Analytical Solutions for Electroosmotic Flow and Heat Transfer Characteristics of Nanofluids in Circular Cylindrical Microchannels with Slip-Dependent Zeta Potential Considering Thermal Radiative Effects
Abstract
1. Introduction
2. Mathematical Modeling
- The wall heat flux qw is consistent and unchanging along the channel wall;
- Compared to the radiative heat flux qr in the r direction, the contribution of radiative heat transfer in the z direction is relatively small and does not significantly affect the overall thermal analysis. Therefore, it can be assumed to be negligible;
- The wall zeta potential is small enough for the Debye–Huckel linearization approximation to be applied;
- The flow is considered to be steady, laminar, thermally and hydrodynamically fully developed;
- Nanoparticles are uniformly dispersed within the base fluid and have reached thermal equilibrium with it. Consequently, the electric double layers formed around the nanoparticles are significantly smaller than those present on the channel walls;
- Because the designed Debye length of the pipe is significantly smaller than its diameter, it is assumed that the EDL formed on the channel walls do not overlap;
- Nanoparticles are assumed to be uniformly distributed.
2.1. Electric Potential
2.2. Velocity Field
2.3. Temperature Field
3. Results and Discussions
3.1. Validation of Results
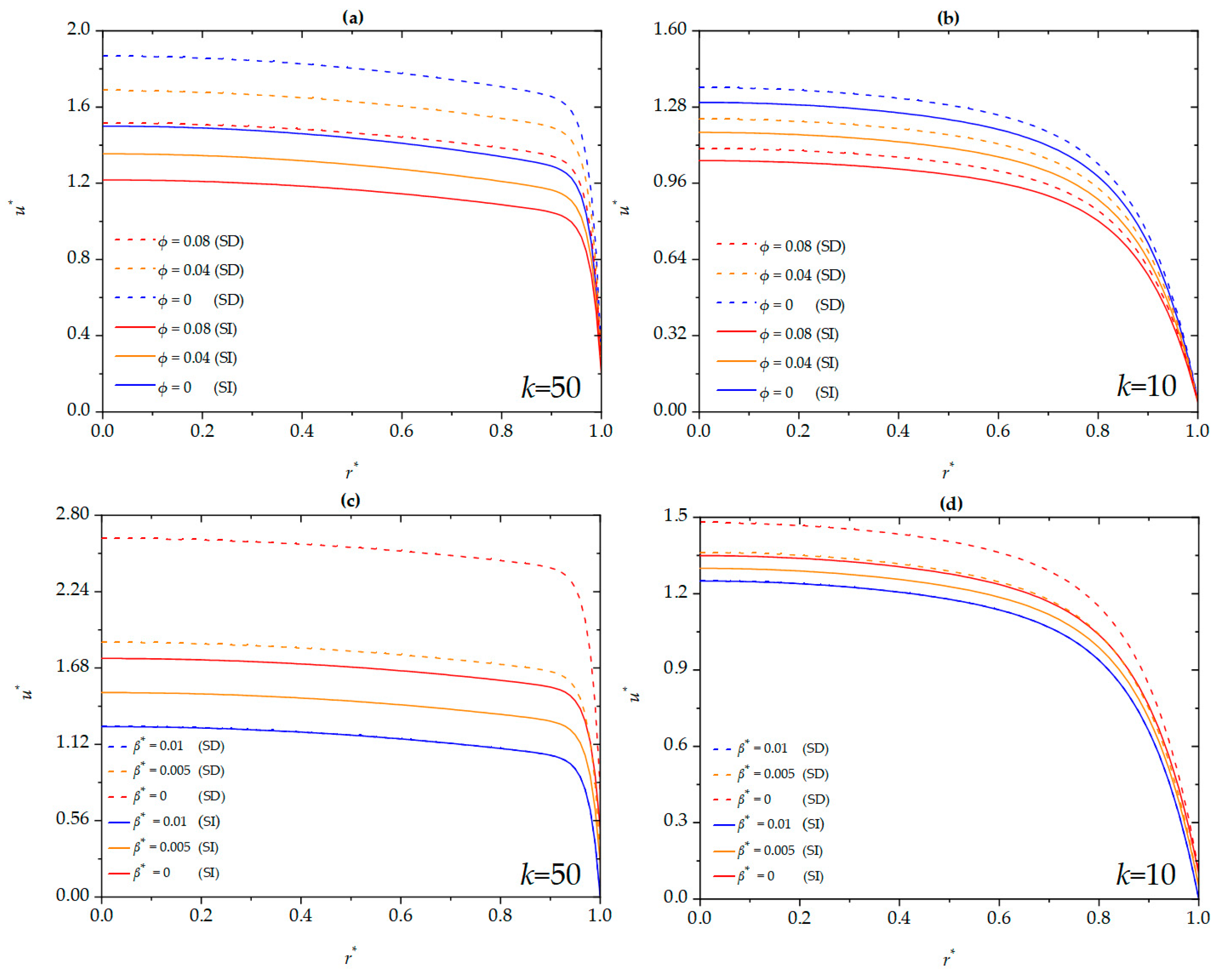
3.2. Velocity Distribution
3.3. Temperature Distribution
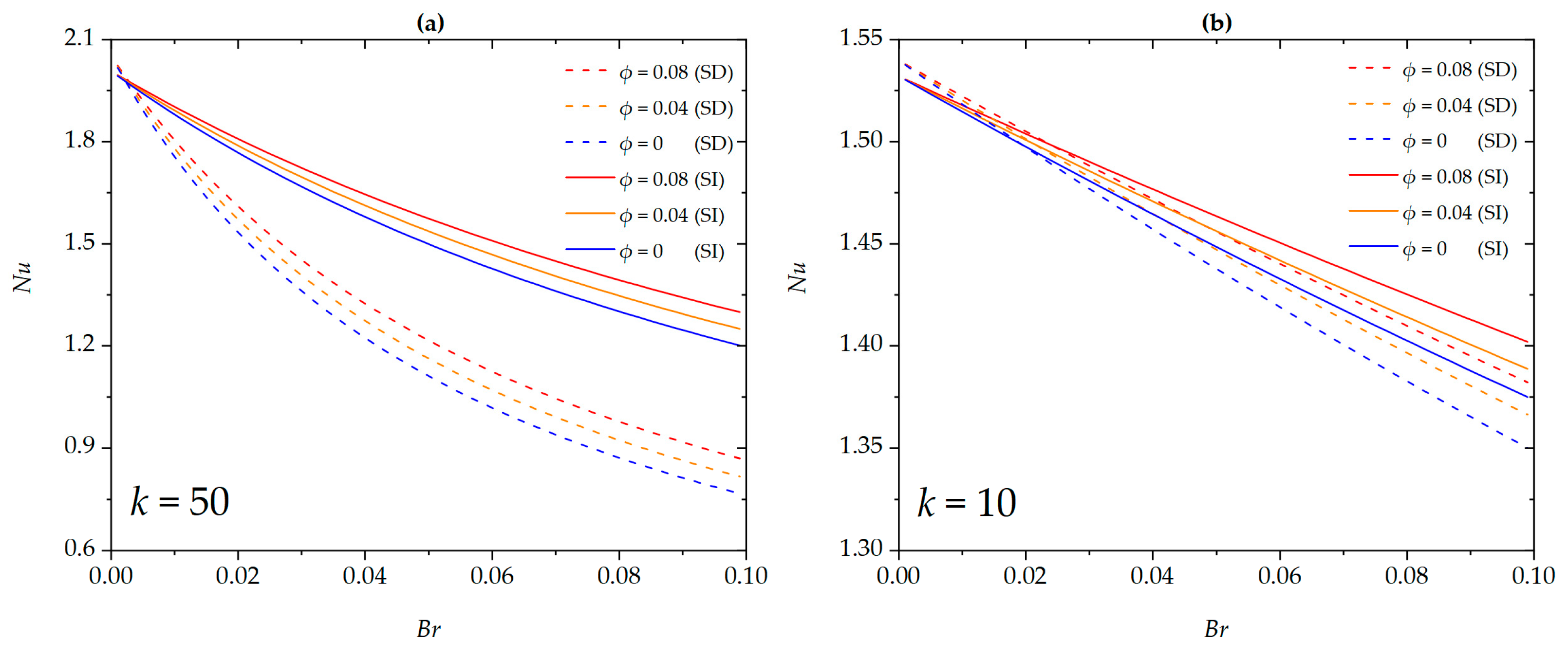
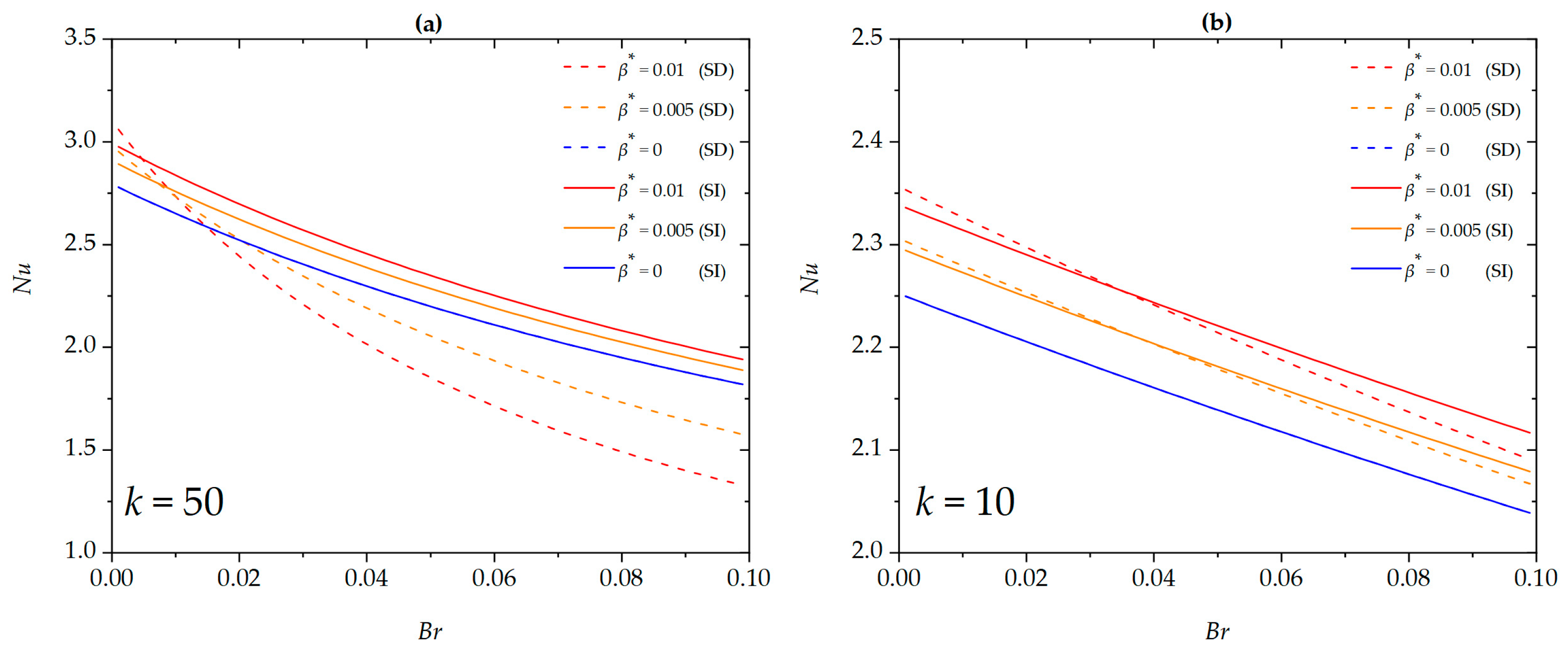
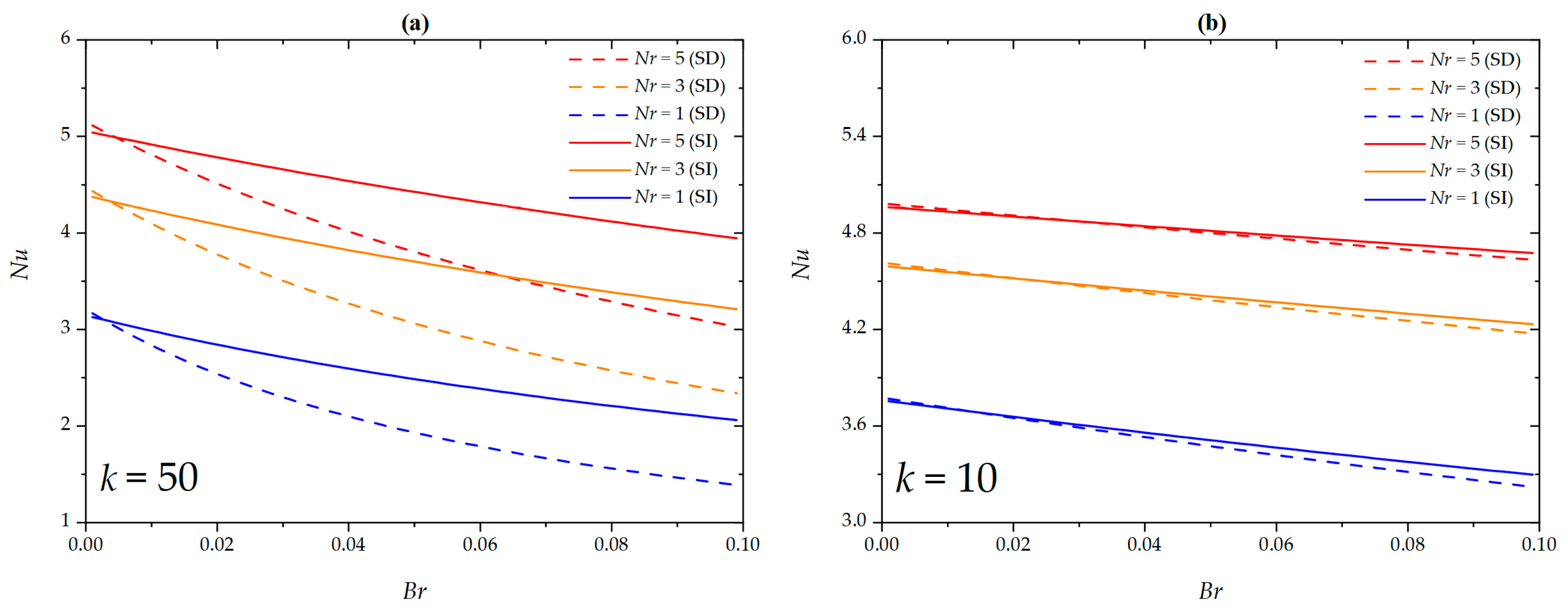
3.4. Nusselt Number
4. Conclusions
- As the nanoparticle volume fraction increases, the flow velocity decreases, while both the dimensionless temperature and the Nusselt number increase for both SD and SI zeta potentials, thereby enhancing the fluid’s heat transfer capability and significantly improving heat transfer performance;
- The flow velocity increases as the dimensionless slip length increases. Except for the case of thinner EDL and SD zeta conditions, the dimensionless temperature and Nusselt number increase with the dimensionless slip length for both SD and SI cases;
- As the thermal radiation parameter increases, the dimensionless temperature of the fluid rises, with higher temperatures observed under the SD condition. Simultaneously, the Nusselt number increases with the thermal radiation parameter but decreases with an increase in the Brinkman number;
- An intersection point exists between the Nusselt numbers corresponding to SD and SI zeta potentials at lower Brinkman numbers;
- Under the condition of thinner EDL, the differences in flow velocity, temperature, and Nusselt number between SD and SI conditions become more pronounced.
Author Contributions
Funding
Data Availability Statement
Conflicts of Interest
References
- Gharib, G.; Bütün, İ.; Muganlı, Z.; Kozalak, G.; Namlı, İ.; Sarraf, S.S.; Ahmadi, V.E.; Toyran, E.; Van Wijnen, A.J.; Koşar, A.J.B. Biomedical applications of microfluidic devices: A review. Biosensors 2022, 12, 1023. [Google Scholar] [CrossRef] [PubMed]
- Yoon, S.-I.; Park, S.-C.; Kim, Y.-J. A micromachined microcalorimeter with split-flow microchannel for biochemical sensing applications. Sens. Actuators B Chem. 2008, 134, 158–165. [Google Scholar] [CrossRef]
- Filippi, M.; Nguyen, D.-V.; Garello, F.; Perton, F.; Bégin-Colin, S.; Felder-Flesch, D.; Power, L.; Scherberich, A.J.N. Metronidazole-functionalized iron oxide nanoparticles for molecular detection of hypoxic tissues. Nanoscale 2019, 11, 22559–22574. [Google Scholar] [CrossRef] [PubMed]
- Fadlelmoula, A.; Pinho, D.; Carvalho, V.H.; Catarino, S.O.; Minas, G. Fourier transform infrared (FTIR) spectroscopy to analyse human blood over the last 20 years: A review towards lab-on-a-chip devices. Micromachines 2022, 13, 187. [Google Scholar] [CrossRef] [PubMed]
- Tripathi, D.; Bhushan, S.; Bég, O.A. Transverse magnetic field driven modification in unsteady peristaltic transport with electrical double layer effects. Colloids Surf. A Physicochem. Eng. Asp. 2016, 506, 32–39. [Google Scholar] [CrossRef]
- Hossan, M.R.; Dutta, D.; Islam, N.; Dutta, P. Review: Electric field driven pumping in microfluidic device. Electrophoresis 2018, 39, 702–731. [Google Scholar] [CrossRef] [PubMed]
- Nazari, M.; Rashidi, S.; Esfahani, J.A. Mixing process and mass transfer in a novel design of induced-charge electrokinetic micromixer with a conductive mixing-chamber. Int. Commun. Heat Mass Transf. 2019, 108, 104293. [Google Scholar] [CrossRef]
- Azari, M.; Sadeghi, A.; Chakraborty, S. Graetz problem for combined pressure-driven and electroosmotic flow in microchannels with distributed wall heat flux. Int. J. Heat Mass Transf. 2019, 128, 150–160. [Google Scholar] [CrossRef]
- Dos-Reis-Delgado, A.A.; Carmona-Dominguez, A.; Sosa-Avalos, G.; Jimenez-Saaib, I.H.; Villegas-Cantu, K.E.; Gallo-Villanueva, R.C.; Perez-Gonzalez, V.H. Recent advances and challenges in temperature monitoring and control in microfluidic devices. Electrophoresis 2023, 44, 268–297. [Google Scholar] [CrossRef] [PubMed]
- Buren, M.; Jian, Y.; Zhao, Y.; Chang, L.; Liu, Q. Effects of surface charge and boundary slip on time-periodic pressure-driven flow and electrokinetic energy conversion in a nanotube. Beilstein J. Nanotechnol. 2019, 10, 1628–1635. [Google Scholar] [CrossRef] [PubMed]
- Li, C.; Liu, Z.; Qiao, N.; Feng, Z.; Tian, Z.Q. The electroviscous effect in nanochannels with overlapping electric double layers considering the height size effect on surface charge. Electrochim. Acta 2022, 419, 140421. [Google Scholar] [CrossRef]
- Jing, D.; Bhushan, B. The coupling of surface charge and boundary slip at the solid–liquid interface and their combined effect on fluid drag: A review. J. Colloid Interface Sci. 2015, 454, 152–179. [Google Scholar] [CrossRef] [PubMed]
- Shojaeian, M.; Koşar, A. Convective heat transfer and entropy generation analysis on Newtonian and non-Newtonian fluid flows between parallel-plates under slip boundary conditions. Int. J. Heat Mass Transf. 2014, 70, 664–673. [Google Scholar] [CrossRef]
- Kundu, B.; Saha, S. Review and analysis of electro-magnetohydrodynamic flow and heat transport in microchannels. Energies 2022, 15, 7017. [Google Scholar] [CrossRef]
- Tandon, V.; Kirby, B.J. Zeta potential and electroosmotic mobility in microfluidic devices fabricated from hydrophobic polymers: 2. Slip and interfacial water structure. Electrophoresis 2008, 29, 1102–1114. [Google Scholar] [CrossRef] [PubMed]
- Tandon, V.; Bhagavatula, S.K.; Nelson, W.C.; Kirby, B.J. Zeta potential and electroosmotic mobility in microfluidic devices fabricated from hydrophobic polymers: 1. The origins of charge. Electrophoresis 2008, 29, 1092–1101. [Google Scholar] [CrossRef] [PubMed]
- Churaev, N.V.; Ralston, J.; Sergeeva, I.P.; Sobolev, V.D. Electrokinetic properties of methylated quartz capillaries. Adv. Colloid Interface Sci. 2002, 96, 265–278. [Google Scholar] [CrossRef]
- Soong, C.Y.; Hwang, P.W.; Wang, J.C. Analysis of pressure-driven electrokinetic flows in hydrophobic microchannels with slip-dependent zeta potential. Microfluid. Nanofluid. 2010, 9, 211–223. [Google Scholar] [CrossRef]
- Banerjee, D.; Mehta, S.K.; Pati, S.; Biswas, P. Analytical solution to heat transfer for mixed electroosmotic and pressure-driven flow through a microchannel with slip-dependent zeta potential. Int. J. Heat Mass Transf. 2021, 181, 121989. [Google Scholar] [CrossRef]
- Siva, T.; Jangili, S.; Kumbhakar, B. Entropy generation on EMHD transport of couple stress fluid with slip-dependent zeta potential under electrokinetic effects. Int. J. Therm. Sci. 2023, 191, 108339. [Google Scholar] [CrossRef]
- Siva, T.; Dubey, D.; Jangili, S. Rotational flow dynamics of electroosmotic transport of couple stress fluid in a microfluidic channel under electromagnetohydrodynamic and slip-dependent zeta potential effects. Phys. Fluids 2024, 36, 092006. [Google Scholar] [CrossRef]
- Yang, C.; Li, W.; Sano, Y.; Mochizuki, M.; Nakayama, A. On the anomalous convective heat transfer enhancement in nanofluids: A theoretical answer to the nanofluids controversy. J. Heat Transf. 2013, 135, 054504. [Google Scholar] [CrossRef]
- Sheikholeslami, M.; Soleimani, S.; Ganji, D.D. Effect of electric field on hydrothermal behavior of nanofluid in a complex geometry. J. Mol. Liq. 2016, 213, 153–161. [Google Scholar] [CrossRef]
- Tan, D.K.; Liu, Y. Combined effects of streaming potential and wall slip on flow and heat transfer in microchannels. Int. Commun. Heat Mass Transf. 2014, 53, 39–42. [Google Scholar] [CrossRef]
- Muneeshwaran, M.; Srinivasan, G.; Muthukumar, P.; Wang, C.-C. Role of hybrid-nanofluid in heat transfer enhancement—A review. Int. Commun. Heat Mass Transf. 2021, 125, 105341. [Google Scholar] [CrossRef]
- Eastman, J.A.; Phillpot, S.R.; Choi, S.U.S.; Keblinski, P. Thermal transport in nanofluids. Annu. Rev. Mater. Res. 2004, 34, 219–246. [Google Scholar] [CrossRef]
- Yu, W.; Choi, S.U.S. The role of interfacial layers in the enhanced thermal conductivity of nanofluids: A renovated maxwell model. J. Nanoparticle Res. 2003, 5, 167–171. [Google Scholar] [CrossRef]
- Xie, Z.; Jian, Y. Electrokinetic energy conversion of nanofluids in MHD-based microtube. Energy 2020, 212, 118711. [Google Scholar] [CrossRef]
- Deng, S. Thermally fully developed electroosmotic flow of power-law nanofluid in a rectangular microchannel. Micromachines 2019, 10, 363. [Google Scholar] [CrossRef] [PubMed]
- Akram, J.; Akbar, N.S.; Tripathi, D. Numerical study of the electroosmotic flow of Al2O3–CH3OH Sisko nanofluid through a tapered microchannel in a porous environment. Appl. Nanosci. 2020, 10, 4161–4176. [Google Scholar] [CrossRef]
- Abbasi, F.M.; Zahid, U.M.; Akbar, Y.; Saba; Hamida, M.B.B. Thermodynamic analysis of electroosmosis regulated peristaltic motion of Fe3O4–Cu/H2O hybrid nanofluid. Int. J. Mod. Phys. B 2022, 36, 2250060. [Google Scholar] [CrossRef]
- Koutras, K.N.; Naxakis, I.A.; Pyrgioti, E.C.; Charalampakos, V.P.; Gonos, I.F.; Antonelou, A.E.; Yannopoulos, S.N. The influence of nanoparticles’ conductivity and charging on dielectric properties of ester oil based nanofluid. Energies 2020, 13, 6540. [Google Scholar] [CrossRef]
- Stetefeld, J.; McKenna, S.A.; Patel, T.R. Dynamic light scattering: A practical guide and applications in biomedical sciences. Biophys. Rev. 2016, 8, 409–427. [Google Scholar] [CrossRef]
- Koutras, K.N.; Naxakis, I.A.; Antonelou, A.E.; Charalampakos, V.P.; Pyrgioti, E.C.; Yannopoulos, S.N. Dielectric strength and stability of natural ester oil based TiO2 nanofluids. J. Mol. Liq. 2020, 316, 113901. [Google Scholar] [CrossRef]
- Koutras, K.N.; Antonelou, A.E.; Naxakis, I.A.; Charalampakos, V.P.; Pyrgioti, E.C.; Yannopoulos, S.N. In-situ high temperature study of the long-term stability and dielectric properties of nanofluids based on TiO2 and SiC dispersions in natural ester oil at various concentrations. J. Mol. Liq. 2022, 359, 119284. [Google Scholar] [CrossRef]
- Halawa, E.; van Hoof, J.; Soebarto, V. The impacts of the thermal radiation field on thermal comfort, energy consumption and control—A critical overview. Renew. Sustain. Energy Rev. 2014, 37, 907–918. [Google Scholar] [CrossRef]
- Xu, H.J.; Xing, Z.B.; Wang, F.Q.; Cheng, Z.M. Review on heat conduction, heat convection, thermal radiation and phase change heat transfer of nanofluids in porous media: Fundamentals and applications. Chem. Eng. Sci. 2019, 195, 462–483. [Google Scholar] [CrossRef]
- Collis, D.C.; Williams, M.J. Two-dimensional convection from heated wires at low Reynolds numbers. J. Fluid Mech. 1959, 6, 357–384. [Google Scholar] [CrossRef]
- Alharbi, K.A.M.; Riaz, A.; Sikandar, S. An entropy model for carreau nanofluid ciliary flow with electroosmosis and thermal radiations: A numerical study. Electrophoresis 2024, 45, 1112–1129. [Google Scholar] [CrossRef] [PubMed]
- Kamalakkannan, J.; Dhanapal, C.; Kothandapani, M.; Magesh, A. Peristaltic transport of non-Newtonian nanofluid through an asymmetric microchannel with electroosmosis and thermal radiation effects. Indian J. Phys. 2023, 97, 2735–2744. [Google Scholar] [CrossRef]
- Chang, L.; Sun, Y.; Buren, M.; Jian, Y. Thermal and flow analysis of fully developed electroosmotic flow in parallel-plate micro- and nanochannels with surface charge-dependent slip. Micromachines 2022, 13, 2166. [Google Scholar] [CrossRef]
- Shit, G.C.; Mondal, A.; Sinha, A.; Kundu, P.K. Electro-osmotic flow of power-law fluid and heat transfer in a micro-channel with effects of Joule heating and thermal radiation. Physica A Stat. Mech. Its Appl. 2016, 462, 1040–1057. [Google Scholar] [CrossRef]
- Prakash, J.; Sharma, A.; Tripathi, D. Thermal radiation effects on electroosmosis modulated peristaltic transport of ionic nanoliquids in biomicrofluidics channel. J. Mol. Liq. 2018, 249, 843–855. [Google Scholar] [CrossRef]
- Mallick, B.; Misra, J.C. Interplay of steric factor and high zeta potential on entropy generation during nanofluid slip flow in a microfluidic tube. Eur. Phys. J. Plus 2022, 137, 868. [Google Scholar] [CrossRef]
- Saha, S.; Kundu, B. Multi-objective optimization of electrokinetic energy conversion efficiency and entropy generation for streaming potential driven electromagnetohydrodynamic flow of couple stress Casson fluid in microchannels with slip-dependent zeta potentials. Energy 2023, 284, 129288. [Google Scholar] [CrossRef]
- Khan, M.B.; Hamid, F.; Ali, N.; Mehandia, V.; Sasmal, C. Flow-switching and mixing phenomena in electroosmotic flows of viscoelastic fluids. Phys. Fluids 2023, 35, 083101. [Google Scholar] [CrossRef]
- Dutta, A.; Simlandi, S. An analytical modeling on flow and heat transfer for a pressure-driven electroosmotic flow in microchannel considering first order slip model. J. Inst. Eng. (India) Ser. C 2021, 102, 585–593. [Google Scholar] [CrossRef]
- Moghadam, A.J. Thermal characteristics of time-periodic electroosmotic flow in a circular microchannel. Heat Mass Transf. 2015, 51, 1461–1473. [Google Scholar] [CrossRef]
- Banerjee, D.; Pati, S.; Biswas, P. Analytical study of two-layered mixed electro-osmotic and pressure-driven flow and heat transfer in a microchannel with hydrodynamic slippage and asymmetric wall heating. Phys. Fluids 2022, 34, 032013. [Google Scholar] [CrossRef]
- Zhao, G.; Jian, Y.; Li, F. Heat transfer of nanofluids in microtubes under the effects of streaming potential. Appl. Therm. Eng. 2016, 100, 1299–1307. [Google Scholar] [CrossRef]
- Chen, X.; Jian, Y.; Xie, Z.; Ding, Z. Thermal transport of electromagnetohydrodynamic in a microtube with electrokinetic effect and interfacial slip. Colloids Surf. A Physicochem. Eng. Asp. 2018, 540, 194–206. [Google Scholar] [CrossRef]
- Xie, Z.-Y.; Jian, Y.-J.; Li, F.-Q. Thermal transport of magnetohydrodynamic electroosmotic flow in circular cylindrical microchannels. Int. J. Heat Mass Transf. 2018, 119, 355–364. [Google Scholar] [CrossRef]
- Reshadi, M.; Saidi, M.H. The role of ion partitioning in electrohydrodynamic characteristics of soft nanofluidics: Inclusion of EDL overlap and steric effects. Chem. Eng. Sci. 2018, 190, 443–458. [Google Scholar] [CrossRef]
- Deng, S.; Xiao, T.; Liang, C. Analytical study of unsteady two-layer combined electroosmotic and pressure-driven flow through a cylindrical microchannel with slip-dependent zeta potential. Chem. Eng. Sci. 2024, 283, 119327. [Google Scholar] [CrossRef]
- Lopez, A.; Ibanez, G.; Pantoja, J.; Moreira, J.; Lastres, O. Entropy generation analysis of MHD nanofluid flow in a porous vertical microchannel with nonlinear thermal radiation, slip flow and convective-radiative boundary conditions. Int. J. Heat Mass Transf. 2017, 107, 982–994. [Google Scholar] [CrossRef]
- Saboorian-Jooybari, H.; Chen, Z. Calculation of re-defined electrical double layer thickness in symmetrical electrolyte solutions. Results Phys. 2019, 15, 102501. [Google Scholar] [CrossRef]
- Xie, Z. Heat transfer of power-law fluids with slip-dependent zeta potential. Colloids Surf. A Physicochem. Eng. Asp. 2022, 651, 129710. [Google Scholar] [CrossRef]
- Sun, L.; Lei, Q.; Peng, B.; Kontogeorgis, G.M.; Liang, X. An analysis of the parameters in the Debye-Hückel theory. Fluid Phase Equilibria 2022, 556, 113398. [Google Scholar] [CrossRef]
- Ettelaie, R.; Buscall, R. Electrical double layer interactions for spherical charge regulating colloidal particles. Adv. Colloid Interface Sci. 1995, 61, 131–160. [Google Scholar] [CrossRef]
- Yang, J.; Kwok, D.Y. A new method to determine zeta potential and slip coefficient simultaneously. J. Phys. Chem. B 2002, 106, 12851–12855. [Google Scholar] [CrossRef]
- Yang, J.; Kwok, D.Y. Microfluid flow in circular microchannel with electrokinetic effect and Navier’s slip condition. Langmuir 2003, 19, 1047–1053. [Google Scholar] [CrossRef]
- Matin, M.H.; Khan, W.A. Electrokinetic effects on pressure driven flow of viscoelastic fluids in nanofluidic channels with navier slip condition. J. Mol. Liq. 2016, 215, 472–480. [Google Scholar] [CrossRef]
- Brinkman, H.C. The viscosity of concentrated suspensions and solutions. J. Chem. Phys. 1952, 20, 571. [Google Scholar] [CrossRef]
- Shilpa, B.; Leela, V.; Rani, H.P. Stability analysis of MHD radiative mixed convective flow in vertical cylindrical annulus: Thermal nonequilibrium approach. Heat Transf. 2023, 52, 707–733. [Google Scholar] [CrossRef]
- Xuan, Y.; Li, Q. Investigation on convective heat transfer and flow features of nanofluids. J. Heat Transf. 2003, 125, 151–155. [Google Scholar] [CrossRef]
- Duangthongsuk, W.; Wongwises, S. Comparison of the effects of measured and computed thermophysical properties of nanofluids on heat transfer performance. Exp. Therm. Fluid Sci. 2010, 34, 616–624. [Google Scholar] [CrossRef]
- Magyari, E.; Pantokratoras, A. Note on the effect of thermal radiation in the linearized Rosseland approximation on the heat transfer characteristics of various boundary layer flows. Int. Commun. Heat Mass Transf. 2011, 38, 554–556. [Google Scholar] [CrossRef]
- Chen, X.; Jian, Y. Heat transfer of nanofluid with electroviscous effect in MHD-based microannulus. J. Therm. Anal. Calorim. 2022, 147, 2715–2728. [Google Scholar] [CrossRef]
- Zhao, G.; Wang, Z.; Jian, Y. Heat transfer of the MHD nanofluid in porous microtubes under the electrokinetic effects. Int. J. Heat Mass Transf. 2019, 130, 821–830. [Google Scholar] [CrossRef]
- Zhao, G.; Jian, Y. Heat transfer of the nanofluid in soft nanochannels under the effects of the electric and magnetic field. Powder Technol. 2018, 338, 734–743. [Google Scholar] [CrossRef]
- Gaikwad, H.S.; Roy, A.; Mondal, P.K.; Chimres, N.; Wongwises, S. Irreversibility analysis in a slip aided electroosmotic flow through an asymmetrically heated microchannel: The effects of joule heating and the conjugate heat transfer. Anal. Chim. Acta 2019, 1045, 85–97. [Google Scholar] [CrossRef] [PubMed]
- Sadeghi, A.; Saidi, M.H. Viscous dissipation effects on thermal transport characteristics of combined pressure and electroosmotically driven flow in microchannels. Int. J. Heat Mass Transf. 2010, 53, 3782–3791. [Google Scholar] [CrossRef]
- Minea, A.A.; Luciu, R.S. Investigations on electrical conductivity of stabilized water based Al2O3 nanofluids. Microfluid. Nanofluid. 2012, 13, 977–985. [Google Scholar] [CrossRef]
- Abdolbaqi, M.K.; Azmi, W.H.; Mamat, R.; Sharma, K.V.; Najafi, G. Experimental investigation of thermal conductivity and electrical conductivity of BioGlycol–water mixture based Al2O3 nanofluid. Appl. Therm. Eng. 2016, 102, 932–941. [Google Scholar] [CrossRef]









| Parameters | Symbol | Values | Units |
|---|---|---|---|
| Thermal conductivity of the nanoparticles | ks | 40 | W·m−1·K−1 |
| Thermal conductivity of the base fluid | kf | 0.63 | W·m−1·K−1 |
| Viscosity of the base fluids | μf | 8.91 × 10−3 | kg·m−1·s−1 |
| Boltzmann constant | kB | 1.381 × 10−23 | J·K−1 |
| Average absolute temperature | Tav | 298~300 | K |
| Radius of the microchannel | R | 3~100 | μm |
| Fluid’s electric permittivity | ԑ | 6.95 × 10−10 | C·V−1·m−1 |
| Pressure gradient | −dp/dz | 10~100 | kPa·m−1 |
| Electric field | Ez | 0~10 | kV·m−1 |
| Electroosmotic velocity | uHS | 100 | μm·s−1 |
| Stefan–Boltzmann constant | σ | 5.67 × 10−8 | W·m−2·K−4 |
| Average absorption coefficient | k* | 0.1~100 | m−1 |
| Wall temperature | Tw | 298~300 | K |
Disclaimer/Publisher’s Note: The statements, opinions and data contained in all publications are solely those of the individual author(s) and contributor(s) and not of MDPI and/or the editor(s). MDPI and/or the editor(s) disclaim responsibility for any injury to people or property resulting from any ideas, methods, instructions or products referred to in the content. |
© 2025 by the authors. Licensee MDPI, Basel, Switzerland. This article is an open access article distributed under the terms and conditions of the Creative Commons Attribution (CC BY) license (https://creativecommons.org/licenses/by/4.0/).
Share and Cite
Tan, Z.; Ren, X. Analytical Solutions for Electroosmotic Flow and Heat Transfer Characteristics of Nanofluids in Circular Cylindrical Microchannels with Slip-Dependent Zeta Potential Considering Thermal Radiative Effects. Micromachines 2025, 16, 63. https://doi.org/10.3390/mi16010063
Tan Z, Ren X. Analytical Solutions for Electroosmotic Flow and Heat Transfer Characteristics of Nanofluids in Circular Cylindrical Microchannels with Slip-Dependent Zeta Potential Considering Thermal Radiative Effects. Micromachines. 2025; 16(1):63. https://doi.org/10.3390/mi16010063
Chicago/Turabian StyleTan, Zouqing, and Xiangcheng Ren. 2025. "Analytical Solutions for Electroosmotic Flow and Heat Transfer Characteristics of Nanofluids in Circular Cylindrical Microchannels with Slip-Dependent Zeta Potential Considering Thermal Radiative Effects" Micromachines 16, no. 1: 63. https://doi.org/10.3390/mi16010063
APA StyleTan, Z., & Ren, X. (2025). Analytical Solutions for Electroosmotic Flow and Heat Transfer Characteristics of Nanofluids in Circular Cylindrical Microchannels with Slip-Dependent Zeta Potential Considering Thermal Radiative Effects. Micromachines, 16(1), 63. https://doi.org/10.3390/mi16010063

