Analytical Model for Current–Voltage Characteristics in Perovskite Solar Cells Incorporating Bulk and Surface Recombination
Abstract
1. Introduction
2. Mathematical Model
3. Results and Discussion
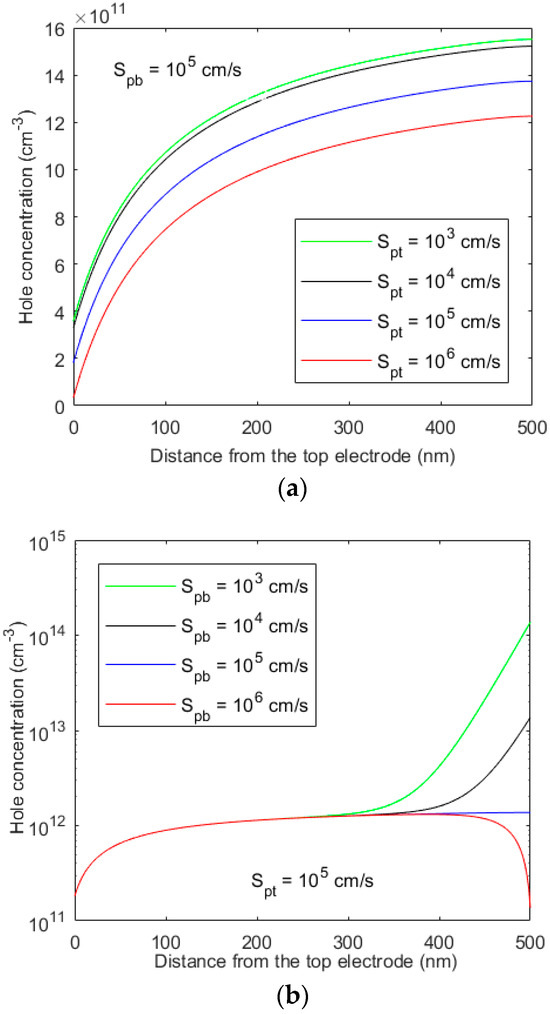
3.1. Effects of Surface Recombination
3.2. Model Fitting with Measurement Data
4. Conclusions
Funding
Data Availability Statement
Conflicts of Interest
References
- Zhang, M.; Chen, Q.; Xue, R.; Zhan, Y.; Wang, C.; Lai, J.; Yang, J.; Lin, H.; Yao, J.; Li, Y.; et al. Reconfiguration of interfacial energy band structure for high-performance inverted structure perovskite solar cells. Nat. Commun. 2019, 10, 4593. [Google Scholar] [CrossRef]
- Wang, R.; Xue, J.; Wang, K.-L.; Wang, Z.-K.; Luo, Y.; Fenning, D.; Xu, G.; Nuryyeva, S.; Huang, T.; Zhao, Y.; et al. Constructive molecular configurations for surface-defect passivation of perovskite photovoltaics. Science 2019, 366, 6472. [Google Scholar] [CrossRef]
- Min, H.; Lee, D.Y.; Kim, J.; Kim, G.; Lee, K.S.; Kim, J.; Paik, M.J.; Kim, Y.K.; Kim, K.S.; Kim, M.G.; et al. Perovskite solar cells with atomically coherent interlayers on SnO2 electrodes. Nature 2021, 598, 444–450. [Google Scholar] [CrossRef] [PubMed]
- Shah, S.A.A.; Sayyad, M.H.; Khan, K.; Sun, J.H.; Guo, Z.Y. Application of MXenes in perovskite solar cells: A short review. Nanomaterials 2021, 11, 2151. [Google Scholar] [CrossRef]
- Lu, Y.B.; Yang, H.; Cong, W.Y.; Zhang, P. Temperature dependence of the effective mass of the hybrid organic-inorganic perovskites CH3NH3PbI3. Appl. Phys. Lett. 2017, 111, 253902. [Google Scholar] [CrossRef]
- Llanos, A.; Thibau, E.S.; Lu, Z.H. Abnormal thin film structures in vapor-phase deposited methylammonium lead iodide perovskite. J. Vac. Sci. Technol. A 2016, 34, 060601. [Google Scholar] [CrossRef]
- Huang, J.; Yuan, Y.; Shao, Y.; Yan, Y. Understanding the physical properties of hybrid perovskites for photovoltaic applications. Nat. Rev. Mater. 2017, 2, 17042. [Google Scholar] [CrossRef]
- Sherkar, T.S.; Momblona, C.; Gil-Escrig, L.; Bolink, H.J.; Koster, L.J.A. Improving Perovskite Solar Cells: Insights From a Validated Device Model. Adv. Energy Mater. 2017, 7, 1602432. [Google Scholar] [CrossRef]
- Sun, X.; Asadpour, R.; Nie, W.; Mohite, A.D.; Alam, M.A. A Physics-based Analytical Model for Perovskite Solar Cells. IEEE J. Photovolt. 2015, 5, 1389–1394. [Google Scholar] [CrossRef]
- Kabir, M.Z. A Physics-Based Analytical Model for Current–Voltage Characteristics of Perovskite Solar Cells Incorporating Bulk Recombination. Energies 2021, 14, 3868. [Google Scholar] [CrossRef]
- Mohseni, H.R.; Dehghanipour, M.; Dehghan, N.; Tamaddon, F.; Ahmadi, M.; Sabet, M.; Behjat, A. Enhancement of the photovoltaic performance and the stability of perovskite solar cells via the modification of electron transport layers with reduced graphene oxide/polyaniline composite. Sol. Energy 2021, 213, 59–66. [Google Scholar] [CrossRef]
- Cao, J.; Wu, B.; Chen, R.; Wu, Y.; Hui, Y.; Mao, B.-W.; Zheng, N. Efficient, Hysteresis-Free, and Stable Perovskite Solar Cells with ZnO as Electron-Transport Layer: Effect of Surface Passivation. Adv. Mater. 2018, 30, 1705596. [Google Scholar] [CrossRef]
- Wang, P.; Li, R.; Chen, B.; Hou, F.; Zhang, J.; Zhao, Y.; Zhang, X. Gradient Energy Alignment Engineering for Planar Perovskite Solar Cells with Efficiency Over 23%. Adv. Mater. 2020, 32, 1905766. [Google Scholar] [CrossRef] [PubMed]
- Zhang, C.-C.; Yuan, S.; Lou, Y.-H.; Liu, Q.-W.; Li, M.; Okada, H.; Wang, Z.-K. Perovskite Films with Reduced Interfacial Strains via a Molecular-Level Flexible Interlayer for Photovoltaic Application. Adv. Mater. 2020, 32, 2001479. [Google Scholar] [CrossRef] [PubMed]
- Shuvoraj, S.M.; Kabir, M.Z. Current–Voltage Characteristics of Perovskite Solar Cells Incorporating Bulk and Surface Recombination: Comparison of a Physics-Based Model Calculations with Experiments. J. Mater. Sci. Mater. Electron. 2024, 35, 191. [Google Scholar] [CrossRef]
- Anjan, M.S.; Kabir, M.Z. Modeling of current-voltage characteristics of CdS/CdTe solar cells. Phys. Status Solidi A 2011, 208, 1813–1816. [Google Scholar] [CrossRef]
- Chen, Y.; Yi, H.T.; Wu, X.; Haroldson, R.; Gartstein, Y.N.; Rodionov, Y.I.; Tikhonov, K.S.; Zakhidov, A.; Zhu, X.-Y.; Podzorov, V. Extended carrier lifetimes and diffusion in hybrid perovskites revealed by Hall effect and photoconductivity measurements. Nat. Commun. 2016, 7, 12253. [Google Scholar] [CrossRef] [PubMed]
- Arnab, S.M.; Kabir, M.Z. An analytical model for analyzing the current-voltage characteristics of bulk heterojunction organic solar cells. J. Appl. Phys. 2014, 115, 034504. [Google Scholar] [CrossRef]
- Hernández-García, L.F.; Cabrera-Arenas, V.; Reséndiz-Mendoza, L.M. On the convergence of the algorithm for simulating organic solar cells. Comput. Phys. Commun. 2015, 196, 372–379. [Google Scholar] [CrossRef]
- Sze, S.M.; Ng, K.K. Physics of Semiconductor Devices, 3rd ed.; Wiley: Hoboken, NJ, USA, 2007; p. 728. [Google Scholar]
- Grundmann, M. Physics of Semiconductors, 3rd ed.; Springer: New York, NY, USA, 2016; pp. 380–381. [Google Scholar]
- Shockley, W. Currents to conductors induced by a moving point charge. J. Appl. Phys. 1938, 9, 635–636. [Google Scholar] [CrossRef]
- He, Z. Review of the Shockley-Ramo theorem and its application in semiconductor gamma-ray detectors. Nucl. Instr. Meth. Phys. Res. A 2001, 463, 250–267. [Google Scholar] [CrossRef]
- Nelson, J. The Physics of Solar Cells; Imperial College Press: London, UK, 2003. [Google Scholar]
- Mannan, M.A.; Anjan, M.S.; Kabir, M.Z. Modeling of the current-voltage characteristics of thin film solar cells. Solid State Electron. 2011, 63, 49–54. [Google Scholar] [CrossRef]
- Saleheen, M.M.; Arnab, S.M.; Kabir, M.Z. Analytical model for voltage-dependent photo and dark currents in bulk heterojunction organic solar cells. Energies 2016, 9, 412. [Google Scholar] [CrossRef]
- National Renewable Energy Laboratory. Available online: http://rredc.nrel.gov/solar/spectra/am1.5/ (accessed on 3 June 2024).
- Bennett, S.H.; Ghosh, J.; Gros-Daillon, E.; Lédée, F.; Guillén, J.M.; Verilhac, J.-M.; Zaccaro, J.; Chung, D.Y.; Klepov, V.; Kanatzidis, M.G.; et al. Charge transport comparison of FA, MA and Cs lead halide perovskite single crystals for radiation detection. Front. Detect. Sci. Technol. 2023, 1, 1249892. [Google Scholar] [CrossRef]
- Motta, C.; El-Mellouhi, F.; Sanvito, S. Charge carrier mobility in hybrid halide perovskites. Sci. Rep. 2015, 5, 12746. [Google Scholar] [CrossRef] [PubMed]
- Brenner, T.M.; Egger, D.A.; Kronik, L.; Hodes, G.; Cahen, D. Hybrid organic–inorganic perovskites: Low-cost semiconductors with intriguing charge-transport properties. Nat. Rev. Mater. 2016, 1, 15007. [Google Scholar] [CrossRef]
- Wu, G.; Liang, R.; Ge, M.; Sun, G.; Zhang, Y.; Xing, G. Surface Passivation Using 2D Perovskites toward Efficient and Stable Perovskite Solar Cells. Adv. Mater. 2022, 34, 2105635. [Google Scholar] [CrossRef]







| Bulk Perovskite | ETL/HTL Composition | Vbi (V) | Jc (Acm−2) | Rs (Ωcm2) | Spt = Snt (cms−1) | Spb = Snb (cms−1) | PCE (%) |
|---|---|---|---|---|---|---|---|
| Cs0.05(FA0.83MA 0.17)0.95Pb(I0.83 Br0.17)3 [14] | TIO2 | 1.08 | 1.5 × 10−11 | 4 | 5 × 103 | 5 × 103 | 18.3 |
| TIO2/APTES | 1.13 | 1 × 10−11 | 3.2 | 4 × 103 | 5 × 103 | 20.3 | |
| TIO2/PASCA-Br | 1.15 | 0.5 × 10−11 | 3.2 | 2 × 103 | 5 × 103 | 21.6 | |
| (FAPbI3)0.95(MAPbBr3)0.05 [31] | Control (no 2D passivation) | 1.22 | 4 × 10−11 | 1 | 4 × 102 | 5 × 104 | 22.5 |
| With 2D passivation | 1.22 | 10−12 | 1 | 4 × 102 | 5 × 102 | 24.5 |
Disclaimer/Publisher’s Note: The statements, opinions and data contained in all publications are solely those of the individual author(s) and contributor(s) and not of MDPI and/or the editor(s). MDPI and/or the editor(s) disclaim responsibility for any injury to people or property resulting from any ideas, methods, instructions or products referred to in the content. |
© 2024 by the author. Licensee MDPI, Basel, Switzerland. This article is an open access article distributed under the terms and conditions of the Creative Commons Attribution (CC BY) license (https://creativecommons.org/licenses/by/4.0/).
Share and Cite
Kabir, M.Z. Analytical Model for Current–Voltage Characteristics in Perovskite Solar Cells Incorporating Bulk and Surface Recombination. Micromachines 2024, 15, 972. https://doi.org/10.3390/mi15080972
Kabir MZ. Analytical Model for Current–Voltage Characteristics in Perovskite Solar Cells Incorporating Bulk and Surface Recombination. Micromachines. 2024; 15(8):972. https://doi.org/10.3390/mi15080972
Chicago/Turabian StyleKabir, M. Z. 2024. "Analytical Model for Current–Voltage Characteristics in Perovskite Solar Cells Incorporating Bulk and Surface Recombination" Micromachines 15, no. 8: 972. https://doi.org/10.3390/mi15080972
APA StyleKabir, M. Z. (2024). Analytical Model for Current–Voltage Characteristics in Perovskite Solar Cells Incorporating Bulk and Surface Recombination. Micromachines, 15(8), 972. https://doi.org/10.3390/mi15080972

