Analysis of Acoustic Surface Wave Focused Unidirectional Interdigital Transducers Using Coupling-of-Mode Theory
Abstract
1. Introduction
2. Methods
2.1. The Finite Element Method
2.2. The Extraction of COM Equation Parameters Using the FEM
3. Results
3.1. Mode Analysis of EWC-FEFUDT
3.2. Frequency Response Analysis of the Admittance of the EWC-FEFUDT
3.3. Insertion Loss Analysis of EWC-FEFUDT
3.4. Analysis of Focus Properties of EWC-FEFUDT
3.5. Unidirectionality Analysis of EWC-FEFUDT
3.5.1. Propagation Behaviors of SAW in EWC-FEFUDT
3.5.2. Reflection Center and Transduction Center in EWC-FEFUDT
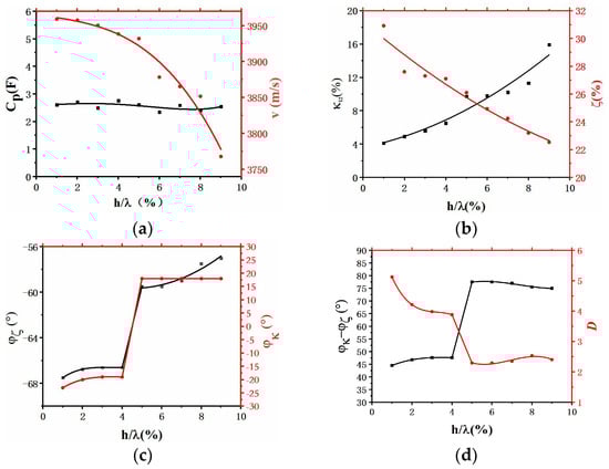
3.5.3. The Extraction of COM Parameters and the Analysis of Unidirectionality of the EWC-FEFUDT
4. Discussion
5. Conclusions
Author Contributions
Funding
Data Availability Statement
Conflicts of Interest
Appendix A. Derivation of the COM Equations Using the Perturbation Theory
Appendix A.1. The Derivation of the COM Equations



Appendix A.2. The COM Equations of Periodic Structures


Appendix A.3. Analysis of EWC-FEFUDT Based on COM Theory




References
- Pan, Y.; Yan, C.; Gao, X.; Yang, J.; Guo, T.; Zhang, L.; Wang, W. A passive wireless surface acoustic wave (SAW) sensor system for detecting warfare agents based on fluoroalcohol polysiloxane film. Microsyst Nanoeng 2024, 10, 4. [Google Scholar] [CrossRef] [PubMed]
- Ha, N.T.; Thai, T.V.; Cung, T.L.; Hong, H.S. A calculation method of the passive wireless surface acoustic wave sensor response phase. Bull. Electr. Eng. Inform. 2023, 12, 86–97. [Google Scholar] [CrossRef]
- Yang, Y.; Mengue, P.; Mishra, H.; Floer, C.; Hage-Ali, S.; Petit-Watelot, S.; Lacour, D.; Hehn, M.; Han, T.; Elmazria, O. Wireless Multifunctional Surface Acoustic Wave Sensor for Magnetic Field and Temperature Monitoring. Adv. Mater. Technol. 2021, 7, 2100860. [Google Scholar] [CrossRef]
- Constantinoiu, I.; Viespe, C. Detection of Volatile Organic Compounds Using Surface Acoustic Wave Sensor Based on Nanoparticles Incorporated in Polymer. Coatings 2019, 9, 373. [Google Scholar] [CrossRef]
- Inui, T.; Mei, J.; Imashiro, C.; Kurashina, Y.; Friend, J.; Takemura, K. Focused surface acoustic wave locally removes cells from culture surface. Lab Chip 2021, 21, 1299–1306. [Google Scholar] [CrossRef]
- Liu, G.; He, F.; Li, Y.; Zhao, H.; Li, X.; Tang, H.; Li, Z.; Yang, Z.; Zhang, Y. Effects of two surface acoustic wave sorting chips on particles multi-level sorting. Biomed. Microdevices 2019, 21, 59. [Google Scholar] [CrossRef]
- Peng, T.; Zhou, M.; Yuan, S.; Fan, C.; Jiang, B. Numerical investigation of particle deflection in tilted-angle standing surface acoustic wave microfluidic devices. Appl. Math. Model. 2022, 101, 517–532. [Google Scholar] [CrossRef]
- Jiang, Y.; Chen, J.; Xuan, W.; Liang, Y.; Huang, X.; Cao, Z.; Sun, L.; Dong, S.; Luo, J. Numerical Study of Particle Separation through Integrated Multi-Stage Surface Acoustic Waves and Modulated Driving Signals. Sensors 2023, 23, 2771. [Google Scholar] [CrossRef]
- Jin, S.; Cao, N.; Ye, G.; Wang, P.; Dong, S.; Liu, Z. Experimental study on acoustic-induced microbubbles fusion. J. Micromech. Microeng. 2023, 33, 105004. [Google Scholar] [CrossRef]
- Zheng, T.; Liu, Y.; Xu, C.; Lu, H.; Wang, C. Focusing surface acoustic waves assisted electrochemical detector in microfluidics. Electrophoresis 2020, 41, 860–866. [Google Scholar] [CrossRef]
- Qin, X.; Wei, X.; Li, L.; Wang, H.; Jiang, Z.; Sun, D. Acoustic valves in microfluidic channels for droplet manipulation. Lab Chip 2021, 21, 3165–3173. [Google Scholar] [CrossRef] [PubMed]
- Li, P.; Liang, M.; Lu, X.; Chow, J.J.M.; Ramachandra, C.J.A.; Ai, Y. Sheathless Acoustic Fluorescence Activated Cell Sorting (aFACS) with High Cell Viability. Anal. Chem. 2019, 91, 15425–15435. [Google Scholar] [CrossRef] [PubMed]
- Sankaranarayanan, S.K.; Bhethanabotla, V.R. Numerical analysis of wave generation and propagation in a focused surface acoustic wave device for potential microfluidics applications. IEEE Trans.Ultrason. Ferroelectr. Freq. Control 2009, 56, 631–643. [Google Scholar] [CrossRef] [PubMed]
- Kappacher, C.; Maenner, O.; Ruile, W.; Dill, R. Design and Analysis of Single-Phase Unidirectional Transducers. In Proceedings of the IEEE Ultrasonics Symposium, Orlando, FL, USA, 8–11 December 1991; pp. 1–4. [Google Scholar] [CrossRef]
- Dill, R.; Ruile, W.; Lewis, B. The splitfinger directional transducer (SFDT): A new single phase unidirectional transducer. In Proceedings of the IEEE Ultrasonics Symposium, Cannes, France, 31 October–3 November 1994; Volume 1, pp. 147–150. [Google Scholar] [CrossRef]
- Lu, R.; Manzameque, T.; Yang, Y.; Gong, S. S0-mode lithium niobate acoustic delay lines with 1 dB insertion loss. In Proceedings of the IEEE International Ultrasonics Symposium (IUS), Kobe, Japan, 22–25 October 2018; pp. 1–9. [Google Scholar] [CrossRef]
- Chen, C.; Jin, J.W.; Xie, Y.T. Analysis and Optimization of Surface Acoustic Wave Floating Electrode Unidirectional Transducers Using Coupling-of-Mode Theory and Finite-Element Method. J. Nanoelectron. Optoelectron. 2020, 15, 792–798. [Google Scholar] [CrossRef]
- Zhong, R.; Yang, S.; Ugolini, G.S.; Naquin, T.; Zhang, J.; Yang, K.; Xia, J.; Konry, T.; Huang, T.J. Acoustofluidic Droplet Sorter Based on Single Phase Focused Transducers. Small 2021, 17, e2103848. [Google Scholar] [CrossRef]
- Destgeer, G.; Lee, K.H.; Jung, J.H.; Alazzam, A.; Sung, H.J. Continuous separation of particles in a PDMS microfluidic channel via travelling surface acoustic waves (TSAW). Lab Chip 2013, 13, 4210–4216. [Google Scholar] [CrossRef]
- Campbell, C.; Saw, C. Analysis and design of low-loss SAW filters using single-phase unidirectional transducers. IEEE Trans. Ultrason. Ferroelectr. Freq. Control 1987, 34, 357–367. [Google Scholar] [CrossRef]
- Chen, Z.; Takeuchi, M.; Yamanouchi, K. Analysis of the film thickness dependence of a single-phase unidirectional transducer using the coupling-of-modes theory and the finite-element method. IEEE Trans. Ultrason. Ferroelectr. Freq. Control 1992, 39, 82–94. [Google Scholar] [CrossRef]
- Tanaka, M.; Horio, Y.; Yamanouchi, K. High performance SAW IF-filters for digital mobile communication systems using new floating-electrode-type SPUDTs. In Proceedings of the IEEE International Frequency Control Symposium, Honolulu, HI, USA, 5–7 June 1996; pp. 234–239. [Google Scholar] [CrossRef]
- Lu, R.; Yang, Y.; Gong, S. Low-Loss Unidirectional Acoustic Focusing Transducer in Thin-Film Lithium Niobate. IEEE Trans. Ultrason. Ferroelectr. Freq. Control 2020, 67, 2731–2737. [Google Scholar] [CrossRef]
- Lu, R.; Link, S.; Gong, S. A Unidirectional Transducer Design for Scaling GHz AlN-Based RF Microsystems. IEEE Trans. Ultrason. Ferroelectr. Freq. Control 2020, 67, 1250–1257. [Google Scholar] [CrossRef]
- Chen, C.; Wang, Y.; Ao, T.; Hui, G. Theoretical Study on Horizontal-Type SAW Device with Dual Function of Sensing and Removal of Non-specific Binding. Acta Phys. Pol. A 2024, 145, 281–297. [Google Scholar] [CrossRef]
- Sandro, S.; Gianmaria, V. Partial Differential Equations in Action: From Modelling to Theory; Springer: Berlin/Heidelberg, Germany, 2020. [Google Scholar] [CrossRef]
- Chew, W.C.; Liu, Q. Perfectly matched layers for elastodynamics: A new absorbing boundary condition. J. Comput. Acoust. 1996, 4, 341–359. [Google Scholar] [CrossRef]
- Guo, J.; Kang, Y.; Ai, Y. Radiation dominated acoustophoresis driven by surface acoustic waves. J. Colloid Interface Sci. 2015, 455, 203–211. [Google Scholar] [CrossRef] [PubMed]
- Hejazian, M.; Nguyen, N.-T. Lab on a chip for continuous-flow magnetic cell separation. Lab Chip 2015, 15, 959–970. [Google Scholar] [CrossRef]
- Hofer, M.; Finger, N.; Kovacs, G.; Schoberl, J.; Zaglmayr, S.; Langer, U.; Lerch, R. Finite-element simulation of wave propagation in periodic piezoelectric SAW structures. IEEE Trans. Ultrason. Ferroelectr. Freq. Control 2006, 53, 1192–1201. [Google Scholar] [CrossRef]
- Hashimoto, K.-Y. Surface Acoustic Wave Devices in Telecommunications; Springer: Berlin/Heidelberg, Germany, 2000. [Google Scholar] [CrossRef]
- Nikishkov, G. Introduction to the Finite Element Method; University of Aizu: Aizuwakamatsu, Japan, 2004; pp. 1–70. [Google Scholar]
- Koskela, J.; Plessky, V.; Willemsen, B.; Turner, P.; Hammond, B.; Fenzi, N. Hierarchical cascading algorithm for 2-D FEM simulation of finite SAW devices. IEEE Trans. Ultrason. Ferroelectr. Freq. Control 2018, 65, 1933–1942. [Google Scholar] [CrossRef]
- Willemsen, B.; Plesski, V.; Koskela, J. Fast, Highly Accurate, Full-Fem Surface Acoustic Wave Simulation. U.S. Patent 11,296,677, 5 April 2022. [Google Scholar]
- Sun, X.; Zhou, S.; Cheng, J.; Lin, D.; Liu, W. Full extraction of the COM parameters for Rayleigh type surface acoustic wave. AIP Adv. 2022, 12, 025007. [Google Scholar] [CrossRef]
- Rama Krishnan, N.; Nemade, H.B.; Paily, R. Simulation of one-port SAW resonator using COMSOL multiphysics. In Proceedings of the COMSOL Users, Bangalore, India, 17 November 2006. [Google Scholar]
- Zhai, J.X.; Chen, C. Low-loss Floating Electrode Unidirectional Transducer for SAW Sensor. Acoust. Phys. 2019, 65, 178–184. [Google Scholar] [CrossRef]
- Sankaranarayanan, S.K.; Bhethanabotla, V.R. Design of efficient focused surface acoustic wave devices for potential microfluidic applications. J. Appl. Phys. 2008, 103, 064518. [Google Scholar] [CrossRef]
- Zhang, Z.; Zhao, J.; Pan, Y. Surface circular-arc defects interacted by laser-generated Rayleigh wave. Ultrasonics 2020, 103, 106085. [Google Scholar] [CrossRef]
- Ekström, M.K.; Aref, T.; Runeson, J.; Björck, J.; Boström, I.; Delsing, P. Surface acoustic wave unidirectional transducers for quantum applications. Appl. Phys. Lett. 2017, 110, 1289–1297. [Google Scholar] [CrossRef]
- Morgan, D.P. Quasi-static analysis of floating electrode unidirectional SAW transducers. IEEE Trans. Ultrason. Ferroelectr. Freq. Control 2001, 48, 1289–1297. [Google Scholar] [CrossRef] [PubMed]
- Wu, T.-T.; Tang, H.-T.; Chen, Y.-Y. Frequency response of a focused SAW device based on concentric wave surfaces: Simulation and experiment. J. Phys. D Appl. Phys. 2005, 38, 2986–2994. [Google Scholar] [CrossRef]
- Sasaki, T.; Tanaka, Y.; Omori, T.; Hashimoto, K.Y.; Yamaguchi, M. A low-power droplet manipulator employing high-frequency surface acoustic waves. Electron. Commun. Jpn. 2009, 92, 49–55. [Google Scholar] [CrossRef]
- Zhao, W.-Q.; Yan, A.; Liu, J.-L.; Liu, M.-H.; He, S.-T. Effect of Annealing Temperatures on Electrode Surface Roughness and Sensitivity of the Saw Detectors In Saw Gcs. In Proceedings of the 2019 13th Symposium on Piezoelectrcity, Acoustic Waves and Device Applications (SPAWDA), Harbin, China, 11–14 January 2019; pp. 1–4. [Google Scholar] [CrossRef]
- Chen, D.-P.; Haus, H.A. Analysis of metal-strip SAW gratings and transducers. IEEE Trans. Sonics Ultrason. 1985, 32, 395–408. [Google Scholar] [CrossRef]
- Wright, P. Analysis and design of low-loss SAW devices with internal reflections using coupling-of-modes theory. In Proceedings of the IEEE Ultrasonics Symposium, Montreal, QC, Canada, 3–6 October 1989; pp. 141–152. [Google Scholar] [CrossRef]

























| Boundary | Electrical Boundary Conditions | Mechanical Boundary Conditions |
|---|---|---|
| Ground | Fixed | |
| Continuity | Free | |
| Periodic | Periodic | |
| Electrode (3) | / | |
| Electrode (2) | 1 V | / |
| Electrode (1) | Ground | / |
| Design | Number of Electrode Pairs (n) | Focusing Angle (deg) | Focus Distance fL (μm) | Delay Distance L (μm) | Electrode Thickness h (μm) |
|---|---|---|---|---|---|
| Design 1 | 8 | 30 | 45 | 130 | 0.8 |
| Design 2 | 16 | 30 | 45 | 130 | 0.8 |
| Design 3 | 24 | 30 | 45 | 130 | 0.8 |
| Design 4 | 24 | 60 | 45 | 130 | 0.8 |
| Design 5 | 24 | 90 | 45 | 130 | 0.8 |
| Design 6 | 24 | 30 | 45 | 90 | 0.8 |
| Design 7 | 24 | 30 | 45 | 170 | 0.8 |
| Design 8 | 24 | 30 | 65 | 130 | 0.8 |
| Design 9 | 24 | 30 | 85 | 130 | 0.8 |
| Design 10 | 24 | 30 | 45 | 130 | 0.6 |
| Design 11 | 24 | 30 | 45 | 130 | 1.0 |
Disclaimer/Publisher’s Note: The statements, opinions and data contained in all publications are solely those of the individual author(s) and contributor(s) and not of MDPI and/or the editor(s). MDPI and/or the editor(s) disclaim responsibility for any injury to people or property resulting from any ideas, methods, instructions or products referred to in the content. |
© 2024 by the authors. Licensee MDPI, Basel, Switzerland. This article is an open access article distributed under the terms and conditions of the Creative Commons Attribution (CC BY) license (https://creativecommons.org/licenses/by/4.0/).
Share and Cite
Hui, G.; Ao, T.; Liu, H.; Li, M.; Chen, C. Analysis of Acoustic Surface Wave Focused Unidirectional Interdigital Transducers Using Coupling-of-Mode Theory. Micromachines 2025, 16, 3. https://doi.org/10.3390/mi16010003
Hui G, Ao T, Liu H, Li M, Chen C. Analysis of Acoustic Surface Wave Focused Unidirectional Interdigital Transducers Using Coupling-of-Mode Theory. Micromachines. 2025; 16(1):3. https://doi.org/10.3390/mi16010003
Chicago/Turabian StyleHui, Guopeng, Tinglun Ao, Haotian Liu, Minglei Li, and Chen Chen. 2025. "Analysis of Acoustic Surface Wave Focused Unidirectional Interdigital Transducers Using Coupling-of-Mode Theory" Micromachines 16, no. 1: 3. https://doi.org/10.3390/mi16010003
APA StyleHui, G., Ao, T., Liu, H., Li, M., & Chen, C. (2025). Analysis of Acoustic Surface Wave Focused Unidirectional Interdigital Transducers Using Coupling-of-Mode Theory. Micromachines, 16(1), 3. https://doi.org/10.3390/mi16010003

