Electrical Characterization and Simulation of GaN-on-Si Pseudo-Vertical MOSFETs with Frequency-Dependent Gate C–V Investigation
Abstract
1. Introduction
2. Materials and Methods
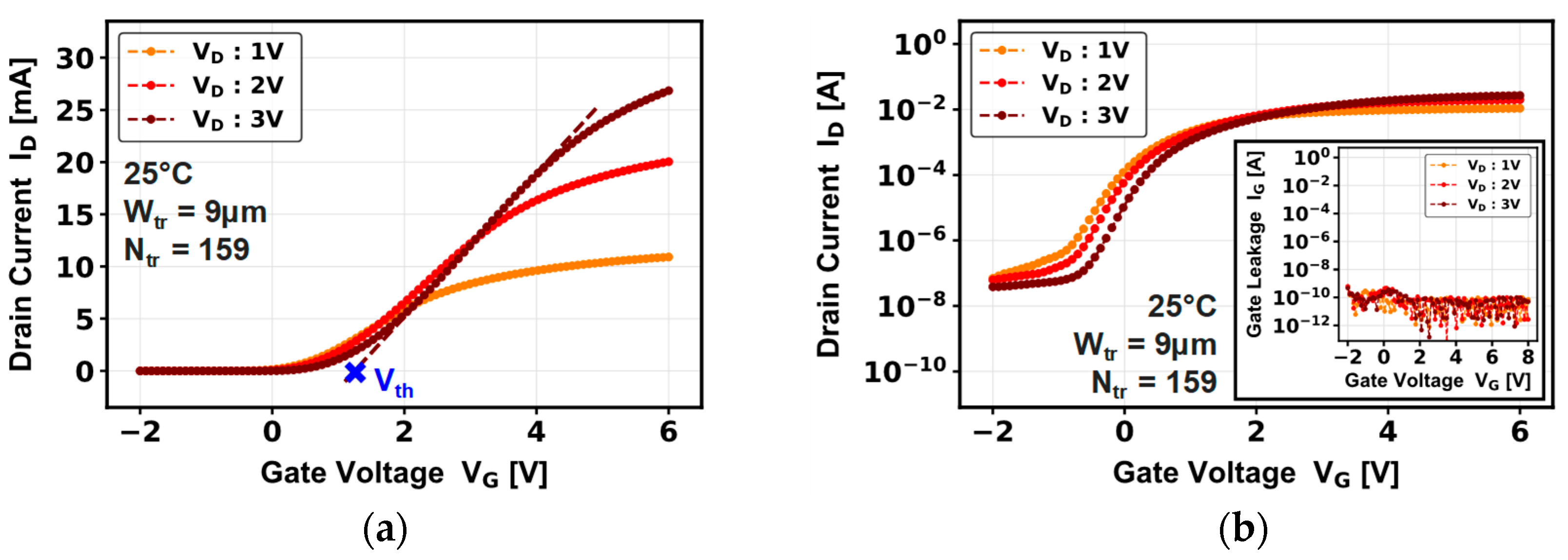
3. Results and Discussion
4. Conclusions
Author Contributions
Funding
Data Availability Statement
Conflicts of Interest
References
- Pushpakaran, B.N.; Subburaj, A.S.; Bayne, S.B. Commercial GaN-Based Power Electronic Systems: A Review. J. Electron. Mater. 2020, 49, 6247–6262. [Google Scholar] [CrossRef]
- Flack, T.J.; Pushpakaran, B.N.; Bayne, S.B. GaN Technology for Power Electronic Applications: A Review. J. Electron. Mater. 2016, 45, 2673–2682. [Google Scholar] [CrossRef]
- Ji, D.; Laurent, M.A.; Agarwal, A.; Li, W.; Mandal, S.; Keller, S.; Chowdhury, S. Normally off Trench CAVET with Active Mg-Doped GaN as Current Blocking Layer. IEEE Trans. Electron Devices 2017, 64, 805–808. [Google Scholar] [CrossRef]
- Khadar, R.A.; Liu, C.; Soleimanzadeh, R.; Matioli, E. Fully Vertical GaN-on-Si Power MOSFETs. IEEE Electron Device Lett. 2019, 40, 443–446. [Google Scholar] [CrossRef]
- Ackermann, V.; Mohamad, B.; El Rammouz, H.; Maurya, V.; Frayssinet, E.; Cordier, Y.; Charles, M.; Lefevre, G.; Buckley, J.; Salem, B. Mobility Extraction Using Improved Resistance Partitioning Methodology for Normally-OFF Fully Vertical GaN Trench MOSFETs. Electronics 2024, 13, 2350. [Google Scholar] [CrossRef]
- Zhang, Y.; Sun, M.; Perozek, J.; Liu, Z.; Zubair, A.; Piedra, D.; Chowdhury, N.; Gao, X.; Shepard, K.; Palacios, T. Large Area 1.2 KV GaN Vertical Power FinFETs with a Record Switching Figure-of-Merit. IEEE Electron. Device Lett. 2018, 40, 75–78. [Google Scholar] [CrossRef]
- Chen, Z.; Yue, W.; Zhu, R.; Wang, M.; Zhu, X.; Lin, J.; Huang, S.; Liu, X. Study of Drain-Induced Channel Effects in Vertical GaN Junction Field-Effect Transistors. Semicond. Sci. Technol. 2024, 39, 075002. [Google Scholar] [CrossRef]
- Zhu, R.; Jiang, H.; Tang, C.W.; Lau, K.M. GaN Quasi-Vertical Trench MOSFETs Grown on Si Substrate with ON-Current Exceeding 1 A. Appl. Phys. Express 2022, 15, 121004. [Google Scholar] [CrossRef]
- Liu, C.; Abdul Khadar, R.; Matioli, E. GaN-on-Si Quasi-Vertical Power MOSFETs. IEEE Electron Device Lett. 2018, 39, 71–74. [Google Scholar] [CrossRef]
- Goncalez Filho, W.; Borga, M.; Geens, K.; Cingu, D.; Chatterjee, U.; You, S.; Bakeroot, B.; Decoutere, S.; Knaepen, W.; Arnou, P.; et al. AlON gate dielectric and gate trench cleaning for improved reliability of vertical GaN MOSFETs. In Proceedings of the CIPS 2022, 12th International Conference on Integrated Power Electronics Systems, Berlin, Germany, 15–17 March 2022; pp. 1–5. [Google Scholar]
- Ishida, T.; Pil Nam, K.; Matys, M.; Uesugi, T.; Suda, J.; Kachi, T. Improvement of Channel Property of GaN Vertical Trench MOSFET by Compensating Nitrogen Vacancies with Nitrogen Plasma Treatment. Appl. Phys. Express 2020, 13, 124003. [Google Scholar] [CrossRef]
- Kanechika, M.; Ito, K.; Narita, T.; Tomita, K.; Iwasaki, S.; Kikuta, D.; Kachi, T. A High Channel Mobility and a Normally-off Operation of a Vertical GaN Metal-Oxide-Semiconductor Field-Effect Transistors using an AlSiO/AlN Gate Stack Structure on m-plane Trench Sidewall. Phys. Status Solidi RRL 2024, 18, 2400010. [Google Scholar] [CrossRef]
- Zhang, Y.; Sun, M.; Liu, Z.; Piedra, D.; Hu, J.; Gao, X.; Palacios, T. Trench Formation and Corner Rounding in Vertical GaN Power Devices. Appl. Phys. Lett. 2017, 110, 193506. [Google Scholar] [CrossRef]
- Mukherjee, K.; De Santi, C.; Borga, M.; You, S.; Geens, K.; Bakeroot, B.; Decoutere, S.; Meneghesso, G.; Zanoni, E.; Meneghini, M. Use of Bilayer Gate Insulator in GaN-on-Si Vertical Trench MOSFETs: Impact on Performance and Reliability. Materials 2020, 13, 4740. [Google Scholar] [CrossRef] [PubMed]
- Ruzzarin, M.; Meneghini, M.; Bisi, D.; Sun, M.; Palacios, T.; Meneghesso, G.; Zanoni, E. Instability of Dynamic-RON and Threshold Voltage in GaN-on-GaN Vertical Field-Effect Transistors. IEEE Trans. Electron Devices 2017, 64, 3126–3131. [Google Scholar] [CrossRef]
- Mukherjee, K.; Borga, M.; Ruzzarin, M.; De Santi, C.; Stoffels, S.; You, S.; Geens, K.; Liang, H.; Decoutere, S.; Meneghesso, G.; et al. Analysis of Threshold Voltage Instabilities in Semi-Vertical GaN-on-Si FETs. Appl. Phys. Express 2020, 13, 024004. [Google Scholar] [CrossRef]
- Fregolent, M.; Del Fiol, A.; De Santi, C.; Huber, C.; Meneghesso, G.; Zanoni, E.; Meneghini, M. Threshold Voltage Instability in SiO2-Gate Semi-Vertical GaN Trench MOSFETs Grown on Silicon Substrate. Microelectron. Reliab. 2023, 150, 115130. [Google Scholar] [CrossRef]
- Mukherjee, K.; De Santi, C.; You, S.; Geens, K.; Borga, M.; Decoutere, S.; Bakeroot, B.; Diehle, P.; Altmann, F.; Meneghesso, G.; et al. Study and Characterization of GaN MOS Capacitors: Planar vs. Trench Topographies. Appl. Phys. Lett. 2022, 120, 143501. [Google Scholar] [CrossRef]
- Ruzzarin, M.; Geens, K.; Borga, M.; Liang, H.; You, S.; Bakeroot, B.; Decoutere, S.; De Santi, C.; Neviani, A.; Meneghini, M.; et al. Exploration of Gate Trench Module for Vertical GaN Devices. Microelectron. Reliab. 2020, 114, 113828. [Google Scholar] [CrossRef]
- Sang, L.; Ren, B.; Nabatame, T.; Sumiya, M.; Liao, M. Insight into Traps at Al2O3/p-GaN Metal-Oxide-Semiconductor Interface Fabricated on Free-Standing GaN Substrate. J. Alloys Compd. 2021, 853, 157356. [Google Scholar] [CrossRef]
- Zhu, R.; Lin, J.; Gu, H.; Chen, L.; Zhang, B.; Liu, H.; Liu, X. Vertical Al2O3/GaN MOS Capacitors with PEALD-GaOx Interlayer Passivation. Appl. Phys. Lett. 2025, 126, 081603. [Google Scholar] [CrossRef]
- Schroder, D.K. Semiconductor Material and Device Characterization; Wiley: Hoboken, NJ, USA, 2005. [Google Scholar] [CrossRef]
- Jaud, M.-A.; Vandendaele, W.; Rrustemi, B.; Viey, A.G.; Martin, S.; Le Royer, C.; Vauche, L.; Martinie, S.; Gwoziecki, R.; Modica, R.; et al. Comprehensive TCAD Analysis of Threshold Voltage on GaN-on-Si MOS-Channel Fully Recessed Gate HEMTs. IEEE Trans. Electron. Devices 2022, 69, 669–674. [Google Scholar] [CrossRef]
- Vandendaele, W.; Martin, S.; Jaud, M.-A.; Krakovinsky, A.; Vauche, L.; Le Royer, C.; Biscarrat, J.; Viey, A.G.; Gwoziecki, R.; Modica, R.; et al. A Novel Insight on Interface Traps Density (Dit) Extraction in GaN-on-Si MOS-c HEMTs. In Proceedings of the 2020 IEEE International Electron Devices Meeting (IEDM), San Francisco, CA, USA, 12–18 December 2020; IEEE: San Francisco, CA, USA, 2020; pp. 23.5.1–23.5.4. [Google Scholar] [CrossRef]
- Borga, M.; Mukherjee, K.; De Santi, C.; Stoffels, S.; Geens, K.; You, S.; Bakeroot, B.; Decoutere, S.; Meneghesso, G.; Zanoni, E.; et al. Modeling of Gate Capacitance of GaN-Based Trench-Gate Vertical Metal-Oxide-Semiconductor Devices. Appl. Phys. Express 2020, 13, 024006. [Google Scholar] [CrossRef]
- Zhang, K.; Liao, M.; Imura, M.; Nabatame, T.; Ohi, A.; Sumiya, M.; Koide, Y.; Sang, L. Electrical Hysteresis in P-GaN Metal–Oxide–Semiconductor Capacitor with Atomic-Layer-Deposited Al2O3 as Gate Dielectric. Appl. Phys. Express 2016, 9, 121002. [Google Scholar] [CrossRef]
- Zhu, R.; Jiang, H.; Tang, C.W.; Lau, K.M. Effects of P-GaN Body Doping Concentration on the ON-State Performance of Vertical GaN Trench MOSFETs. IEEE Electron. Device Lett. 2021, 42, 970–973. [Google Scholar] [CrossRef]
- Götz, W.; Johnson, N.M.; Walker, J.; Bour, D.P.; Street, R.A. Activation of Acceptors in Mg-Doped GaN Grown by Metalorganic Chemical Vapor Deposition. Appl. Phys. Lett. 1996, 68, 667–669. [Google Scholar] [CrossRef]
- Esposto, M.; Krishnamoorthy, S.; Nath, D.N.; Bajaj, S.; Hung, T.-H.; Rajan, S. Electrical Properties of Atomic Layer Deposited Aluminum Oxide on Gallium Nitride. Appl. Phys. Lett. 2011, 99, 133503. [Google Scholar] [CrossRef]
- Rrustemi, B.; Piotrowicz, C.; Jaud, M.-A.; Triozon, F.; Vandendaele, W.; Mohamad, B.; Gwoziecki, R.; Ghibaudo, G. Effect of Doping on Al2O3/GaN MOS Capacitance. Solid-State Electron. 2022, 194, 108356. [Google Scholar] [CrossRef]










Disclaimer/Publisher’s Note: The statements, opinions and data contained in all publications are solely those of the individual author(s) and contributor(s) and not of MDPI and/or the editor(s). MDPI and/or the editor(s) disclaim responsibility for any injury to people or property resulting from any ideas, methods, instructions or products referred to in the content. |
© 2025 by the authors. Licensee MDPI, Basel, Switzerland. This article is an open access article distributed under the terms and conditions of the Creative Commons Attribution (CC BY) license (https://creativecommons.org/licenses/by/4.0/).
Share and Cite
Ackermann, V.; El Amrani, M.; Mohamad, B.; Ben Abbes, R.; Charles, M.; Cavalaglio, S.; Manrique, M.; Buckley, J.; Salem, B. Electrical Characterization and Simulation of GaN-on-Si Pseudo-Vertical MOSFETs with Frequency-Dependent Gate C–V Investigation. Micromachines 2025, 16, 1193. https://doi.org/10.3390/mi16111193
Ackermann V, El Amrani M, Mohamad B, Ben Abbes R, Charles M, Cavalaglio S, Manrique M, Buckley J, Salem B. Electrical Characterization and Simulation of GaN-on-Si Pseudo-Vertical MOSFETs with Frequency-Dependent Gate C–V Investigation. Micromachines. 2025; 16(11):1193. https://doi.org/10.3390/mi16111193
Chicago/Turabian StyleAckermann, Valentin, Mohammed El Amrani, Blend Mohamad, Riadh Ben Abbes, Matthew Charles, Sebastien Cavalaglio, Manuel Manrique, Julien Buckley, and Bassem Salem. 2025. "Electrical Characterization and Simulation of GaN-on-Si Pseudo-Vertical MOSFETs with Frequency-Dependent Gate C–V Investigation" Micromachines 16, no. 11: 1193. https://doi.org/10.3390/mi16111193
APA StyleAckermann, V., El Amrani, M., Mohamad, B., Ben Abbes, R., Charles, M., Cavalaglio, S., Manrique, M., Buckley, J., & Salem, B. (2025). Electrical Characterization and Simulation of GaN-on-Si Pseudo-Vertical MOSFETs with Frequency-Dependent Gate C–V Investigation. Micromachines, 16(11), 1193. https://doi.org/10.3390/mi16111193

