Investigation of Chip Morphology in Elliptical Vibration Micro-Turning of Silk Fibroin
Abstract
1. Introduction
2. Hybrid FE-SPH Modelling
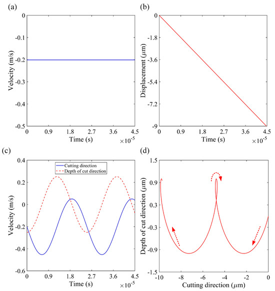
2.1. Elliptical Vibration Micro-Turning Process
2.2. Orthogonal Cutting Model
3. Parametric Study
3.1. Effect of Vibration Frequency
3.2. Effect of Vibration Amplitude
4. Experimental Validation
4.1. Experimental Setup and Conditions
4.2. Results and Discussion
5. Conclusions
Author Contributions
Funding
Data Availability Statement
Conflicts of Interest
Nomenclature
| FEM | Finite element method |
| FE-SPH | Finite element and smoothed particle hydrodynamics |
| SEM | Scanning electron microscope |
| SPH | Smoothed particle hydrodynamics |
| α | Tool clearance angle, ° |
| β | Material hardening parameter |
| d | Dynamic strain rate, s−1 |
| εd | Dynamic strain |
| π | Mathematical constant, 3.1415926 |
| σd | Dynamic yield stress, MPa |
| σs | Static yield strength, MPa |
| a | Horizontal vibration amplitude (cutting direction), µm |
| b | Vertical vibration amplitude (depth of cut direction), µm |
| dn | Nominal depth of cut, µm |
| D | Material parameter (Cowper–Symonds model) |
| E | Young’s modulus, GPa |
| Ep | Plastic hardening modulus, GPa |
| ETAN | Tangent modulus, GPa |
| f | Vibration frequency, Hz |
| p | Material parameter (Cowper–Symonds model) |
| R | Chip radius of curvature, µm |
| re | Tool edge radius, nm |
| t | Time, s |
| Vw | Nominal cutting speed, m/s or mm/s |
References
- Koh, L.-D.; Cheng, Y.; Teng, C.-P.; Khin, Y.-W.; Loh, X.-J.; Tee, S.-Y.; Low, M.; Ye, E.; Yu, H.-D.; Zhang, Y.-W.; et al. Structures, Mechanical Properties and Applications of Silk Fibroin Materials. Prog. Polym. Sci. 2015, 46, 86–110. [Google Scholar] [CrossRef]
- Cao, Y.; Wang, B. Biodegradation of Silk Biomaterials. Int. J. Mol. Sci. 2009, 10, 1514–1524. [Google Scholar] [CrossRef] [PubMed]
- Bessa, P.C.; Balmayor, E.R.; Azevedo, H.S.; Nürnberger, S.; Casal, M.; van Griensven, M.; Reis, R.L.; Redl, H. Silk Fibroin Microparticles as Carriers for Delivery of Human Recombinant BMPs. Physical Characterization and Drug Release. J. Tissue Eng. Regen. Med. 2010, 4, 349–355. [Google Scholar] [CrossRef] [PubMed]
- Philipp Seib, F. Silk Nanoparticles—An Emerging Anticancer Nanomedicine. AIMS Bioeng. 2017, 4, 239–258. [Google Scholar] [CrossRef]
- Decuzzi, P.; Godin, B.; Tanaka, T.; Lee, S.Y.; Chiappini, C.; Liu, X.; Ferrari, M. Size and Shape Effects in the Biodistribution of Intravascularly Injected Particles. J. Control. Release 2010, 141, 320–327. [Google Scholar] [CrossRef] [PubMed]
- Petros, R.A.; Desimone, J.M. Strategies in the Design of Nanoparticles for Therapeutic Applications. Nat. Rev. Drug Discov. 2010, 9, 615–627. [Google Scholar] [CrossRef] [PubMed]
- Zhu, L.; Dai, Y.; Feng, Y.; Zhang, Q.; You, R.; Li, X. Chemical-Free Fabrication of Silk Fibroin Microspheres with Silk I Structure. Int. J. Biol. Macromol. 2024, 278, 134927. [Google Scholar] [CrossRef] [PubMed]
- De Giorgio, G.; Matera, B.; Vurro, D.; Manfredi, E.; Galstyan, V.; Tarabella, G.; Ghezzi, B.; D’Angelo, P. Silk Fibroin Materials: Biomedical Applications and Perspectives. Bioengineering 2024, 11, 167. [Google Scholar] [CrossRef]
- Harishchandra Yadav, R.; Kenchegowda, M.; Angolkar, M.; Meghana, T.S.; Ali, M.; Osmani, R.; Palaksha, S.; Veerabhadrappa Gangadharappa, H. A Review of Silk Fibroin-Based Drug Delivery Systems and Their Applications. Eur. Polym. J. 2024, 216, 113286. [Google Scholar] [CrossRef]
- Qu, J.; Liu, Y.; Yu, Y.; Li, J.; Luo, J.; Li, M. Silk Fibroin Nanoparticles Prepared by Electrospray as Controlled Release Carriers of Cisplatin. Mater. Sci. Eng. C Mater. Biol. Appl. 2014, 44, 166–174. [Google Scholar] [CrossRef]
- Wenk, E.; Wandrey, A.J.; Merkle, H.P.; Meinel, L. Silk Fibroin Spheres as a Platform for Controlled Drug Delivery. J. Control. Release 2008, 132, 26–34. [Google Scholar] [CrossRef] [PubMed]
- Pham, D.T.; Saelim, N.; Tiyaboonchai, W. Alpha Mangostin Loaded Crosslinked Silk Fibroin-Based Nanoparticles for Cancer Chemotherapy. Colloids Surf. B Biointerfaces 2019, 181, 705–713. [Google Scholar] [CrossRef] [PubMed]
- Lammel, A.S.; Hu, X.; Park, S.-H.; Kaplan, D.L.; Scheibel, T.R. Controlling Silk Fibroin Particle Features for Drug Delivery. Biomaterials 2010, 31, 4583–4591. [Google Scholar] [CrossRef] [PubMed]
- Rajkhowa, R.; Wang, L.; Wang, X. Ultra-Fine Silk Powder Preparation through Rotary and Ball Milling. Powder Technol. 2008, 185, 87–95. [Google Scholar] [CrossRef]
- Kazemimostaghim, M.; Rajkhowa, R.; Tsuzuki, T.; Wang, X. Production of Submicron Silk Particles by Milling. Powder Technol. 2013, 241, 230–235. [Google Scholar] [CrossRef]
- Yang, Z.; Zhu, L.; Zhang, G.; Ni, C.; Lin, B. Review of Ultrasonic Vibration-Assisted Machining in Advanced Materials. Int. J. Mach. Tools Manuf. 2020, 156, 103594. [Google Scholar] [CrossRef]
- Muhammad, R.; Hussain, M.S.; Maurotto, A.; Siemers, C.; Roy, A.; Silberschmidt, V.V. Analysis of a Free Machining A+β Titanium Alloy Using Conventional and Ultrasonically Assisted Turning. J. Mater. Process. Technol. 2014, 214, 906–915. [Google Scholar] [CrossRef]
- Mishra, A.; Yau, H.-T.; Kuo, P.-H.; Wang, C.-C. Achieving Sustainability by Identifying the Influences of Cutting Parameters on the Carbon Emissions of a Milling Process. Int. J. Adv. Manuf. Technol. 2024, 135, 5409–5427. [Google Scholar] [CrossRef]
- Wang, C.-C.; Kuo, P.-H.; Chen, G.-Y. Machine Learning Prediction of Turning Precision Using Optimized XGBoost Model. Appl. Sci. 2022, 12, 7739. [Google Scholar] [CrossRef]
- Chen, S.; Zou, P.; Wu, H.; Kang, D.; Wang, W. Mechanism of Chip Formation in Ultrasonic Vibration Drilling and Experimental Research. Proc. Inst. Mech. Eng. Part C J. Mech. Eng. Sci. 2019, 233, 5214–5226. [Google Scholar] [CrossRef]
- Dambatta, Y.S.; Sarhan, A.A.D.; Sayuti, M.; Hamdi, M. Ultrasonic Assisted Grinding of Advanced Materials for Biomedical and Aerospace Applications—A Review. Int. J. Adv. Manuf. Technol. 2017, 92, 3825–3858. [Google Scholar] [CrossRef]
- Li, S.; Wu, Y.; Nomura, M. Effect of Grinding Wheel Ultrasonic Vibration on Chip Formation in Surface Grinding of Inconel 718. Int. J. Adv. Manuf. Technol. 2016, 86, 1113–1125. [Google Scholar] [CrossRef]
- Yang, H.; Chen, Y.; Xu, J.; Ladonne, M.; Lonfier, J.; Ding, W. Chip Control Analysis in Low-Frequency Vibration-Assisted Drilling of Ti–6Al–4V Titanium Alloys. Int. J. Precis. Eng. Manuf. 2020, 21, 565–584. [Google Scholar] [CrossRef]
- Li, Z.; Zhang, J.; Zheng, Z.; Feng, P.; Yu, D.; Wang, J. Vibration Chiseling: A Backward-Moving Cutting for the High-Efficiency Fabrication of Short Metallic Microfibers. Manuf. Lett. 2023, 36, 80–85. [Google Scholar] [CrossRef]
- Rockwood, D.N.; Preda, R.C.; Yücel, T.; Wang, X.; Lovett, M.L.; Kaplan, D.L. Materials Fabrication from Bombyx Mori Silk Fibroin. Nat. Protoc. 2011, 6, 1612–1631. [Google Scholar] [CrossRef]
- Dieter, G.E.; Bacon, D. Mechanical Metallurgy; McGraw-Hill: New York, NY, USA, 1976; Volume 3. [Google Scholar]
- Kutz, M. Handbook of Materials Selection; John Wiley & Sons: Hoboken, NJ, USA, 2002; ISBN 0471359246. [Google Scholar]
- Kitagawa, T.; Yabuki, K. Physical Properties of Silk Fibroin/Chitosan Blend Films. J. Appl. Polym. Sci. 2001, 80, 928–934. [Google Scholar] [CrossRef]
- Choi, Y.; Cho, S.Y.; Heo, S.; Jin, H.J. Enhanced Mechanical Properties of Silk Fibroin-Based Composite Plates for Fractured Bone Healing. Fibers Polym. 2013, 14, 266–270. [Google Scholar] [CrossRef]
- White, R.D.; Gray, C.; Mandelup, E.; Amsden, J.J.; Kaplan, D.L.; Omenetto, F.G. Rapid Nano Impact Printing of Silk Biopolymer Thin Films. J. Micromech. Microeng. 2011, 21, 115014. [Google Scholar] [CrossRef]
- Zhang, J.; Yang, X.; Sagar, S.; Dube, T.; Koo, D.D.; Kim, B.G.; Jung, Y.G.; Zhang, J. Smoothed Particle Hydrodynamics Modeling of Thermal Barrier Coating Removal Process Using Abrasive Water Jet Technique. J. Manuf. Sci. Eng. 2022, 144, 091012. [Google Scholar] [CrossRef]
- Park, C.Y.; Zohdi, T.I. Numerical Modeling of Thermo-Mechanically Induced Stress in Substrates for Droplet-Based Additive Manufacturing Processes. J. Manuf. Sci. Eng. ASME 2019, 141, 061001. [Google Scholar] [CrossRef]
- Chaabani, L.; Piquard, R.; Abnay, R.; Fontaine, M.; Gilbin, A.; Picart, P.; Thibaud, S.; D’Acunto, A.; Dudzinski, D. Study of the Influence of Cutting Edge on Micro Cutting of Hardened Steel Using FE and SPH Modeling. Micromachines 2022, 13, 1079. [Google Scholar] [CrossRef] [PubMed]
- Zhang, N.; Klippel, H.; Afrasiabi, M.; Röthlin, M.; Kuffa, M.; Bambach, M.; Wegener, K. Hybrid SPH-FEM Solver for Metal Cutting Simulations on the GPU Including Thermal Contact Modeling. CIRP J. Manuf. Sci. Technol. 2023, 41, 311–327. [Google Scholar] [CrossRef]
- Bergs, T.; Hardt, M.; Schraknepper, D. Determination of Johnson-Cook Material Model Parameters for AISI 1045 from Orthogonal Cutting Tests Using the Downhill-Simplex Algorithm. Procedia Manuf. 2020, 48, 541–552. [Google Scholar] [CrossRef]
- Lee, W.B.; Wang, H.; Chan, C.Y.; To, S. Finite Element Modelling of Shear Angle and Cutting Force Variation Induced by Material Anisotropy in Ultra-Precision Diamond Turning. Int. J. Mach. Tools Manuf. 2013, 75, 82–86. [Google Scholar] [CrossRef]
- Kumar, M.N.; Kanmani Subbu, S.; Vamsi Krishna, P.; Venugopal, A.; Subbu, S.K.; Krishna, P.V.; Venugopal, A. Vibration Assisted Conventional and Advanced Machining: A Review. Procedia Eng. 2014, 97, 1577–1586. [Google Scholar] [CrossRef]
- Liao, Z.; la Monaca, A.; Murray, J.; Speidel, A.; Ushmaev, D.; Clare, A.; Axinte, D.; M’Saoubi, R. Surface Integrity in Metal Machining—Part I: Fundamentals of Surface Characteristics and Formation Mechanisms. Int. J. Mach. Tools Manuf. 2021, 162, 103687. [Google Scholar] [CrossRef]
- Fragassa, C.; Topalovic, M.; Pavlovic, A.; Vulovic, S. Dealing with the Effect of Air in Fluid Structure Interaction by Coupled SPH-FEM Methods. Materials 2019, 12, 1162. [Google Scholar] [CrossRef] [PubMed]
- Abolfazl Zahedi, S.; Demiral, M.; Roy, A.; Silberschmidt, V.V. FE/SPH Modelling of Orthogonal Micro-Machining of f.c.c. Single Crystal. Comput. Mater. Sci. 2013, 78, 104–109. [Google Scholar] [CrossRef]
- Zhang, S.; Zhang, H.; Zong, W. Modeling and Simulation on the Effect of Tool Rake Angle in Diamond Turning of KDP Crystal. J. Mater. Process. Technol. 2019, 273, 116259. [Google Scholar] [CrossRef]
- Wang, Z.; Luo, X.; Sun, J.; Seib, P.; Phuagkhaopong, S.; Chang, W.; Gao, J.; Mir, A.; Cox, A. Investigation of Chip Formation Mechanism in Ultra-Precision Diamond Turning of Silk Fibroin Film. J. Manuf. Process. 2022, 74, 14–27. [Google Scholar] [CrossRef]
- Tang, Z.; Liu, F.J.; Guo, S.H.; Chang, J.; Zhang, J.J. Evaluation of Coupled Finite Element/Meshfree Method for a Robust Full-Scale Crashworthiness Simulation of Railway Vehicles. Adv. Mech. Eng. 2016, 8, 1–13. [Google Scholar] [CrossRef]
- Wang, Z.; Luo, X.; Sun, J.; Seib, P.; Phuagkhaopong, S.; Xie, W.; Chang, W.; Liu, Q.; Chen, X. Chip Breakage in Silk Microfibre Production Using Elliptical Vibration Turning. Int. J. Mech. Sci. 2024, 277, 109418. [Google Scholar] [CrossRef]
- Willis, J.R. A Comparison of the Fracture Criteria of Griffith and Barenblatt. J. Mech. Phys. Solids 1967, 15, 151–162. [Google Scholar] [CrossRef]
- Miguélez, M.H.; Soldani, X.; Molinari, A. Analysis of Adiabatic Shear Banding in Orthogonal Cutting of Ti Alloy. Int. J. Mech. Sci. 2013, 75, 212–222. [Google Scholar] [CrossRef]
- Wang, Z.; Luo, X.; Liu, H.; Ding, F.; Chang, W.; Yang, L.; Zhang, J.; Cox, A. A High-Frequency Non-Resonant Elliptical Vibration-Assisted Cutting Device for Diamond Turning Microstructured Surfaces. Int. J. Adv. Manuf. Technol. 2021, 112, 3247–3261. [Google Scholar] [CrossRef]
- Ning, F.; Cong, W. Ultrasonic Vibration-Assisted (UV-A) Manufacturing Processes: State of the Art and Future Perspectives. J. Manuf. Process. 2020, 51, 174–190. [Google Scholar] [CrossRef]
- Sun, Z.; Shuang, F.; Ma, W. Investigations of Vibration Cutting Mechanisms of Ti6Al4V Alloy. Int. J. Mech. Sci. 2018, 148, 510–530. [Google Scholar] [CrossRef]












| Property | Steel | Copper | Inconel | Titanium Alloy | Silk Fibroin |
|---|---|---|---|---|---|
| Young’s modulus (GPa) | 210 | 110 | 210 | 120 | 1–6.5 |
| Hardness (HRC) | ~60–70 | ~35–55 | ~40–55 | ~35–40 | ~2–3.5 |
| Toughness (MPa·m1/2) | ~50 | ~40 | ~30 | ~40 | ~0.5–1 |
| Yield strength (MPa) | 250–900 | 210–250 | 600–1000 | 900–1100 | 20–100 |
| Material Parameters | Silk Fibroin | Diamond Tool |
|---|---|---|
| Density (g/cm3) | 1.4 | 3.5 |
| Young’s modulus (GPa) | 5.2 | 1050 |
| Poisson’s ratio | 0.3 | 0.1 |
| Static yield stress (MPa) | 70 | N/A |
| Tangent modulus (MPa) | 172.4 | N/A |
| Cowper–Symonds parameter p | 7 | N/A |
| Cowper–Symonds parameter D (s−1) | 1140 | N/A |
| Set | Cutting Mode | Vibration Frequency (Hz) | Vertical Vibration Amplitude (μm) | Nominal Depth of Cut (μm) |
|---|---|---|---|---|
| I | Conventional | N/A | N/A | 1 |
| II | Elliptical vibration | 100 | 1 | 1 |
| III | Elliptical vibration | 500 | 1 | 1 |
| IV | Elliptical vibration | 500 | 1.5 | 1.5 |
Disclaimer/Publisher’s Note: The statements, opinions and data contained in all publications are solely those of the individual author(s) and contributor(s) and not of MDPI and/or the editor(s). MDPI and/or the editor(s) disclaim responsibility for any injury to people or property resulting from any ideas, methods, instructions or products referred to in the content. |
© 2025 by the authors. Licensee MDPI, Basel, Switzerland. This article is an open access article distributed under the terms and conditions of the Creative Commons Attribution (CC BY) license (https://creativecommons.org/licenses/by/4.0/).
Share and Cite
Wang, Z.; Luo, X.; Sun, J.; Xie, W.; Piao, Y.; Jiang, Y.; Chen, X. Investigation of Chip Morphology in Elliptical Vibration Micro-Turning of Silk Fibroin. Micromachines 2025, 16, 110. https://doi.org/10.3390/mi16010110
Wang Z, Luo X, Sun J, Xie W, Piao Y, Jiang Y, Chen X. Investigation of Chip Morphology in Elliptical Vibration Micro-Turning of Silk Fibroin. Micromachines. 2025; 16(1):110. https://doi.org/10.3390/mi16010110
Chicago/Turabian StyleWang, Zhengjian, Xichun Luo, Jining Sun, Wenkun Xie, Yinchuan Piao, Yonghang Jiang, and Xiuyuan Chen. 2025. "Investigation of Chip Morphology in Elliptical Vibration Micro-Turning of Silk Fibroin" Micromachines 16, no. 1: 110. https://doi.org/10.3390/mi16010110
APA StyleWang, Z., Luo, X., Sun, J., Xie, W., Piao, Y., Jiang, Y., & Chen, X. (2025). Investigation of Chip Morphology in Elliptical Vibration Micro-Turning of Silk Fibroin. Micromachines, 16(1), 110. https://doi.org/10.3390/mi16010110

