The Interplay of Core Diameter and Diameter Ratio on the Magnetic Properties of Bistable Glass-Coated Microwires
Abstract
1. Introduction
2. Materials and Methods
3. Results and Discussion
4. Conclusions
- (1)
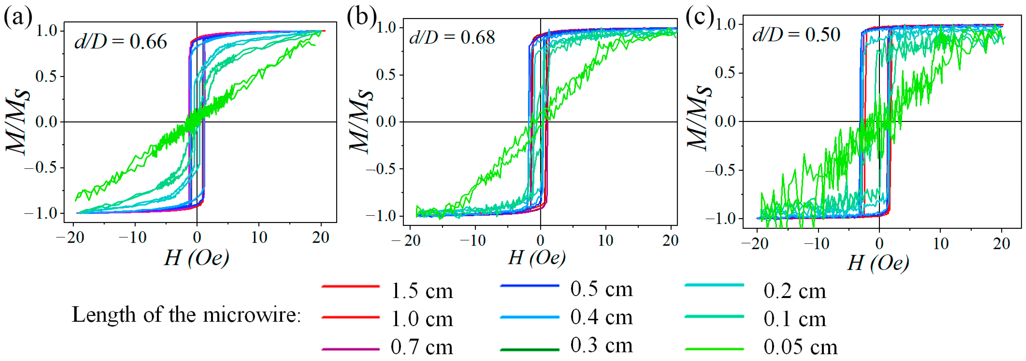
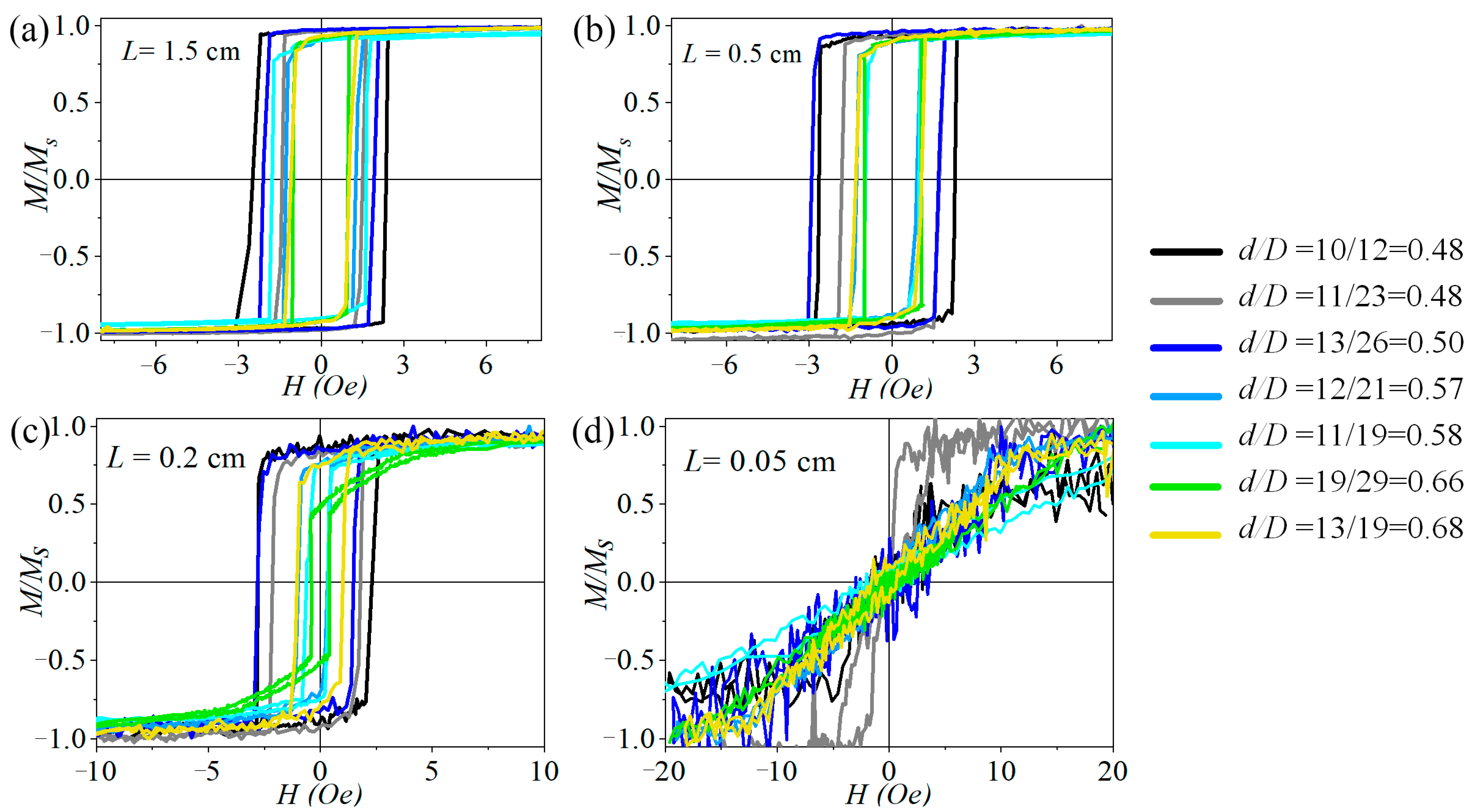
- As the length of the microwire decreases, both the coercive force and remanent magnetization also decrease. This phenomenon results from the increasing relative volume of the closure domains, and the rise in the demagnetizing factor along the microwire’s axis. Consequently, the magnetization reversal of the microwires occurs not only due to the rapid movement of the domain walls but also due to the rotation of the magnetic moments within the closure domains.
- (2)
- FORC analysis of the microwire at its critical length revealed magnetostatic interactions between the magnetic domains inside the microwire like those observed in a system of two bistable microwires.
- (3)
- Our analysis demonstrated that as the d/D ratio decreases, both the coercive force and remanent magnetization increase. This effect is attributed to the higher internal mechanical stresses resulting from the different thermal expansion coefficients of the metal and glass components. These increased stresses lead to higher magnetoelastic anisotropy within the core, strengthening a preferred orientation of the magnetic moment along the microwire axis, particularly at very short lengths, down to 0.1 cm. It is noteworthy that this small critical length for magnetically bistable microwires has been identified for the first time, particularly in a microwire with a d/D ratio of 0.5.
Author Contributions
Funding
Data Availability Statement
Conflicts of Interest
References
- Nematov, M.G.; Kolesnikova, V.; Evstigneeva, S.A.; Alam, J.; Yudanov, N.A.; Samokhvalov, A.A.; Andreev, N.; Podgornaya, S.V.; Soldatov, I.; Schaefer, R.; et al. Excellent soft magnetic properties in Co-based amorphous alloys after heat treatment at temperatures near the crystallization onset. J. Alloys Compd. 2021, 890, 161740. [Google Scholar] [CrossRef]
- Alam, J.; Bran, C.; Chiriac, H.; Lupu, N.; Óvári, T.A.; Panina, L.V.; Rodionova, V.; Varga, R. Cylindrical micro and nanowires: Fabrication, properties and applications. J. Magn. Magn. Mater. 2020, 513, 167074. [Google Scholar] [CrossRef]
- Jiang, Q.; Qiao, Y.; Xiang, C.; Uddin, A.; Wu, L.; Qin, F. Metacomposite based on three-dimensional ferromagnetic microwire architecture for electromagnetic response. Adv. Compos. Hybrid Mater. 2022, 5, 3190–3200. [Google Scholar] [CrossRef]
- Al Ali, M.; Platko, P.; Bajzecerova, V.; Kusnir, S.; Kmet, S.; Nalevanko, S.; Spegarova, A.; Galdun, L.; Varga, R. Application of bistable glass-coated microwire for monitoring and measuring the deformations of metal structural members. Meas. J. Int. Meas. Confed. 2023, 208, 112458. [Google Scholar] [CrossRef]
- Panina, L.V.; Dzhumazoda, A.; Nematov, M.G.; Alam, J.; Trukhanov, A.; Yudanov, N.A.; Morchenko, A.T.; Rodionova, V.; Zhukov, A. Soft Magnetic Amorphous Microwires for Stress and Temperature Sensory Applications. Sensors 2019, 19, 5089. [Google Scholar] [CrossRef]
- Calle, E.; Jiménez, A.; Vázquez, M.; del Real, R.P. Time-resolved velocity of a domain wall in a magnetic microwire. J. Alloys Compd. 2018, 767, 106–111. [Google Scholar] [CrossRef]
- Zhukova, V.; Corte-Leon, P.; González-Legarreta, L.; Talaat, A.; Blanco, J.M.; Ipatov, M.; Olivera, J.; Zhukov, A. Review of domain wall dynamics engineering in magnetic microwires. Nanomaterials 2020, 10, 2407. [Google Scholar] [CrossRef]
- Chichay, K.; Rodionova, V.; Zhukova, V.; Ipatov, M.; Perov, N.; Gorshenkov, M.; Andreev, N.; Zhukov, A. Tunable domain wall dynamics in amorphous ferromagnetic microwires. J. Alloys Compd. 2020, 835, 154843. [Google Scholar] [CrossRef]
- Kozejova, D.; Varga, R. Bistable magnetic microwire for contactless sensor of intracranial pressure. J. Magn. Magn. Mater. 2023, 569, 170473. [Google Scholar] [CrossRef]
- Churyukanova, M.; Kaloshkin, S.; Shuvaeva, E.; Stepashkin, A.; Zhdanova, M.; Aronin, A.; Aksenov, O.; Arakelov, P.; Zhukova, V.; Zhukov, A. Non-contact method for stress monitoring based on stress dependence of magnetic properties of Fe-based microwires. J. Alloys Compd. 2018, 748, 199–205. [Google Scholar] [CrossRef]
- Praslička, D.; Blažek, J.; Šmelko, M.; Hudák, J.; Čverha, A.; Mikita, I.; Varga, R.; Zhukov, A. Possibilities of measuring stress and health monitoring in materials using contact-less sensor based on magnetic microwires. IEEE Trans. Magn. 2013, 49, 128–131. [Google Scholar] [CrossRef]
- Rodionova, V.V.; Baraban, I.A.; Panina, L.V.; Bazlov, A.I.; Perov, N.S. Tunable Magnetic Properties of Glass-Coated Microwires by Initial Technical Parameters. IEEE Trans. Magn. 2018, 54, 1–6. [Google Scholar] [CrossRef]
- Zhukova, V.; Corte-Leon, P.; Blanco, J.M.; Ipatov, M.; Gonzalez-Legarreta, L.; Gonzalez, A.; Zhukov, A. Development of Magnetically Soft Amorphous Microwires for Technological Applications. Chemosensors 2022, 10, 26. [Google Scholar] [CrossRef]
- Corte-Leon, P.; Zhukova, V.; Blanco, J.M.; Ipatov, M.; Taskaev, S.; Churyukanova, M.; Gonzalez, J.; Zhukov, A. Engineering of magnetic properties and magnetoimpedance effect in Fe-rich microwires by reversible and irreversible stress-annealing anisotropy. J. Alloys Compd. 2021, 855, 157460. [Google Scholar] [CrossRef]
- Vahovsky, O.; Thiaville, A.; Varga, R.; Richter, K. Manipulation of Domain Wall Shape in Thin Magnetic Wire by Current Annealing. Acta Phys. Pol. A 2020, 137, 821–823. [Google Scholar] [CrossRef]
- Vázquez, M.; Chiriac, H.; Zhukov, A.; Panina, L.; Uchiyama, T. On the state-of-the-art in magnetic microwires and expected trends for scientific and technological studies. Phys. Status Solidi Appl. Mater. Sci. 2011, 208, 493–501. [Google Scholar] [CrossRef]
- Vázquez, M.; Zhukov, A.P. Magnetic properties of glass-coated amorphous and nanocrystalline microwires. J. Magn. Magn. Mater. 1996, 160, 223–228. [Google Scholar] [CrossRef]
- Zhukov, V.L.A.; Vazquez, M.; Velazquez, J.; Hernando, A. Magnetic properties of Fe based glass-coated microwires. J. Magn. Magn. Mater. 1997, 170, 323–330. [Google Scholar] [CrossRef]
- Squire, P.T.; Aktkinson, D.; Giggs, M.R.J.; Atalay, S. Amorphous Review Article wires and their applications. J. Magn. Magn. Mater. 1994, 132, 10. [Google Scholar] [CrossRef]
- Béron, F.; Ménard, D.; Yelon, A. First-order reversal curve diagrams of magnetic entities with mean interaction field: A physical analysis perspective. J. Appl. Phys. 2008, 103, 2008–2010. [Google Scholar] [CrossRef]
- Breth, L.; Fischbacher, J.; Kovacs, A.; Oezelt, H.; Schrefl, T.; Brueckl, H.; Czettl, C.; Kührer, S.; Pachlhofer, J.; Schwarz, M. FORC diagram features of Co particles due to reversal by domain nucleation. J. Magn. Magn. Mater. 2023, 571, 170567. [Google Scholar] [CrossRef]
- Martínez-García, J.C.; Rivas, M.; Lago-Cachón, D.; García, J.A. FORC differential dissection of soft biphase magnetic ribbons. J. Alloys Compd. 2015, 615, S276–S279. [Google Scholar] [CrossRef]
- Kolesnikova, V.G.; Makarova, L.A.; Omelyanchik, A.S.; Sobolev, K.V.; Isaev, D.A.; Alekhina, I.A.; Komlev, A.S.; Rodionova, V.V.; Perov, N.S. Magnetoactive elastomers based on ferromagnetic and ferroelectric particles: A FORC approach. J. Magn. Magn. Mater. 2022, 558, 169506. [Google Scholar] [CrossRef]
- Rivas, M.; Gorria, P.; Muñoz-Gómez, C.; Martińez-García, J.C. Quasi-Static AC FORC Measurements for Soft Magnetic Materials and Their Differential Interpretation. IEEE Trans. Magn. 2017, 53, 1–7. [Google Scholar] [CrossRef]
- Mayergoyz, I.D.; Friedman, G. Generalized preisach model of hyst eresis (invited). IEEE Trans. Magn. 1988, 24, 212–217. [Google Scholar] [CrossRef]
- Kolesnikova, V.; Martínez-García, J.C.; Rodionova, V.; Rivas, M. Study of bistable behaviour in interacting Fe-based microwires by first order reversal curves. J. Magn. Magn. Mater. 2020, 508, 166857. [Google Scholar] [CrossRef]
- Cabanas, A.M.; del Real, R.P.; Laroze, D.; Vázquez, M. First-Order Reversal Curves of Sets of Bistable Magnetostrictive Microwires. Materials 2023, 16, 2131. [Google Scholar] [CrossRef]





| № | d, µm | D, µm | d/D |
|---|---|---|---|
| 1 | 10 | 21 | 0.48 |
| 2 | 11 | 23 | 0.48 |
| 3 | 13 | 26 | 0.50 |
| 4 | 12 | 21 | 0.57 |
| 5 | 11 | 19 | 0.58 |
| 6 | 19 | 29 | 0.66 |
| 7 | 13 | 19 | 0.68 |
Disclaimer/Publisher’s Note: The statements, opinions and data contained in all publications are solely those of the individual author(s) and contributor(s) and not of MDPI and/or the editor(s). MDPI and/or the editor(s) disclaim responsibility for any injury to people or property resulting from any ideas, methods, instructions or products referred to in the content. |
© 2024 by the authors. Licensee MDPI, Basel, Switzerland. This article is an open access article distributed under the terms and conditions of the Creative Commons Attribution (CC BY) license (https://creativecommons.org/licenses/by/4.0/).
Share and Cite
Kolesnikova, V.; Baraban, I.; Omelyanchik, A.; Panina, L.; Rodionova, V. The Interplay of Core Diameter and Diameter Ratio on the Magnetic Properties of Bistable Glass-Coated Microwires. Micromachines 2024, 15, 1284. https://doi.org/10.3390/mi15111284
Kolesnikova V, Baraban I, Omelyanchik A, Panina L, Rodionova V. The Interplay of Core Diameter and Diameter Ratio on the Magnetic Properties of Bistable Glass-Coated Microwires. Micromachines. 2024; 15(11):1284. https://doi.org/10.3390/mi15111284
Chicago/Turabian StyleKolesnikova, Valeria, Irina Baraban, Alexander Omelyanchik, Larissa Panina, and Valeria Rodionova. 2024. "The Interplay of Core Diameter and Diameter Ratio on the Magnetic Properties of Bistable Glass-Coated Microwires" Micromachines 15, no. 11: 1284. https://doi.org/10.3390/mi15111284
APA StyleKolesnikova, V., Baraban, I., Omelyanchik, A., Panina, L., & Rodionova, V. (2024). The Interplay of Core Diameter and Diameter Ratio on the Magnetic Properties of Bistable Glass-Coated Microwires. Micromachines, 15(11), 1284. https://doi.org/10.3390/mi15111284

