Reliability Design and Electro-Thermal-Optical Simulation of Bridge-Style Infrared Thermal Emitters
Abstract
:1. Introduction
2. Structure Design and 3D-FEM Simulation
2.1. Material and Structure Design of IR Thermal Emitter
2.2. Parameter Setup of 3D-FEM Simulation
3. Results and Discussion
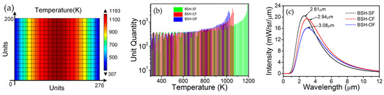
3.1. Electro-Thermal-Mechanical Simulations
3.2. Simulations of IR Emission Spectra
3.3. Simulation of Modulation Characteristics
4. Conclusions
Acknowledgments
Author Contributions
Conflicts of Interest
References
- Ono, A.; Sano, H.; Inami, W.; Kawata, Y. Surface plasmon excitation and localization by metal-coated axicon prism. Micromachines 2012, 3, 55–61. [Google Scholar] [CrossRef]
- Konz, W.; Hildenbrand, J.; Bauersfeld, M.; Hartwig, S.; Lambrecht, A.; Lehmann, V.; Wollenstein, J. Micromachined IR-source with excellent blackbody like behaviour. Proc. SPIE 2005, 5836, 540–548. [Google Scholar]
- Chen, J.Y.; Liu, J.Q.; Guo, W.H.; Wang, T.; Zhang, J.C.; Li, L.; Wang, Z. High-power surface-emitting surface-plasmon-enhanced distributed feedback quantum cascade lasers. IEEE Photonics Technol. Lett. 2012, 24, 972–974. [Google Scholar] [CrossRef]
- Jung, J.Y.; Lee, J.; Choi, D.G.; Choi, J.H.; Jeong, J.H.; Lee, E.S.; Neikirk, D.P. Wavelength-selective infrared metasurface absorber for multispectral thermal detection. IEEE Photonics J. 2015, 7, 1–10. [Google Scholar] [CrossRef]
- Du, K.K.; Li, Q.; Zhang, W.C.; Yang, Y.; Qiu, M. Wavelength and thermal distribution selectable microbolometers based on metamaterial absorbers. IEEE Photonics J. 2015, 7, 1–8. [Google Scholar] [CrossRef]
- Hildenbrand, J.; Korvink, J.; Wöllenstein, J.; Peter, C.; Kürzinger, A.; Naumann, F.; Ebert, M.; Lamprecht, F. Micromachined mid-infrared emitter for fast transient temperature operation for optical gas sensing systems. IEEE Sens. J. 2010, 10, 353–362. [Google Scholar] [CrossRef]
- Spanhake, J.; Schulz, O.; Helwig, A.; Krenkow, A.; Müller, G.; Doll, T. High-temperature MEMS heater platforms: Long-term performance of metal and semiconductor materials. Sensors 2006, 6, 405–419. [Google Scholar] [CrossRef]
- Lee, K.N.; Lee, D.S.; Jung, S.W.; Jang, Y.H.; Kim, Y.K.; Seong, W.K. A high-temperature MEMS heater using suspended silicon structures. J. Micromech. Microeng. 2009, 19, 115011. [Google Scholar] [CrossRef]
- Courbat, J.; Briand, D.; de Rooij, N.F. Reliability improvement of suspended platinum-based micro-heating elements. Sens. Actuators A 2008, 142, 284–291. [Google Scholar] [CrossRef]
- Intex Inc. Pulsed Broadband Infrared Light Source; Intex MIRL17–900; Intex Inc.: Tucson, AZ, USA, 2006. [Google Scholar]
- Axetris AG. Axetris Infrared Sources; EMIRS200; Axetris AG: Kaegiswil, Switzerland, 2006. [Google Scholar]
- Friedberger, A.; Kreisl, P.; Rose, E.; Müller, G.; Kühner, G. Micromechanical fabrication of robust low-power metal oxide gas sensors. Sens. Actuators B 2003, 93, 345–349. [Google Scholar] [CrossRef]
- San, H.S.; Li, C.Z.; Chen, X.Y.; Chen, R.B.; Zhang, Q. Silicon-based micro-machined infrared emitters with a micro-bridge and a self-heating membrane structure. IEEE Photonics Technol. Lett. 2013, 25, 1014–1016. [Google Scholar] [CrossRef]
- Monika, D.; Arora, A. Design and simulation of MEMS based microhotplate as gas Sensor. Int. J. Adv. Res. Comput. Eng. Technol. 2013, 2, 2487–2492. [Google Scholar]
- San, H.S.; Chen, X.Y.; Cheng, M.Y.; Li, F.Q. A silicon micromachined infrared emitter based on SOI wafer. Proc. SPIE 2008, 6836, 68360N. [Google Scholar]
- Brewster, M.Q. Thermal Radiative Transfer and Properties; John Wiley & Sons: Hoboken, NJ, USA, 1992; p. 56. [Google Scholar]






| Parameters | Single Crystal Silicon (SC-Si) | Polycrystalline Silicon (Poly-Si) |
|---|---|---|
| Density | 2329 kg/m3 | 2320 kg/m3 |
| Young’s modulus | 170 × 109 Pa | 160 × 109 Pa |
| Poission’s ratio | 0.28 | 0.22 |
| Thermal expansion coefficient | 2.6 × 10−6 K−1 | 2.6× 10−6 K−1 |
| Heat capacity | 700 J/(kg·K) | 678 J/(kg·K) |
| Thermal conductivity | 131 W/(m·K) | 34 W/(m·K) |
| Parameters | Length (μm) | Width (μm) | Thickness (μm) |
|---|---|---|---|
| Frame | 4000 | 4000 | 400 |
| Cavity | 2760 | 2760 | 400 |
| Hotplate | 3400 | 2000 | 5.5 |
| Slot | 2760 | 380 | 5.0 |
| Electrode | 2000 | 200 | 5.0 |
| Fillet | Circular: R = 380 μm | 5.0 | |
| Oval: a = 1380 μm, b = 380 μm | |||
© 2016 by the authors. Licensee MDPI, Basel, Switzerland. This article is an open access article distributed under the terms and conditions of the Creative Commons Attribution (CC-BY) license ( http://creativecommons.org/licenses/by/4.0/).
Share and Cite
Zhou, P.; Chen, R.; Wang, N.; San, H.; Chen, X. Reliability Design and Electro-Thermal-Optical Simulation of Bridge-Style Infrared Thermal Emitters. Micromachines 2016, 7, 166. https://doi.org/10.3390/mi7090166
Zhou P, Chen R, Wang N, San H, Chen X. Reliability Design and Electro-Thermal-Optical Simulation of Bridge-Style Infrared Thermal Emitters. Micromachines. 2016; 7(9):166. https://doi.org/10.3390/mi7090166
Chicago/Turabian StyleZhou, Peng, Ranbin Chen, Na Wang, Haisheng San, and Xuyuan Chen. 2016. "Reliability Design and Electro-Thermal-Optical Simulation of Bridge-Style Infrared Thermal Emitters" Micromachines 7, no. 9: 166. https://doi.org/10.3390/mi7090166
APA StyleZhou, P., Chen, R., Wang, N., San, H., & Chen, X. (2016). Reliability Design and Electro-Thermal-Optical Simulation of Bridge-Style Infrared Thermal Emitters. Micromachines, 7(9), 166. https://doi.org/10.3390/mi7090166

