The Electric Conductivity of Bi7Fe3Ti3O21 Doped with Gadolinium
Abstract
1. Introduction
2. Materials and Methods
3. Results and Discussion
3.1. X-ray Diffraction
3.2. Scanning Electron Microscopy and X-ray Microanalysis (EDS)
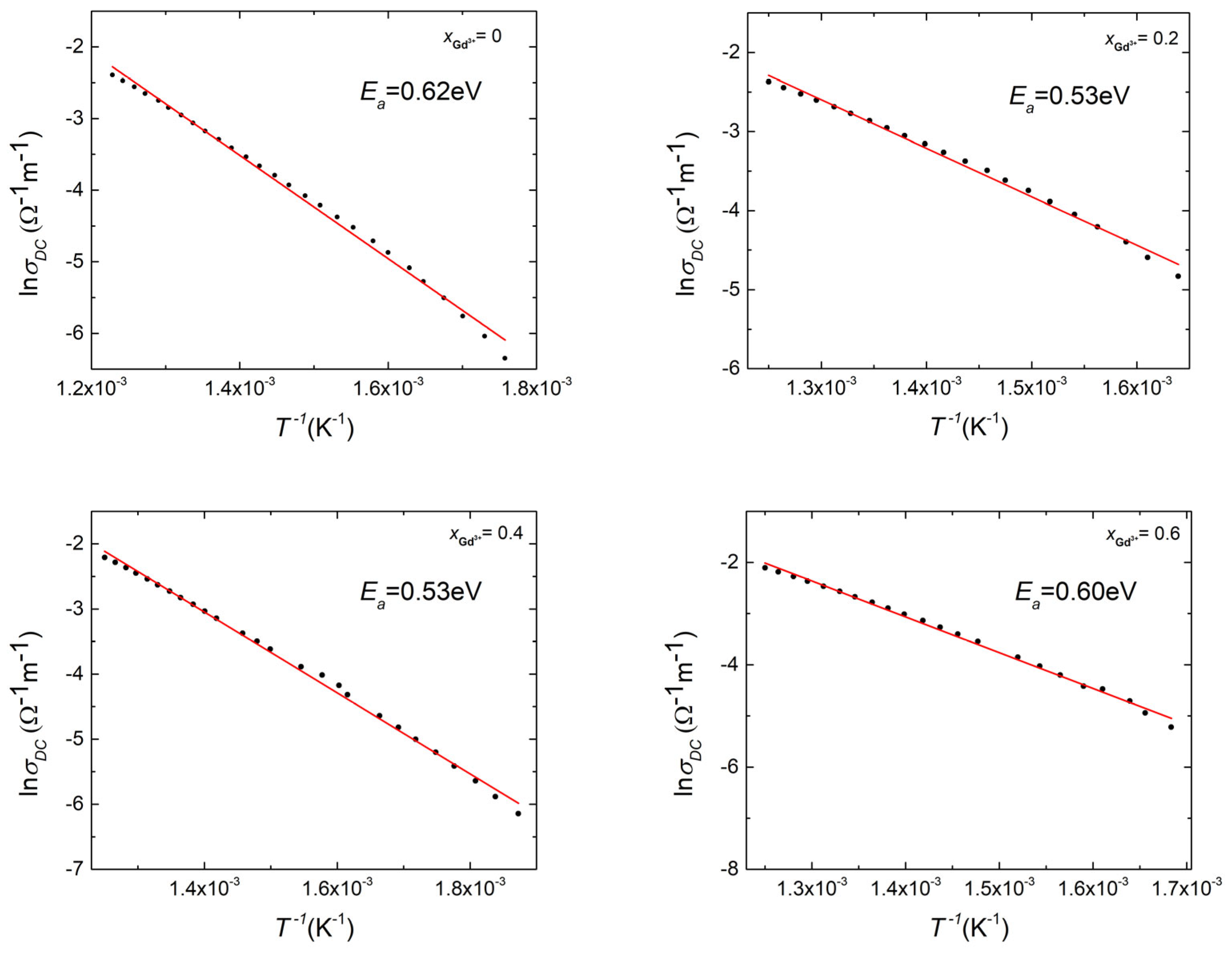
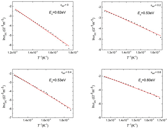
3.3. Impedance Spectroscopy
- S—electrode surface;
- d—sample thickness.
4. Conclusions
Author Contributions
Funding
Data Availability Statement
Conflicts of Interest
References
- Kreisel, J.; Kenzelmann, M. Multiferroics: The challenge of coupling magnetism and ferroelectricity. Europhys. News 2009, 5, 17–20. [Google Scholar] [CrossRef]
- Surowiak, Z.; Bochenek, D. Ferroelektromagnetyczne jednofazowe materiały inteligentne. Mater. Ceram. 2007, 59, 128–142. [Google Scholar]
- Cheong, S.W.; Mostovoy, M. Multiferroics: A magnetic twist for ferroelectricity. Nat. Mater. 2007, 6, 13–20. [Google Scholar] [CrossRef]
- Velev, J.P.; Jaswal, S.S.; Tsymbal, E.Y. Multi-ferroic and magnetoelectric materials and interfaces. Philos. Trans. R. Soc. A 2011, 369, 3069–3097. [Google Scholar] [CrossRef] [PubMed]
- Béa, H.; Gajek, M.; Bibes, M.; Barthélémy, A. Spintronics with multiferroics. J. Phys. Condens. Matter 2008, 20, 434221–434232. [Google Scholar] [CrossRef]
- Bibes, M.; Barthélémy, A. Oxide Spintronics. IEEE Trans. Electron. Devices 2007, 54, 1003–1023. [Google Scholar] [CrossRef]
- Liang, X.; Chen, H.; Sun, N.X. Magnetoelectric materials and devices. APL Mater. 2021, 9, 041114–041141. [Google Scholar] [CrossRef]
- Liang, X.; Matyushov, A.; Hayes, P.; Schell, V.; Dong, C.; Chen, H.; He, Y.; Will-Cole, A.; Quandt, E.; Martins, P.; et al. Roadmap on Magnetoelectric Materials and Devices. IEEE Trans. Magn. 2021, 57, 8. [Google Scholar] [CrossRef]
- Yakout, S.M. Spintronics: Future Technology for New Data Storage and Communication Devices. J. Supercond. Nov. Magn. 2020, 33, 2557–2580. [Google Scholar] [CrossRef]
- Liu, H.; Ye, W. Multi-fields in multiferroic materials induced by eigenfields and remote loads. Int. J. Eng. Sci. 2024, 197, 104028. [Google Scholar] [CrossRef]
- Dong, S.; Liu, J.M.; Cheong, S.W.; Ren, Z. Multiferroic materials and magneto electric physics: Symmetry, entanglement, excitation, and topology. Adv. Phys. 2015, 64, 519–626. [Google Scholar] [CrossRef]
- Ramesh, R. Emerging router to multiferroics. Nature 2009, 461, 1218–1219. [Google Scholar] [CrossRef] [PubMed]
- Bucko, M.M.; Polnar, J.; Lis, J.; Przewoznik, J.; Gaska, K.; Kapusta, C. Magnetic properties of the Bi7Fe3Ti3O21 Aurivillius phase moped with samarium. Adv. Sci. Technol. 2013, 77, 220–224. [Google Scholar]
- Aurivillius, B. Mixed bismuth oxides with layer lattices: II. Structure of Bi4Ti3O12. Ark. Kemi 1949, 2, 499–512. [Google Scholar]
- Adamczyk-Habrajska, M. Synteza i Badania Właściwości Ceramiki BaBi2Nb2O9; Wydawnictwo Gnome: Katowice, Poland, 2012. [Google Scholar]
- Aurivillius, B. Mixed bismuth oxides with layer lattices: I. The structure type of CaNb2Bi2O9. Ark. Kemi 1949, 1, 463–480. [Google Scholar]
- Aurivillius, B. Mixed oxides with layer lattices: III. Structure of BaBi4Ti4O15. Ark. For. 1950, 3, 519. [Google Scholar]
- Lomanova, N.A.; Morozov, M.I.; Ugolkov, V.L.; Gusarov, V.V. Properties of Aurivillius phases in the Bi4Ti3O12-BiFeO3 system. Inorg. Mater. 2006, 42, 189–195. [Google Scholar] [CrossRef]
- Sun, P.; Wang, H.; Bu, X.; Chen, Z.; Du, J.; Li, L.; Wen, F.; Bai, W.; Zheng, P.; Wu, W. Enhanced energy storage performance in bismuth layer-structured BaBi2Me2O9 (Me = Nb and Ta) relaxor ferroelectric ceramics. Ceram. Int. 2020, 46, 15907–15914. [Google Scholar] [CrossRef]
- Montero, M.T.; Millan, P.; Duran-Martin, P.; Jimenez, B.; Castro, A. Solid solutions of lead-doped bismuth layer of Auriv-illius n=2 and n=3 oxides: Structural and dielectric characterization. Mater. Res. Bull. 1998, 33, 1103–1115. [Google Scholar] [CrossRef]
- Rentschler, T. Substitution of lead into the bismuth oxide layers of the n = 2- and n = 3- Aurivillius phases. Mater. Res. Bull. 1997, 32, 351. [Google Scholar] [CrossRef]
- Kendall, K.; Thomas, J.K.; zur Loye, H.C. Synthesis and ionic conductivity of a new series of modified Aurivillius phases. Chem. Mater. 1995, 7, 50–57. [Google Scholar] [CrossRef]
- Suryanarayana, S.V.; Srinivas, A.; Singh, R.S. Indo-Russian Workshop on Micromechanical Systems. Proc. SPIE 1999, 3903, 369465. [Google Scholar]
- Afqir, M.; Tachafine, A.; Fasquelle, D.; Elaatmani, M. Preparation and dielectric properties of BaBi1.8Ln0.2Nb2O9 (Ln = Ce, Gd) ceramics. Mater. Sci. Pol. 2018, 36, 46–50. [Google Scholar] [CrossRef]
- Song, D.P.; Yang, J.; Wang, Y.X.; Yang, J.; Zhu, X.B. Magnetic and ferroelectric properties of Aurivillius phase Bi7Fe3Ti3O21 and their doped films. Ceram. Int. 2017, 43, 17148–17152. [Google Scholar] [CrossRef]
- Srinivas, M.M.; Kumar, M.M.; Suryanarayana, S.V.; Bhimasankaram, T. Investigation of dielectric and magnetic nature of Bi7Fe3Ti3O21. Mater. Res. Bull. 1999, 34, 989–996. [Google Scholar] [CrossRef]
- Krzhizhanovskaya, M.; Filatov, S.; Gusarov, V.; Paufler, P.; Bubnova, R.; Morozov, M.; Meyer, D.C. Aurivillius Phases in the Bi4Ti3O12/BiFeO3 System: Thermal Behaviour and Crystal Structure. Z. Anorg. Allg. Chem. 2005, 631, 1603–1608. [Google Scholar] [CrossRef]
- Rietveld, H.J. A profile refinement method for nuclear and magnetic structures. Appl. Crystallogr. 1969, 2, 65–71. [Google Scholar] [CrossRef]
- Boukamp, B.A. Practical application of the Kramers-Kronig transformation on impedance measurement in solid state electrochemistry. Solid State Ion. 1993, 62, 131–141. [Google Scholar] [CrossRef]
- Boukamp, B.A. Electrochemical impedance spectroscopy in solid state ionics: Recent advances. Solid State Ion. 2004, 169, 65–73. [Google Scholar] [CrossRef]
- Boukamp, B.A. A nonlinear least squares fit procedure for analysis of immitance data of electrochemical systems. Solid State Ion. 1986, 20, 31–44. [Google Scholar] [CrossRef]
- Young, R.A. The Rietveld Method; Oxford University Press: Oxford, UK, 1995. [Google Scholar]
- Szalbot, D.; Bartkowska, J.A.; Makowska, J.; Chrunik, M.; Osinska, K.; Adamczyk-Habrajska, M. Dielectric Properties and Magnetoelectric Effect of Bi7Fe3Ti3O21 Ceramic Material Doped with Gadolinium Ions. Appl. Sci. 2024, 14, 3920. [Google Scholar] [CrossRef]
- Szalbot, D.; Bartkowska, J.A.; Adamczyk-Habrajska, M.; Chełkowska, G.; Pawełczyk, M.; Bara, M.; Dzik, J. Magnetoelectric properties of multiferroic Aurivillius type Bi7Fe3Ti3O21 ceramics. Process. Appl. Ceram. 2020, 14, 218–222. [Google Scholar] [CrossRef]
- Szalbot, D.; Bartkowska, J.A.; Feliksik, K.; Bara, M.; Chrunik, M.; Adamczyk-Habrajska, M. Correlation between structure, microstructure, and dielectric properties of Bi7Fe3Ti3O21 ceramics obtained in different conditions. Arch. Metall. Mater. 2020, 65, 879–884. [Google Scholar] [CrossRef]
- Adamczyk-Habrajska, M.; Wodecka-Dus, B.; Goryczka, T.; Makowska, J. Impedance Spectroscopy of Fe and La-Doped BaTiO3 Ceramics. Crystals 2024, 14, 131. [Google Scholar] [CrossRef]
- Barsoukov, E.; Macdonald, J.R. Impedance Spectroscopy: Theory, Experiment, and Applications; Wiley-Interscience: Hoboken, NJ, USA, 2005. [Google Scholar]
- Sahoo, S.; Mahapatara, P.K.; Choudhary, R.N.P. The structural, electrical, and magnetoelectric properties of soft-chemically-synthesized SmFeO3 ceramics. J. Phys. D Appl. Phys. 2016, 49, 035302. [Google Scholar] [CrossRef]
- Garbarz-Glos, B.; Bąk, W.; Antonova, M.; Pawlik, M. Structural, microstructural, and impedance spectroscopy study of functional ferroelectric ceramic materials based on barium titanate. IOP Conf. Ser. Mater. Sci. Eng. 2013, 49, 012031. [Google Scholar] [CrossRef]
- Sinclair, D.C.; West, A.R. Impedance and modulus spectroscopy of semiconducting BaTiO3 showing positive temperature coefficient of resistance. J. Appl. Phys. 1989, 66, 3850–3856. [Google Scholar] [CrossRef]
- Parida, B.N.; Das, P.R.; Padhee, R.; Choudhary, R.N.P. Synthesis and characterization of a tungsten bronze ferroelectric oxide. Adv. Mat. Lett. 2012, 3, 231–238. [Google Scholar] [CrossRef]
- Sahoo, S.; Choudhary, R.N.P.; Mathur, B.K. Structural, ferroelectric and impedance spectroscopy properties of Y3+ modified Pb(Fe0.5Nb0.5)O3 ceramics. Phys. B Condens. Matter 2011, 406, 1660–1664. [Google Scholar] [CrossRef]
- Achary, P.G.R.; Dehury, S.K.; Choudhary, R.N.P. Structural, electrical and dielectric properties of double perovskites: BiHoZnZrO6 and BiHoCuTiO6. J. Mater. Sci. Mater. Electron. 2018, 29, 6805–6816. [Google Scholar] [CrossRef]
- Maier, J.; Schwitzgebel, G.; Hagemann, H.-J. Electrochemical investigations of conductivity and chemical diffusion in pure and doped cubic SrTiO3 and BaTiO3. J. Solid State Chem 1985, 58, 1–13. [Google Scholar] [CrossRef]
- Fleig, J.; Rodewald, S.; Maier, J. Microcontact impedance measurements of individual highly resistive grain boundaries: General aspects and application to acceptor-doped SrTiO3. J. Appl. Phys. 2000, 87, 2372–2381. [Google Scholar] [CrossRef]
- Ghayour, H.; Abdellahi, M. A brief review of the effect of grain size variation on the electrical properties of BaTiO3-based ceramics. Powder Technol. 2016, 292, 84–93. [Google Scholar] [CrossRef]
- Prasad, B.V.; Rao, G.N.; Chen, J.W.; Babu, D.S. Relaxor ferroelectric like giant permittivity in PrCrO3 semiconductor ceramics. Mater. Chem. Phys. 2011, 126, 918–921. [Google Scholar] [CrossRef]
- Wójcik, N.A.; Tagiara, N.S.; Moncke, D.; Kamitsos, E.I.; Ali, S.; Ryl, J.; Barczyński, R.J. Mechanism of hopping conduction in Be-Fe-Al-Te-O semiconducting glasses and glass-ceramics. J. Mater. Sci. 2022, 57, 1633–1647. [Google Scholar] [CrossRef]
- Jonscher, A.K. The ‘universal’ dielectric response. Nature 1977, 267, 673–679. [Google Scholar] [CrossRef]
- Long, A.R. Frequency-dependent loss in amorphous semiconductors. Adv. Phys. 1982, 31, 553–637. [Google Scholar] [CrossRef]
- Yoo, H.I.; Kim, C.S. Electrical properties and defect structure of Y1-xCaxFeO3 orthoferrites. Solid State Ion. 1992, 53, 583–591. [Google Scholar] [CrossRef]
- Pelaiz-Barranco, A.; Guerra, J.D.S.; Lopez-Noda, R.; Araujo, E.B. Ionized oxygen vacancy-related electrical conductivity in (Pb1-xLax)(Zr0,90Ti0,10)1-x/4O3 ceramics. J. Phys. D Appl. Phys. 2008, 41, 215503. [Google Scholar] [CrossRef]
- Sharma, V.; Kaur, R.; Singh, M.; Selvamani, R.; Gupta, S.M.; Tiwari, V.S.; Karnal, A.K.; Singh, A. Conductivity relaxation and oxygen vacancies-related electron hopping mechanism in Pb1-xLax/2Smx/2Ti1-xFexO3 solid solutions. J. Asian Ceram. Soc. 2018, 6, 222–231. [Google Scholar] [CrossRef]









| Bi7-xGdxFe3Ti3O21 | χ2 [33] | Rb | RF | Rp | Rwp | Rexp | GoF |
|---|---|---|---|---|---|---|---|
| x | |||||||
| 0.0 | 2.34 | 1.14 | 1.48 | 4.86 | 6.34 | 4.14 | 1.530 |
| 0.2 | 1.99 | 4.28 | 2.49 | 6.63 | 8.55 | 6.09 | 1.411 |
| 0.4 | 1.68 | 1.36 | 0.976 | 5.17 | 6.64 | 5.13 | 1.296 |
| 0.6 | 1.47 | 1.30 | 2.26 | 5.45 | 6.95 | 5.73 | 1.212 |
Disclaimer/Publisher’s Note: The statements, opinions and data contained in all publications are solely those of the individual author(s) and contributor(s) and not of MDPI and/or the editor(s). MDPI and/or the editor(s) disclaim responsibility for any injury to people or property resulting from any ideas, methods, instructions or products referred to in the content. |
© 2024 by the authors. Licensee MDPI, Basel, Switzerland. This article is an open access article distributed under the terms and conditions of the Creative Commons Attribution (CC BY) license (https://creativecommons.org/licenses/by/4.0/).
Share and Cite
Makowska, J.; Szalbot, D.; Adamczyk-Habrajska, M.; Wodecka-Duś, B.; Chrunik, M. The Electric Conductivity of Bi7Fe3Ti3O21 Doped with Gadolinium. Micromachines 2024, 15, 860. https://doi.org/10.3390/mi15070860
Makowska J, Szalbot D, Adamczyk-Habrajska M, Wodecka-Duś B, Chrunik M. The Electric Conductivity of Bi7Fe3Ti3O21 Doped with Gadolinium. Micromachines. 2024; 15(7):860. https://doi.org/10.3390/mi15070860
Chicago/Turabian StyleMakowska, Jolanta, Diana Szalbot, Małgorzata Adamczyk-Habrajska, Beata Wodecka-Duś, and Maciej Chrunik. 2024. "The Electric Conductivity of Bi7Fe3Ti3O21 Doped with Gadolinium" Micromachines 15, no. 7: 860. https://doi.org/10.3390/mi15070860
APA StyleMakowska, J., Szalbot, D., Adamczyk-Habrajska, M., Wodecka-Duś, B., & Chrunik, M. (2024). The Electric Conductivity of Bi7Fe3Ti3O21 Doped with Gadolinium. Micromachines, 15(7), 860. https://doi.org/10.3390/mi15070860

