Mechanical Property of Thermoplastic Polyurethane Vascular Stents Fabricated by Fused Filament Fabrication
Abstract
1. Introduction
2. Structural Design and Fabrication
2.1. Selection of Vascular Stent Unit Structures
2.2. Mechanical Property Simulation of the Vascular Stent
2.2.1. The Simulation Method of Unilateral Bending and Radial Compression
2.2.2. The Simulation of Unilateral Bending and Radial Compression of Various Stents with Different Edge Width and Wall Thickness
- (1)
- A simulation of four kinds of unilateral bent stents under the conditions of an edge width of 1.0 mm and wall thickness of 1.2 mm is produced.
- (2)
- The top-side compression simulation of four kinds of stents under the conditions of an edge width of 1.0 mm and wall thickness of 1.2 mm is shown in Figure 3. From top to bottom, there is an inner hexagonal stent, quadrilateral stent, arrow stent and hexagonal stent.
2.3. Fabrication of the Artificial Vascular Stent
3. The Mechanical Performance Evaluation of the Vascular Stents
3.1. The Unilateral Bending and Radial Compression Performance
3.2. Support Force Measurement of the Vascular Stent
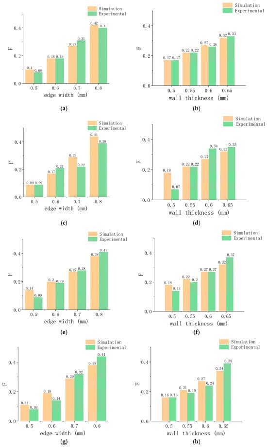
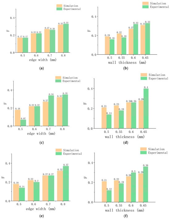
3.3. Comparison of Simulation and Experimental Results
3.4. Comparison of Equivalent Stress Among TPU Stents, Commercial Stents, and Native Vessels
3.5. Failure Analysis of the Vascular Stent
3.5.1. Failure of Vascular Stent from the Structural Point of View
3.5.2. The Failure Mechanism from the Perspective of Deposition Mode
4. Conclusions
Author Contributions
Funding
Data Availability Statement
Conflicts of Interest
References
- Sakalihasan, N.; Michel, J.B.; Katsargyris, A.; Kuivaniemi, H.; Defraigne, J.O.; Nchimi, A.; Powell, J.T.; Yoshimura, K.; Hultgren, R. Abdominal aortic aneurysms. Nat. Rev. Dis. Primers 2018, 4, 34. [Google Scholar] [CrossRef] [PubMed]
- Jongsma, H.; Bekken, J.; Ayez, N.; Hoogewerf, C.J.; Van Weel, V.; Fioole, B. Angioplasty versus stenting for iliac artery lesions. Cochrane Database Syst Rev. 2020, 12, CD007561. [Google Scholar] [PubMed]
- Papatheodorou, N.; Argyriou, C.; Androutsopoulou, V.A.; Chrisafis, I.; Mikroulis, D.; Georgiadis, G.S. Unmasking the Coronary-Subclavian Steal Syndrome: The Culprit Lies in the Subclavian Artery. A Report of a Case and Review of the Literature. Ann. Vasc. Surg. 2021, 74, 524-e9. [Google Scholar] [CrossRef] [PubMed]
- Hu, J.; Zheng, Z.-F.; Zhou, X.-T.; Liu, Y.-Z.; Sun, Z.-M.; Zhen, Y.-S.; Gao, B.-L. Normal diameters of abdominal aorta and common iliac artery in middle-aged and elderly Chinese Han people based on CTA. Medicine 2022, 101, e30026. [Google Scholar] [CrossRef]
- Kahraman, H.; Ozaydin, M.; Varol, E.; Aslan, S.M.; Dogan, A.; Altinbas, A.; Demir, M.; Gedikli, O.; Acar, G.; Ergene, O. The diameters of the aorta and its major branches in patients with isolated coronary artery ectasia. Tex Heart Inst. J. 2006, 33, 463–468. [Google Scholar]
- Ahadi, F.; Azadi, M.; Biglari, M.; Bodaghi, M.; Khaleghian, A. Evaluation of coronary stents: A review of types, materials, processing techniques, design, and problems. Heliyon 2023, 9, e13575. [Google Scholar] [CrossRef]
- Yu, P.; Huang, S.; Yang, Z.; Liu, T.; Qilin, Z.; Feng, J.; Zeng, B. Biomechanical properties of a customizable TPU/PCL blended esophageal stent fabricated by 3D printing. Mater. Today Commun. 2023, 34, 105196. [Google Scholar] [CrossRef]
- Mani, G.; Feldman, M.D.; Patel, D.; Agrawal, C.M. Coronary stents: A materials perspective. Biomaterials 2007, 28, 1689–1710. [Google Scholar] [CrossRef]
- Yang, C.; Han, R.; Nie, M.; Wang, Q. Interfacial reinforcement mechanism in poly(lactic acid)/natural fiber biocomposites featuring ZnO nanowires at the interface. Mater. Des. 2020, 186, 108332. [Google Scholar] [CrossRef]
- Kim, S.; Korolovych, V.F.; Muhlbauer, R.L.; Tsukruk, V.V. 3D-printed polymer packing structures: Uniformity of morphology and mechanical properties via microprocessing conditions. J. Appl. Polym. Sci. 2020, 137, e49381. [Google Scholar] [CrossRef]
- Wu, Z.; Zhao, J.; Wu, W.; Wang, P.; Wang, B.; Li, G.; Zhang, S. Radial Compressive Property and the Proof-of-Concept Study for Realizing Self-expansion of 3D Printing Polylactic Acid Vascular Stents with Negative Poisson’s Ratio Structure. Materials 2018, 11, 1357. [Google Scholar] [CrossRef] [PubMed]
- Tong, X.; Zhang, Z.; Fu, K.; Li, Y.; Cao, B.; Wang, W.; Chen, B. Achieving High Mechanical Properties of Biodegradable Vascular Stents by Four-Axis 3d Printing System and Heat Treatment. Mater. Lett. 2023, 341, 13426. [Google Scholar] [CrossRef]
- Grabow, N.; Martin, D.P.; Schmitz, K.-P.; Sternberg, K. Absorbable polymer stent technologies for vascular regeneration. J. Chem. Technol. Biotechnol. 2010, 85, 744–751. [Google Scholar] [CrossRef]
- Muhammad, N.; Whitehead, D.; Boor, A.; Oppenlander, W.; Liu, Z.; Li, L. Picosecond laser micromachining of nitinol and platinum–iridium alloy for coronary stent applications. Appl. Phys. A 2012, 106, 607–617. [Google Scholar] [CrossRef]
- Kandala, B.; Zhang, G.; Lcorriveau, C.; Paquin, M.; Chagnon, M.; Begun, D.; Shanov, V. Preliminary study on modelling, fabrication by photo-chemical etching and in vivo testing of biodegradable magnesium AZ31 stents. Bioact. Mater. 2021, 6, 1663–1675. [Google Scholar] [CrossRef]
- Shu, C.; He, H.; Fan, B.-W.; Li, J.-H.; Wang, T.; Li, D.-Y.; Li, Y.-M.; He, H. Biocompatibility of vascular stents manufactured using metal injection molding in animal experiments. Trans. Nonferrous Met. Soc. China 2022, 32, 569–580. [Google Scholar] [CrossRef]
- Dilberoglu, U.M.; Ghareh Papagh, B.; Yaman, U.; Dolen, M. The Role of Additive Manufacturing in the Era of Industry 4.0. Procedia Manuf. 2017, 11, 545–554. [Google Scholar] [CrossRef]
- Gibson, I.; Rosen, D.W.; Stucker, B.; Khorasani, M.; Rosen, D.; Stucker, B.; Khorasani, M. Additive Manufacturing Technologies; Springer: Berlin/Heidelberg, Germany, 2021. [Google Scholar]
- Zhang, H.; Wang, X.; Yang, L.; Feng, L.; Hui, D.; Zhai, Y. Structural Lightweight Design of Thermoplastic Polyurethane Elasticity Fabricated by Fused Deposition Modeling. J. Mater. Eng. Perform. 2023, 1–18. [Google Scholar] [CrossRef]
- Guzzi, E.A.; Tibbitt, M.W. Additive Manufacturing of Precision Biomaterials. Adv. Mater. 2020, 32, 1901994. [Google Scholar] [CrossRef]
- Sabahi, N.; Chen, W.; Wang, C.-H.; Kruzic, J.J.; Li, X.J.J. A Review on Additive Manufacturing of Shape-Memory Materials for Biomedical Applications. JOM 2020, 72, 1229–1253. [Google Scholar] [CrossRef]
- Li, Y.; Shi, Y.; Lu, Y.; Li, X.; Zhou, J.; Zadpoor, A.A.; Wang, L. Additive manufacturing of vascular stents. Acta Biomater. 2023, 167, 16–37. [Google Scholar] [CrossRef] [PubMed]
- Vo, A.Q.; Zhang, J.; Nyavanandi, D.; Bandari, S.; Repka, M.A. Hot melt extrusion paired fused deposition modeling 3D printing to develop hydroxypropyl cellulose based floating tablets of cinnarizine. Carbohydr. Polym. 2020, 246, 116519. [Google Scholar] [CrossRef] [PubMed]
- Reddy Dumpa, N.; Bandari, S.; A Repka, M. Novel Gastroretentive Floating Pulsatile Drug Delivery System Produced via Hot-Melt Extrusion and Fused Deposition Modeling 3D Printing. Pharmaceutics 2020, 12, 52. [Google Scholar] [CrossRef]
- Valvez, S.; Silva, A.P.; Reis, P.N.B. Optimization of Printing Parameters to Maximize the Mechanical Properties of 3D-Printed PETG-Based Parts. Polymers 2022, 14, 2564. [Google Scholar] [CrossRef]
- van Lith, R.; Baker, E.; Ware, H.O.T.; Yang, J.; Farsheed, A.C.; Sun, C.; Ameer, G. 3D-Printing Strong High-Resolution Antioxidant Bioresorbable Vascular Stents. Adv. Mater. Technol. 2016, 1, 1600138. [Google Scholar] [CrossRef]
- Kong, D.; Pu, S.; Cheng, Z.; Wu, G.; Liu, Y. Coordinated Deformation Mechanism of the Top Coal and Filling Body of Gob-Side Entry Retaining in a Fully Mechanized Caving Face. Int. J. Géoméch. 2021, 21, 04021030. [Google Scholar] [CrossRef]
- Tan, S. Stress Concentrations in Laminated Composites; Taylor & Francis: London, UK, 2017. [Google Scholar]
- Post, A.; Diaz-Rodriguez, P.; Balouch, B.; Paulsen, S.; Wu, S.; Miller, J.; Hahn, M.; Cosgriff-Hernandez, E. Elucidating the role of graft compliance mismatch on intimal hyperplasia using an ex vivo organ culture model. Acta Biomater. 2019, 89, 84–94. [Google Scholar] [CrossRef] [PubMed]
- Walter, D.; Pilkey, D.F.P.; Bi, Z. Peterson’s Stress Concentration Factors. In Peterson’s Stress Concentration Factors; John Wiley & Sons: Hoboken, NJ, USA, 2020; pp. 589–601. [Google Scholar]
- Qin, G.; Qin, Z. Negative Poisson’s ratio in two-dimensional honeycomb structures. npj Comput. Mater. 2020, 6, 1–6. [Google Scholar] [CrossRef]
- Li, Q.; Zhan, L.; Miao, X.; Hu, L.; Li, E.; Zou, T. Morning glory-inspired lattice structure with negative Poisson’s ratio effect. Int. J. Mech. Sci. 2022, 232, 107643. [Google Scholar] [CrossRef]
- Gao, Q.; Tan, C.A.; Hulbert, G.; Wang, L. Geometrically nonlinear mechanical properties of auxetic double-V microstructures with negative Poisson’s ratio. Eur. J. Mech. A/Solids 2020, 80, 103933. [Google Scholar] [CrossRef]
- Xu, F.; Yu, K.; Hua, L. In-plane dynamic response and multi-objective optimization of negative Poisson’s ratio (NPR) honeycomb structures with sinusoidal curve. Compos. Struct. 2021, 269, 114018. [Google Scholar] [CrossRef]
- Guo, C.; Zhao, D.; Liu, Z.; Ding, Q.; Gao, H.; Yan, Q.; Sun, Y.; Ren, F. The 3D-Printed Honeycomb Metamaterials Tubes with Tunable Negative Poisson’s Ratio for High-Performance Static and Dynamic Mechanical Properties. Materials 2021, 14, 1353. [Google Scholar] [CrossRef] [PubMed]
- Ruan, X.L.; Yuan, W.; Hu, Y.; Li, J.; Wu, W.; Xia, R. Chiral constrained stent: Effect of structural design on the mechanical and intravascular stent deployment performances. Mech. Mater. 2020, 148, 103509. [Google Scholar] [CrossRef]
- Prawoto, Y. Seeing auxetic materials from the mechanics point of view: A structural review on the negative Poisson’s ratio. Comput. Mater. Sci. 2012, 58, 140–153. [Google Scholar] [CrossRef]
- Alzoubi, L.; Aljabali, A.A.A.; Tambuwala, M.M. Empowering Precision Medicine: The Impact of 3D Printing on Personalized Therapeutic. Aaps Pharmscitech 2023, 24, 228. [Google Scholar] [CrossRef] [PubMed]
- Xiao, Y.; Liu, P.; Wang, W.-J.; Li, B.-G. Dynamically Cross-Linked Polyolefin Elastomers with Highly Improved Mechanical and Thermal Performance. Macromolecules 2021, 54, 10381–10387. [Google Scholar] [CrossRef]
- Fang, Z.; Shi, Y.; Mu, H.; Lu, R.; Wu, J.; Xie, T. 3D printing of dynamic covalent polymer network with on-demand geometric and mechanical reprogrammability. Nat. Commun. 2023, 14, 1–8. [Google Scholar] [CrossRef]
- Chen, J.; Dai, S.; Liu, L.; Maitz, M.F.; Liao, Y.; Cui, J.; Zhao, A.; Yang, P.; Huang, N.; Wang, Y. Photo-functionalized TiO2 nanotubes decorated with multifunctional Ag nanoparticles for enhanced vascular biocompatibility. Bioact. Mater. 2021, 6, 45–54. [Google Scholar] [CrossRef] [PubMed]
- Shlofmitz, E.; Iantorno, M.; Waksman, R. Restenosis of Drug-Eluting Stents. Circ. Cardiovasc. Interv. 2019, 12, e007023. [Google Scholar] [CrossRef]
- He, S.; Hu, S.; Wu, Y.; Jin, R.; Niu, Z.; Wang, R.; Xue, J.; Wu, S.; Zhao, X.; Zhang, L. Polyurethanes Based on Polylactic Acid for 3D Printing and Shape-Memory Applications. Biomacromolecules 2022, 23, 4192–4202. [Google Scholar] [CrossRef]
- Yao, Y.; Xiao, M.; Liu, W. A Short Review on Self-Healing Thermoplastic Polyurethanes. Macromol. Chem. Phys. 2021, 222, 2100002. [Google Scholar] [CrossRef]
- Fallahiarezoudar, E.; Ahmadipourroudposht, M.; Yusof, N.M.; Idris, A.; Ngadiman, N.H.A. 3D Biofabrication of Thermoplastic Polyurethane (TPU)/Poly-l-lactic Acid (PLLA) Electrospun Nanofibers Containing Maghemite (γ-Fe₂O₃) for Tissue Engineering Aortic Heart Valve. Polymers 2017, 9, 584. [Google Scholar] [CrossRef]
- Kang, M.H.; Cheon, K.-H.; Jo, K.-I.; Ahn, J.-H.; Kim, H.E.; Jung, H.-D.; Jang, T.-S. An asymmetric surface coating strategy for improved corrosion resistance and vascular compatibility of magnesium alloy stents. Mater. Des. 2020, 196, 109182. [Google Scholar] [CrossRef]
- Wang, Y.; Wu, H.; Fan, S.; Wu, J.; Yang, S. Structure design and mechanical performance analysis of three kinds of bioresorbable poly-lactic acid (PLA) stents. Comput. Methods Biomech. Biomed. Eng. 2023, 26, 25–37. [Google Scholar] [CrossRef]
- Zhao, G.; Liu, Q.; Tian, Y.; Liu, J.; Cheng, J.; Ni, Z. Evaluation of mechanical properties of poly(L-lactic acid) braided stents with axial stiffeners. J. Appl. Polym. Sci. 2022, 139, 52242. [Google Scholar] [CrossRef]
- Asadi, A.; Hedayat, D.; Ghofrani, S.; Mehrizi, A.A.; Shadalooyi, G.; Kadkhodapour, J.; Anaraki, A.P. Modification of hexachiral unit cell to enhance auxetic stent performance. Mech. Adv. Mater. Struct. 2022, 30, 1470–1484. [Google Scholar] [CrossRef]
- Zhao, G.; Liu, J.; Liu, M.; Tian, Y.; Cheng, J.; Liu, W.; Ni, Z. Influence of parameters on mechanical properties of poly (L-lactic acid) helical stents. J. Biomed. Mater. Res. Part B Appl. Biomater. 2022, 110, 1705–1712. [Google Scholar] [CrossRef] [PubMed]
- Pham, N.Q.; Gonda, T.; Takahashi, T.; Maeda, Y. The influence of bone loss on peri-implant bending strain under overdentures. Int. J. Oral Maxillofac. Implant. 2019, 34, 900–906. [Google Scholar] [CrossRef]
- Huang, Y.; Fan, X.; Chen, S.-C.; Zhao, N. Emerging Technologies of Flexible Pressure Sensors: Materials, Modeling, Devices, and Manufacturing. Adv. Funct. Mater. 2019, 29, 1808509. [Google Scholar] [CrossRef]
- ISO37; Rubber, Vulcanized or Thermoplastic-Determination of Tensile Stress-Strain Properties. International Organization for Standardization: Geneva, Switzerland, 2024.
- GB/T528; Rubber, Vulcanized or Thermoplastic—Determination of Tensile Stress-Strain Properties. AQSIQ: Shenyang, China, 2009.
- Penumakala, P.K.; Santo, J.; Thomas, A. A critical review on the fused deposition modeling of thermoplastic polymer composites. Compos. Part B Eng. 2020, 201, 108336. [Google Scholar] [CrossRef]
- Xiao, H.; Cai, C. A comparative study of the normalization of eigenvectors. Comput. Eng. Appl. 2009, 45, 3. [Google Scholar]
- Feng, H.; Shi, X.; Wang, T.; Wang, K.; Su, J. A comparative study on the deformation behavior and mechanical properties of new lower extremity arterial stents. Comput. Methods Programs Biomed. 2024, 247, 108094. [Google Scholar] [CrossRef] [PubMed]














| D | ||||||||
|---|---|---|---|---|---|---|---|---|
| 70° | 90° | 8 mm | 6 mm | 3 mm | 1.5 mm | 4 mm | 3.2 mm | 2.7 mm |
| Types of Stents | Internal Hexagonal Stent | Arrow Stent | Quadrilateral Stent | Hexagonal Stent |
|---|---|---|---|---|
| Length of stent (mm) | 50.4 | 50.8 | 51.7 | 47.8 |
| Property | Test Method | Typical Value |
|---|---|---|
| 100% modulus (X-Y) | ISO37 [53], GB/T528 [54] | |
| Tensile strength (X-Y) | ISO37, GB/T528 | |
| Elongation at break (X-Y) | ISO37, GB/T528 |
| Edge Width (mm) | 1.0 | 1.2 | 1.4 | 1.6 | |
|---|---|---|---|---|---|
| Maximum Equivalent Stress (MPa) | |||||
| Internal hexagonal stent | 0.105 | 0.116 | 0.126 | 0.135 | |
| Quadrilateral stent | 0.138 | 0.159 | 0.179 | 0.209 | |
| Arrowhead stent | 0.190 | 0.222 | 0.305 | 0.341 | |
| Hexagonal stent | 0.250 | 0.312 | 0.325 | 0.411 | |
| Edge Width (mm) | 1.0 | 1.2 | 1.4 | 1.6 | |
|---|---|---|---|---|---|
| Maximum Equivalent Stress (MPa) | |||||
| Internal hexagonal stent | 0.267 | 0.307 | 0.311 | 0.327 | |
| Quadrilateral stent | 0.214 | 0.248 | 0.282 | 0.293 | |
| Arrowhead stent | 0.266 | 0.278 | 0.332 | 0.343 | |
| Hexagonal stent | 0.125 | 0.148 | 0.173 | 0.224 | |
| Wall Thickness (mm) | 1.0 | 1.1 | 1.2 | 1.3 | |
|---|---|---|---|---|---|
| Maximum Equivalent Stress (MPa) | |||||
| Hexagonal stent | 0.303 | 0.310 | 0.312 | 0.317 | |
| Quadrilateral stent | 0.152 | 0.155 | 0.159 | 0.160 | |
| Arrowhead stent | 0.227 | 0.249 | 0.222 | 0.244 | |
| Internal hexagonal stent | 0.114 | 0.118 | 0.116 | 0.120 | |
| Wall Thickness (mm) | 1.0 | 1.1 | 1.2 | 1.3 | |
|---|---|---|---|---|---|
| Maximum Equivalent Stress (MPa) | |||||
| Hexagonal stent | 0.124 | 0.131 | 0.148 | 0.149 | |
| Quadrilateral stent | 0.216 | 0.231 | 0.248 | 0.263 | |
| Arrowhead stent | 0.238 | 0.258 | 0.278 | 0.293 | |
| Internal hexagonal stent | 0.219 | 0.277 | 0.307 | 0.313 | |
| Print Layer Thickness (mm) | Print Speed (mm/s) | Printing Temperature (°C) | Filling Percentage (%) | Build Platform Temperature (°C) |
|---|---|---|---|---|
| 0.1 | 60 | 220 | 100 | 60 |
| Edge Width (mm) | 1.0 | 1.2 | 1.4 | 1.6 | |
|---|---|---|---|---|---|
| Concentration Force (N) | |||||
| Hexagonal stent | 0.216 | 0.382 | 0.843 | 1.176 | |
| Quadrilateral stent | 0.148 | 0.333 | 0.470 | 0.617 | |
| Arrowhead stent | 0.794 | 1.470 | 2.127 | 3.107 | |
| Internal hexagonal stent | 0.147 | 0.323 | 0.549 | 0.735 | |
| Edge Width (mm) | 1.0 | 1.2 | 1.4 | 1.6 | |
|---|---|---|---|---|---|
| Concentration Force (N) | |||||
| Hexagonal stent | 0.294 | 0.361 | 0.451 | 0.725 | |
| Quadrilateral stent | 0.225 | 0.706 | 1.058 | 1.107 | |
| Arrowhead stent | 0.755 | 1.049 | 1.421 | 1.970 | |
| Internal hexagonal stent | 0.813 | 1.050 | 1.196 | 1.539 | |
| Wall Thickness (mm) | 1.0 | 1.1 | 1.2 | 1.3 | |
|---|---|---|---|---|---|
| Concentration Force (N) | |||||
| Hexagonal stent | 0.480 | 0.539 | 0.617 | 0.735 | |
| Quadrilateral stent | 0.186 | 0.235 | 0.294 | 0.441 | |
| Arrowhead stent | 0.421 | 0.490 | 0.931 | 1.098 | |
| Internal hexagonal stent | 0.225 | 0.255 | 0.343 | 0.441 | |
| Wall Thickness (mm) | 1.0 | 1.1 | 1.2 | 1.3 | |
|---|---|---|---|---|---|
| Concentration Force (N) | |||||
| Hexagonal stent | 0.225 | 0.343 | 0.500 | 0.627 | |
| Quadrilateral stent | 0.304 | 0.394 | 0.559 | 0.843 | |
| Arrowhead stent | 0.382 | 0.588 | 0.921 | 1.098 | |
| Internal hexagonal stent | 0.461 | 0.500 | 0.892 | 0.911 | |
| Edge Width (mm) | 1.0 | 1.2 | 1.4 | 1.6 | |
|---|---|---|---|---|---|
| Supporting Force (N) | |||||
| Hexagonal stent | 1.25 | 2.89 | 4.20 | 5.22 | |
| Quadrilateral stent | 2.56 | 4.51 | 5.51 | 8.12 | |
| Arrowhead stent | 8.40 | 9.60 | 11.17 | 12.75 | |
| Internal hexagonal stent | 4.32 | 8.20 | 9.32 | 10.81 | |
| Wall Thickness (mm) | 1.0 | 1.1 | 1.2 | 1.3 | |
|---|---|---|---|---|---|
| Supporting Force (N) | |||||
| Hexagonal stent | 0.48 | 1.35 | 2.89 | 3.85 | |
| Quadrilateral stent | 1.55 | 2.35 | 4.51 | 6.38 | |
| Arrowhead stent | 5.77 | 7.85 | 9.60 | 11.33 | |
| Internal hexagonal stent | 4.97 | 5.60 | 8.20 | 9.91 | |
Disclaimer/Publisher’s Note: The statements, opinions and data contained in all publications are solely those of the individual author(s) and contributor(s) and not of MDPI and/or the editor(s). MDPI and/or the editor(s) disclaim responsibility for any injury to people or property resulting from any ideas, methods, instructions or products referred to in the content. |
© 2024 by the authors. Licensee MDPI, Basel, Switzerland. This article is an open access article distributed under the terms and conditions of the Creative Commons Attribution (CC BY) license (https://creativecommons.org/licenses/by/4.0/).
Share and Cite
Zhai, Y.; Sun, Z.; Zhang, T.; Zhou, C.; Kong, X. Mechanical Property of Thermoplastic Polyurethane Vascular Stents Fabricated by Fused Filament Fabrication. Micromachines 2024, 15, 1266. https://doi.org/10.3390/mi15101266
Zhai Y, Sun Z, Zhang T, Zhou C, Kong X. Mechanical Property of Thermoplastic Polyurethane Vascular Stents Fabricated by Fused Filament Fabrication. Micromachines. 2024; 15(10):1266. https://doi.org/10.3390/mi15101266
Chicago/Turabian StyleZhai, Yun, Zezhi Sun, Tie Zhang, Changchun Zhou, and Xiangpeng Kong. 2024. "Mechanical Property of Thermoplastic Polyurethane Vascular Stents Fabricated by Fused Filament Fabrication" Micromachines 15, no. 10: 1266. https://doi.org/10.3390/mi15101266
APA StyleZhai, Y., Sun, Z., Zhang, T., Zhou, C., & Kong, X. (2024). Mechanical Property of Thermoplastic Polyurethane Vascular Stents Fabricated by Fused Filament Fabrication. Micromachines, 15(10), 1266. https://doi.org/10.3390/mi15101266

