.765 | 12.285 | 7 | 75.5 | ||
| 5.623 | 12.554 | 15 | 16.3 | 
| Sugars Type | Absorption Peaks Positions (cm) | Empirical Function | Measured Absorption Intensity (%) | Calculated Concentration (mm) | Real Concentration (mm) | Quantification Error (%) | |
|---|---|---|---|---|---|---|---|
| 774 () | 0.9175 | 49.3 | 8.325 | 7 | 18.9 | ||
| 22.69 | 15.281 | 15 | 1.9 | ||||
| Glucose | 834 () | 0.9534 | 77.96 | 6.429 | 7 | 8.2 | |
| 40.945 | 15.28 | 15 | 1.9 | ||||
| 910 () | 0.9321 | 78.216 | 5.753 | 7 | 17.8 | ||
| 24.416 | 17.982 | 15 | 19.9 | ||||
| 784 () | 0.827 | 35.199 | 11.744 | 7 | 67.7 | ||
| 15.1 | 14.978 | 15 | 0.14 | ||||
| 818 () | 0.8461 | 33.93 | 11.965 | 7 | 70.9 | ||
| 13.81 | 15.547 | 15 | 3.6 | ||||
| Fructose | 870 () | 0.912 | 20.458 | 15.629 | 7 | 123.2 | |
| 40.426 | 12.084 | 15 | 19.4 | ||||
| 924 () | 0.974 | 45.789 | 12.504 | 7 | 78.6 | ||
| 23.81 | 16.744 | 15 | 11.6 | ||||
| 978 () | 0.925 | 31.523 | 13.281 | 7 | 89.7 | ||
| 2.881 | 18.746 | 15 | 24.9 | ||||
| 832 () | 0.8544 | 39.063 | 11.084 | 7 | 58.3 | ||
| 35.09 | 12.33 | 15 | 17.8 | ||||
| 868 () | 0.8824 | 41.083 | 10.418 | 7 | 48.8 | ||
| Sucrose | 33.482 | 12.914 | 15 | 13.9 | |||
| 922 () | 0.898 | 23.976 | 10.610 | 7 | 51.6 | ||
| 14.902 | 15.192 | 15 | 1.3 | ||||
| 992 () | 0.3569 | 7.765 | 12.447 | 7 | 77.8 | ||
| 5.623 | 13.559 | 15 | 9.6 | 
© 2018 by the authors. Licensee MDPI, Basel, Switzerland. This article is an open access article distributed under the terms and conditions of the Creative Commons Attribution (CC BY) license (http://creativecommons.org/licenses/by/4.0/).
Share and Cite
Landari, H.; Roudjane, M.; Messaddeq, Y.; Miled, A. Pseudo-Continuous Flow FTIR System for Glucose, Fructose and Sucrose Identification in Mid-IR Range. Micromachines 2018, 9, 517. https://doi.org/10.3390/mi9100517
Landari H, Roudjane M, Messaddeq Y, Miled A. Pseudo-Continuous Flow FTIR System for Glucose, Fructose and Sucrose Identification in Mid-IR Range. Micromachines. 2018; 9(10):517. https://doi.org/10.3390/mi9100517
Chicago/Turabian StyleLandari, Hamza, Mourad Roudjane, Younès Messaddeq, and Amine Miled. 2018. "Pseudo-Continuous Flow FTIR System for Glucose, Fructose and Sucrose Identification in Mid-IR Range" Micromachines 9, no. 10: 517. https://doi.org/10.3390/mi9100517
APA StyleLandari, H., Roudjane, M., Messaddeq, Y., & Miled, A. (2018). Pseudo-Continuous Flow FTIR System for Glucose, Fructose and Sucrose Identification in Mid-IR Range. Micromachines, 9(10), 517. https://doi.org/10.3390/mi9100517
 
        

 
       