Next Article in Journal
Residual Vibration Suppression of Piezoelectric Inkjet Printing Based on Particle Swarm Optimization Algorithm
Next Article in Special Issue
Thermal Bending Simulation and Experimental Study of 3D Ultra-Thin Glass Components for Smartwatches
Previous Article in Journal
Research Progress and Current Status of Gas–Solid Two-Phase Flow Technology in the Direction of Laser Cladding
Previous Article in Special Issue
Influence of Anode Immersion Speed on Current and Power in Plasma Electrolytic Polishing
 
 
Font Type:
Arial Georgia Verdana
Font Size:
Aa Aa Aa
Line Spacing:
Column Width:
Background:
Article

Precision Electrochemical Micro-Machining of Molybdenum in Neutral Salt Solution Based on Electrochemical Analysis

School of Mechanical and Power Engineering, Nanjing Tech University, Nanjing 211816, China
*
Author to whom correspondence should be addressed.
Micromachines 2024, 15(10), 1191; https://doi.org/10.3390/mi15101191
Submission received: 2 September 2024 / Revised: 20 September 2024 / Accepted: 21 September 2024 / Published: 26 September 2024

Abstract

Molybdenum is an important material in modern industry, widely used in extreme environments such as rocket engine nozzles and microelectrodes due to its high melting point, excellent mechanical properties, and thermal conductivity. However, as a difficult-to-machine metal, traditional machining methods struggle to achieve the desired microstructures in molybdenum. Electrochemical machining (ECM) offers unique advantages in manufacturing fine structures from hard-to-machine metals. Studies have shown that molybdenum exhibits a fast corrosion rate in alkaline or acidic solutions, posing significant environmental pressure. Therefore, this study investigates the electrochemical machining of molybdenum in neutral salt solutions to achieve high-precision microstructure fabrication. First, the polarization curves and electrochemical impedance spectroscopy (EIS) of molybdenum in NaNO3 solutions of varying concentrations were measured to determine its electrochemical reaction characteristics. The results demonstrate that molybdenum exhibits good electrochemical reactivity in NaNO3 solutions, leading to favorable surface erosion morphology. Subsequently, a mask electrochemical machining technique was employed to fabricate arrayed microstructures on the molybdenum surface. To minimize interference between factors, an orthogonal experiment was used to optimize the parameter combination, determining the optimal machining process parameters. Under these optimal conditions, an array of micro-groove structures was successfully fabricated with an average groove width of 110 μm, a depth-to-width ratio of 0.21, an aspect ratio of 9000, and a groove width error of less than 5 μm.

1. Introduction

Molybdenum is an important industrial material [1] that is often used as an alloying element in metallurgical engineering to improve the mechanical properties and corrosion resistance of alloys [2]. It is also considered a strategic material due to its high melting point, ability to maintain high strength, low expansion coefficient [3], and good electrical and thermal conductivity under extreme conditions. It is widely used in various extreme conditions, such as microelectrodes, emitter tips, heating elements, and rocket engine nozzles [4]. However, its excellent physical and mechanical properties make it difficult for molybdenum to be machined by traditional metal cutting and obtain fine structures with ideal precision. Compared with metal cutting, electrochemical machining technology has outstanding merits as it has no physical and mechanical properties, no physical contact, no residual stress after processing, and no recast layer, with excellent application prospects in the manufacture of molybdenum [5,6,7].
In electrochemical machining, the dissolution characteristics of the material in the electrolyte directly determine the machining parameters and final machining accuracy. Electrochemical corrosion experiments have been conducted to understand the corrosion and dissolution characteristics of molybdenum in different types and concentrations of solutions. Badawy studied the electrochemical corrosion of molybdenum in alkaline solution [8], finding that the dissolution rate increased with the concentration of the solution. Misirlioglu studied the corrosion behavior of molybdenum in acidic solutions [9], while Scheider examined the dissolution behavior of molybdenum in both acidic (pH = 1) and alkaline (pH = 12) sodium nitrate solutions, confirming the existence of anodic oxygen evolution [10]. Most previous studies have been carried out in alkaline and acidic solutions, but such solutions lead to significant environmental concerns in application. As a more environmentally friendly solution, a neutral electrolyte is the main choice for electrochemical machining. However, there are few studies on the corrosion behavior of molybdenum in neutral solution.
In previous studies, Badawi and Al-Kharafi found that the surface of molybdenum in solution was always covered by a layer of passivation film, which was less stable in alkaline solution, in which soluble substances appeared (HMoO4 and MoO42−) [11]. This is because hydroxyl ions (OH) play a major role in dissolving the passivation film on the surface of molybdenum. Therefore, in theory, molybdenum and its passivation film can also be dissolved in a neutral solution, as the pulse voltage will produce enough OH in a neutral solution during electrochemical processing [12,13]. Thus, the generated OH ions can dissolve the passivation film on the surface of molybdenum in a neutral solution.
Measuring polarization curves and electrochemical impedance spectroscopy (EIS) are common and reliable research methods used to understand the dissolution characteristics of metals in different solutions. Hu studied the effect of chloride ion concentration on the electrochemical corrosion behavior of molybdenum alloy by means of polarization curves and scanning electron microscopy (SEM). With the increase in concentration, the corrosion rate first increased and then decreased [14]. Hu then analyzed and discussed the Cl corrosion behavior of pure zirconium at different concentrations by electrochemical testing and numerical fitting [15]. Gao proved the feasibility of tungsten processing in a neutral solution by measuring polarization curves, among other research methods [16].
To study the electrochemical corrosion characteristics of molybdenum in neutral solution, in this work, the potential polarization curves and AC impedance spectra of molybdenum in various neutral solutions using an electrochemical workstation. The electrochemical behavior of different concentrations of neutral solution was analyzed. Electrochemical test results showed that molybdenum in alkaline solution was indeed more susceptible to corrosion. However, molybdenum also showed a notable corrosion tendency in neutral solution. Especially in NaNO3 solution, molybdenum not only demonstrated good electrolytic reaction efficiency but also good corrosion morphology. Subsequently, electrochemical micro-machining experiments of molybdenum with a micro-groove structure were carried out in different concentrations of NaNO3 solution. The optimal parameter combination of concentration, processing voltage, and processing time was obtained by orthogonal experiments. High-precision machining of the micro-grooves array was realized under these optimized parameters.

2. Potential Polarization Curve Measurement Experiment

2.1. Preparation of Pure Molybdenum Electrochemical Sample

To ensure the accuracy of the experiment, a cubic molybdenum block with dimensions of 10 mm × 10 mm × 10 mm was polished stepwise with 600-, 800-, 1200-, 2000-, and 3000-mesh sandpaper before the experiment and then polished by a polishing machine. This polishing was performed to remove the oxide layer and scratches on the surface, followed by cleaning with deionized water and acetone. The test device used a traditional three-electrode system, with platinum as the auxiliary electrode, a saturated calomel electrode (SCE) as the reference electrode, and the test sample as the working electrode. The test conditions are shown in Table 1 and Table 2. The open circuit potential, EIS, and polarization curves of molybdenum in these solutions were measured using the CHI660e electrochemical workstation. After the test, the polarization curves of molybdenum in different solutions were drawn.
Figure 1 shows the polarization curves of the molybdenum sample in three different solutions. It was obvious that whether in an alkaline solution or in a neutral solution, after reaching a certain potential, the polarization curves reached a constant level and were at the same level of height. However, the electrolytic reaction characteristics of molybdenum in alkaline solution and neutral solution were also significantly different. The active potential of molybdenum in the alkaline solution was lower than that in the neutral solution, and there was an obvious passivation region in the neutral solution. The main reason for the above phenomenon was the OH ion of the solution. According to Equation (1), molybdenum oxide can be dissolved by reacting with OH [11]. Therefore, molybdenum in alkaline solution showed stronger electrolytic reactivity, and there was no passivation region. In contrast, in the neutral solution, the amount of OH was very small, the oxide film was difficult to dissolve naturally, the reaction resistance was large, and the electrolysis reaction rate was slow. However, as the test progressed, under the action of the electric field, the concentration of OH ions in the solution increased, the dissolution of the oxide film accelerated, the current density gradually increased, and the electrolysis reaction rate also accelerated simultaneously. In addition, molybdenum exhibited an obvious passivation region in the NaNO3 solution. Molybdenum typically forms a stable passive layer in neutral regions. With the involvement of nitrate ions, this passive layer may be further reinforced through oxidation reactions, leading to a distinct passivation zone. As the potential increased, the passivation film dissolved or peeled off, and the dissolution rate of the anode metal began to increase. Through the polarization curves of molybdenum in three different solutions, it was found that molybdenum can undergo an electrolytic reaction in a neutral solution. In particular, there was an obvious passivation phenomenon in the NaNO3 solution, which is beneficial to improving the localization accuracy of electrochemical machining. Therefore, the passivation characteristics of molybdenum in NaNO3 solution were further studied, and the polarization curves of molybdenum in different concentrations of NaNO3 solution were measured.
M o O 3 + 2 O H H M o O 4 + H 2 O + e
Figure 2 shows the polarization curves of molybdenum in different concentrations of NaNO3 solution. The corrosion potential at a 5% concentration is significantly higher than that at other concentrations. The corrosion potentials at other concentrations are relatively close, indicating that corrosion is more likely to occur in 10–25% NaNO3 solutions. The passivation region of molybdenum became smaller with the increase of NaNO3 concentration, and there were some differences in the corrosion rate of the polarization curves. However, there were no obvious differences in electrolysis reaction characteristics in different concentrations of NaNO3 solution, and these reactions eventually reached a constant rate. In the range of 5~20% NaNO3 solution concentration, the electrolytic reaction rate of molybdenum gradually increased with the increase of solution concentration, especially for concentrations of 10% and 20%, showing strong electrolytic reaction characteristics. However, when the concentration of NaNO3 solution increased to 25%, the electrolysis reaction rate decreased. With the increase of NaNO3 solution concentration, the electrolysis reaction rate of molybdenum first increased and then decreased. This was due to the increase in the concentration of the solution and the active ions therein, which enhanced conductivity and turned the surface film into a porous passivation film. When the surface protection of the porous passivation film was reduced, the metal became in direct contact with the corrosive medium, and the corrosion rate was accelerated. However, after reaching the critical concentration, the porous passivation film tended to stabilize, and the corrosion rate decreased. This result is consistent with the EIS measurements described in the following section. In terms of the R2 value of the oxide film fitted by the AC impedance spectrum, the values of the oxide film in the 10% and 20% NaNO3 solutions were lower, and those in other solution concentrations were higher. Therefore, the corrosion resistance of the passive film of molybdenum was poor in the 10% and 20% solutions. In short, differences in the concentration of the NaNO3 solution led to differences in the passivation film, which in turn affected the electrolysis reaction characteristics of molybdenum in different concentrations of solution. Among them, the electrolysis reaction characteristics of molybdenum were stronger in the 10% and 20% NaNO3 solutions.

2.2. Corrosion Surface Microstructure of Molybdenum

The polarization curves showed that molybdenum can be electrolytically reacted in NaNO3 solution. However, for electrochemical micro-machining, the surface morphology of the anode is also a significant indicator while ensuring a certain electrolysis reaction rate. Therefore, the surface morphology of molybdenum was observed via SEM after the polarization curve tests. Figure 3 presents SEM images of the molybdenum electrolytic surface after electrolysis in different concentrations of NaNO3 solution, with different corrosion morphologies observed for different NaNO3 concentrations. In the 5% NaNO3 solution, the metal surface exhibited an uneven appearance, there was a tendency for corrosion, irregular corrosion cracks appeared, the degree of corrosion was still relatively shallow, and the electrolytic reaction rate was slow. In 10% NaNO3 solution, after the metal was electrolyzed, the surface was divided into reticular cracks, which were corroded downward along the cracks to form a corrosion groove, and the metal surface was divided into multiple areas. In the 15% NaNO3 solution, the metal surface also showed reticular cracks after electrolysis, and the cracks were small, similar to those in the 10% NaNO3 solution. However, in the 20% NaNO3 solution, after the metal surface was electrolyzed, the same network cracks appeared as in the previous 10% solution. However, compared with the surface after electrolysis in 10% NaNO3 solution, the surface cracks in 20% NaNO3 solution were more obvious, and their depth and width were larger, indicating that the reaction in 20% NaNO3 solution was more intense. However, in 25% NaNO3 solution, the surface of molybdenum was relatively flat after electrolysis, and the degree of electrolytic reaction was decreased. The SEM imaging showed that no matter which concentration of neutral solution was used, metastable pitting could occur on the metal surface. Therefore, ions could reach the metal surface through the passivation film, leading to pitting, the degree of which depended on the concentration of NaNO3 solution used. The electrolysis reaction characteristics of the surface morphology reaction after molybdenum electrolysis were consistent with the polarization curve test results. As the concentration of NaNO3 solution increased, the electrolysis reaction rate of molybdenum first increased and then decreased. Among them, in 10% NaNO3 solution, molybdenum not only maintained a better electrolysis reaction rate, but an ideal surface morphology was obtained as well.

2.3. EIS of Pure Molybdenum

Electrochemical impedance spectroscopy (EIS) experiments were conducted to analyze the electrolytic reaction mechanism of molybdenum in different concentrations of NaNO3 solution further. EIS can effectively characterize the characteristics of the electrochemical system [17] and analyze the effects of electrode kinetics and anode passivation film on the electrolytic reaction [18]. According to the Nyquist diagram, the interface characteristics between the oxide film and the negative electrode of the anode material can be analyzed. When a semi-circular structure is present in the high-frequency region, it indicates the capacitance response of the oxide film. The diameter of the semicircle in the high-frequency region is related to the oxide film, where the oxide film resistance on the surface of the sample increases with the increase of the diameter of the semicircle in the high-frequency region [19]. To understand the effect of the anodic oxide film on corrosion resistance in different solutions, EIS curves of molybdenum in NaCl solutions, NaOH solution, and NaNO3 solution were obtained, and changes in electrochemical characteristics were analyzed.
Figure 4 shows the EIS results of pure molybdenum in three different solutions in the form of Nyquist plots. Three kinds of solutions showed an incomplete semicircle, representing the capacitive response of the surface oxide film. It can be seen that the radius in the 10% NaCl solution was the largest, indicating the highest oxide film resistance. The radius in 10% NaOH solution was the smallest, indicating the lowest oxide film resistance. Therefore, the corrosion resistance of molybdenum in 10% NaNO3 solution was the lowest, best facilitating the electrolytic reaction. These results are similar to the electrochemical corrosion characteristics of the polarization curves of molybdenum in three different solutions measured in Figure 1. Pure molybdenum showed a certain tendency for electrolytic reaction in a neutral solution. In 10% NaNO3 solution, the corrosion resistance of pure molybdenum was weakest, and it was easiest to carry out electrolytic processing. Subsequently, EIS tests of molybdenum in different concentrations of NaNO3 solution were carried out.

2.3.1. EIS in NaNO3 Solutions with Different Concentrations

Figure 5 shows the electrochemical impedance spectroscopy of different concentrations of NaNO3 solution. All NaNO3 solutions with different concentrations exhibited incomplete semicircles, indicating a capacitive response. With the increase in concentration, the radius of the arc in the high-frequency region decreased; that is, the corrosion rate of molybdenum in the high-concentration NaNO3 solution increased, and the corrosion resistance decreased. However, a diffusion tail appeared in the low-frequency range of all NaNO3 solutions, which was due to the diffusion phenomenon caused by the corrosive medium passing through the film, indicating that the oxide film formed in NaNO3 solution had poor protection and was easily electrochemically processed.
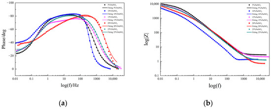
Figure 6 presents a Bode diagram of a molybdenum sample in different concentrations of NaNO3 solution. In Bode diagrams, the maximum phase angle is often used to reflect the corrosion resistance of the material in the solution. Typically, the maximum phase angle refers to the maximum phase difference between the current and the potential at a low frequency. The larger the maximum phase angle, the weaker the electrochemical activity and the stronger the corrosion resistance [20]. As seen in Figure 6a, the highest phase angle in the 10–20% NaNO3 solutions was lower at low frequencies, which indicates that the corrosion resistance of molybdenum was poor in these solutions. As seen in the Bode diagram in Figure 6b, the impedance modulus |Z| of pure molybdenum showed a downward trend with the increase of frequency in different concentrations of NaNO3 solution. In the Bode diagram of impedance, the larger the impedance amplitude, the stronger the corrosion resistance [21,22]. As seen in Figure 6, the impedance amplitude was lowest in the 10% NaNO3 solution, which indicated that the corrosion resistance of molybdenum was weakest, making it easier to carry out electrolytic processing.

2.3.2. Fitting of EIS Values

This is shown in the Nyquist diagram in Figure 5, where the molybdenum exhibited an incomplete semicircle in different concentrations of NaNO3 solution, indicating that there were multiple time constants. The Bode diagram in Figure 6 also showed that there were multiple peak phase angles in the intermediate-frequency region, which indicated that there were multiple time constants [23,24]. Some ions are chemically inert. These ions do not participate in chemical reactions and only change the charge distribution. They are often expressed using an electric double layer. Therefore, CPE is used to replace the ideal capacitance when non-ideal capacitance occurs [25]. CPE is defined as follows:
Z C P E = [ Q ( i ω ) n ] 1
where Q is a constant, ω is the angular frequency, i is the imaginary number, and n is the index of CPE, which is the standard to measure the roughness of the surface. The closer n is to 1, the smoother the surface is [26]. The CPE index is an empirical quantity commonly used to describe various physical phenomena, such as non-ideal capacitance behavior caused by surface inhomogeneity. Therefore, based on this information, an equivalent circuit model of series-parallel multiple time constants is used to model the impedance response of molybdenum in NaNO3 solution with different concentrations, as shown in Figure 7. In this model, Rs is the resistance of the electrolyte, R2 is the resistance of the oxide film, CPE2 is the capacitance of the oxide film, Rct is the charge transfer resistance of the corrosion process, CPE1 is a double-layer capacitor, and Wo is the Warburg impedance, which is responsible for the diffusion process of the corrosive medium on the metal oxide film [27]. The circuit diagram shown in Figure 7 is used to model the impedance response of molybdenum in NaNO3 solution with different concentrations [28].
The fitting results are shown in Table 3. With the increase in concentration, the corrosion resistance of the oxide film of pure molybdenum in NaNO3 solution changed. The fitted value of R2 was lowest in 10% NaNO3 solution, which indicated that the corrosion resistance of the oxide film was poor and the structure of the oxide film was loose. Rct represents the transfer charge resistance, which is an important parameter in the electrochemical reaction process. Rct reflects the kinetics of charge transfer during corrosion, which is inversely proportional to the corrosion rate. As seen in Table 3, with the increase of NaNO3 solution concentration, the value of Rct shows a trend of decreasing first, then increasing, and finally decreasing. The corrosion rate in 10% and 20% NaNO3 solutions was obviously faster than that in other solutions, and the corrosion resistance of metal molybdenum was worse. These results are consistent with the previous polarization curve measurement results, where it is easier to perform electrochemical micro-machining in NaNO3 solution with a concentration of 10% to 20%.

3. Electrochemical Micro-Machining Experiment of Molybdenum Micro-Groove Array Structure

Based on the previous polarization curve measurements, SEM image observation, and EIS testing of molybdenum in different concentrations of NaNO3 solution, our results showed that molybdenum can be electrochemically processed in NaNO3 solution. The electrolytic processability of pure molybdenum in NaNO3 solution was then studied experimentally. Mask electrochemical micro-machining was used in this experiment, whose basic processing principle is shown in Figure 8. The anode processing area is limited by an insulating mask, and the mask structure is photolithographed to the metal surface. A clamp is used to ensure the close coordination of the anode workpiece and the cathode, and a certain gap is maintained to ensure that the electrolyte can pass through. After energization, the surface of the workpiece is etched, and circulation of the electrolyte removes the electrolytic product to prevent its aggregation [29,30,31,32]. In the experiment, pure molybdenum sheets with a length of 30 mm, width of 10 mm, and thickness of 1 mm were selected, and different concentrations of NaNO3 solution were used as the electrolyte. A mask plate with a micro-groove width of 50 μm was prepared by lithography.
Based on the previously mentioned polarization curves and EIS tests, it was found that different concentrations of NaNO3 solution had a certain effect on the electrolysis reaction of pure molybdenum. At the same time, In the preliminary experiments, it was found that different voltages lead to variations in micro-groove width, while the length of processing time affects the depth of the micro-grooves. Therefore, the main parameters in mask electrochemical micro-machining include processing voltage and processing time. Due to the mutual influence between various factors, the accuracy of single-factor experimental processing results is not enough. Therefore, an orthogonal experiment was used to optimize the processing parameters. Five variables were selected as the horizons of the orthogonal experiment for each processing parameter, and an orthogonal experiment of three factors and five horizons was designed [33,34,35,36]. The specific values of each factor and horizon are shown in Table 4.
The basic structure of the array of micro-grooves processed in the experiment is shown in Figure 9. According to the machining accuracy requirements, the micro-groove depth-width ratio Dr and the micro-groove width error were used as the assessment indicators of the orthogonal test. The combination of all factors and levels of the orthogonal test are shown in Table 5. At the end of the experiment, a 3D profilometer (Keyence VR5000, Keyence, Japan) was used to measure the depth-width ratio and width error of micro-grooves, and then the measured orthogonal experimental data were analyzed.
The average value of the test indexes of different processing factors at the same horizon is represented by Ki (i represents the horizon), and the range value under each factor is calculated. The larger the range, the greater the influence of the factor on the assessment index, and the more important the factor is to the assessment index. The workpiece after the experiment was measured with a 3D profilometer (Keyence VR5000). Due to the large number of workpieces, it cannot be shown one by one. Take the measurement results of the 20th group of experimental workpieces as an example. As shown in Figure 10, the groove width and groove depth at different positions of the micro-grooves array were measured, and the micro-grooves depth-width ratio Dr and micro-groove width error were calculated.
Table 6 presents the orthogonal analysis results with the depth-width ratio Dr as the evaluation index. The micro-groove structure was characterized by a semi-circular shape, so the larger the depth-width ratio, the better the parameters. From the range of the horizontal average of the depth-width ratio Dr in Table 6 under various factors, the key order of each factor of the index was electrolyte concentration > processing time > voltage. In other words, the effect of electrolyte concentration on the depth-width ratio of the microgroove structure was the strongest among all factors. According to the test indexes at each level, the optimal combination was an electrolyte concentration of 15%, a processing time of 60 s, and a voltage of 15 V (B3C5A2).
Table 7 shows the orthogonal analysis results with the groove width error as the evaluation index. The array micro-grooves were processed by EMM, so the smaller the groove width error, the better. From the range of the horizontal average value of the groove width error in Table 7 under various factors, the key order of this index was voltage > processing time > electrolyte concentration. In other words, voltage had the largest influence on groove width error. According to the test indexes at each level, the optimal combination was a voltage of 10 V, a processing time of 60 S, and an electrolyte concentration of 10% (A1C5B2).
The above optimization results used depth-width ratio and groove width error as indicators, so it is not difficult to find that the optimal combination under different test assessment indicators was not the same, which required further analysis. Based on the previous optimization results, using the depth-width ratio and groove width error as key indicators, it was determined that a processing time of 60 s was the optimal processing time, so processing time was no longer analyzed as an influencing factor. The optimization results on the micro-groove depth-width ratio Dr and groove width error were not the same. In Figure 11, Figure 11a is a comparison of micro-groove error of molybdenum processed with different concentrations of NaNO3 solution under the same voltage; Figure 11b is a comparison of microgroove depth-width ratio of molybdenum processed with different voltages under the same concentration of NaNO3 solution. As seen in Figure 11a, at an electrolyte concentration of 10% (B2), the groove width error at each voltage was more clustered than that under other electrolyte concentrations. Therefore, the processing at this concentration was more stable, and the groove width error fluctuated the least. Therefore, an electrolyte concentration of 10% (B2) was selected as the optimal result. As seen in Figure 11b, the depth-width ratio Dr was less affected by voltage at electrolyte concentrations of 5% (B1) and 10% (B2). However, the depth-width ratio Dr was significantly higher at an electrolyte concentration of 10% (B2) than at 5% (B1). In summary, 10% NaNO3 (B2) was selected as the optimal result for electrolyte concentration.
For the processing voltage, Figure 11a shows that when the processing voltage was 10 V (A1), the fluctuation of the groove width error was the smallest. However, the distribution of the depth-width ratio Dr had no obvious regularity, and the processing voltage could not be directly optimized. Therefore, on the basis of the existing optimization results, processing experiments of two sets of parameter combinations—a voltage of 10 V, an electrolyte concentration of 10%, and a processing time of 60 s; and a voltage of 15 V, an electrolyte concentration of 10%, and a processing time of 60 s were carried out, so as to further analyze and optimize the processing voltage.
Through the previous optimization scheme, the optimal combination of electrolyte concentration and processing time was determined. Therefore, electrochemical micro-machining experiments on molybdenum were conducted at processing voltages of 10 V and 15 V while maintaining the same electrolyte concentration and processing time, with the results shown in Figure 12. By measuring these two sets of micro-grooves, it was found that when the processing voltage was 10 V, the groove width error was 5 μm, and the depth-width ratio was 0.21. When the processing voltage was 15 V, the groove width error increased to 18 μm, while the depth-width ratio was 0.20. The results indicated that the depth-width ratio did not vary significantly under different voltages, but the micro-groove width error was smaller at a processing voltage of 10 V. When comparing the surface morphology, as seen in Figure 12a,b, under a processing voltage of 10 V, the micro-groove boundaries were clearer and sharper, and the micro-groove depth was more uniform. These results demonstrated that when the processing voltage was 10 V, the processing stability was better, and the processing accuracy was higher. Therefore, the optimal parameter combination for array micro-grooves in electrochemical machining was a processing voltage of 10 V, an electrolyte concentration of 10%, and a processing time of 60 s (A1B2C5). Under these parameters, the array micro-grooves were successfully processed, exhibiting a depth-width ratio of 0.21, a width error of less than 5 μm, a length-width ratio of 9000, and relatively flat surfaces with high machining accuracy. Thus, precision electrochemical machining of molybdenum surface micro-structures can be achieved using NaNO3 solution.

4. Conclusions

Molybdenum is an important industrial metal material that is widely used in various fields. Neutral salt solutions have good application prospects for realizing the precision machining of fine-structure molybdenum. In this paper, the electrolysis reaction characteristics of molybdenum in different electrolyte solutions were analyzed by means of polarization curves and EIS. It was confirmed that molybdenum can be electrolyzed in NaNO3 solution. Subsequently, an orthogonal experiment of EMM was carried out, and a micron-scale micro-groove array structure was processed on the molybdenum surface. By measuring and analyzing the processing results, the optimal combination of electrolytic processing parameters was determined. This research is expected to further explore the deposition of free shapes of molybdenum metal and facilitate practical device applications in industries such as semiconductors and aerospace. The specific research conclusions are as follows:
  • The polarization curves of molybdenum in different concentrations of NaNO3 solution show passivation characteristics that are not found in alkaline solution. NaNO3 solution was found to readily cause a dense oxide film to form on the surface of molybdenum. At the same time, with the increase in concentration, the dissolution rate of passivation film first increases and then decreases. Thus, molybdenum can be electrolytically reacted in a certain concentration of NaNO3 solution with good localization accuracy.
  • By analyzing the EIS of molybdenum in different concentrations of NaNO3 solution and its surface morphology after electrochemical testing, it was found that the impedance of the molybdenum surface oxide film changed with the increase of NaNO3 solution concentration. In 5–10% NaNO3 solution, the impedance of the oxide film on the surface of molybdenum decreased with the increase of concentration, the electrolysis reaction characteristics were enhanced, and the electrolysis reaction rate increased. However, after increasing to a certain concentration, the resistance of the oxide film on the surface of molybdenum increased, and the electrolysis reaction rate decreased. After comprehensive analysis, it was found that the electrolysis reaction rate of molybdenum in 10–20% NaNO3 solution was faster, and the surface morphology after electrolysis was better.
  • EMM processed a micro-groove structure on the surface of the molybdenum. Design an orthogonal experiment, and the optimal parameter combination was determined by using microgroove depth-width ratio and micro-groove error as indicators. During the optimization process, it was found that the depth of the micro-groove increased with the increase of processing time. In 10% NaNO3 solution, it was found that the fluctuation of groove-width error was the smallest, and the depth-width ratio of the microgrooves was the largest. When the processing time and electrolyte concentration were held constant, the processing effect at a voltage of 10 V was highest. Therefore, according to the orthogonal test, the optimal parameters were obtained, comprising a NaNO3 solution concentration of 10%, a voltage of 10 V, and a processing time of 60 s. Under these parameters, the depth-width ratio of the array microgrooves was 0.21; the microgroove width error was less than 5 μm and a length–width ratio of 9000. The experimental results showed that the precise electrochemical micro-machining of molybdenum surface micro-structures can be achieved by using a NaNO3 neutral salt solution.

Author Contributions

G.W.: design the research scheme, writing, review, and methodology. Y.W.: experimental operation, data processing. M.Y.: design circuit model, review. Y.Z.: measure polarization curve, review. All authors have read and agreed to the published version of the manuscript.

Funding

This work was supported by the National Natural Science Foundation of China [grant number 52205472].

Data Availability Statement

The original contributions presented in the study are included in the article, further inquiries can be directed to the corresponding author.

Conflicts of Interest

The authors declare no conflicts of interest. The funders had no role in the design of the study; in the collection, analyses, or interpretation of data; in the writing of the manuscript; or in the decision to publish the results.

References

  1. Lasheen, T.A.; El-Ahmady, M.E.; Hassib, H.B.; Helal, A.S. Molybdenum Metallurgy Review: Hydrometallurgical Routes to Recovery of Molybdenum from Ores and Mineral Raw Materials. Miner. Process. Extr. Met. Rev. 2015, 36, 145–173. [Google Scholar] [CrossRef]
  2. Abbas, Q.; Binder, L. The electrochemical dissolution of molybdenum in non-aqueous media. Int. J. Refract. Met. Hard Mater. 2011, 29, 542–546. [Google Scholar] [CrossRef]
  3. Zhang, D.; Dong, D.; Xiong, N.; Dong, Z.; Ma, Z. Research Progress in Dispersion Strengthened Molybdenum Alloys. Rare Met. Mater. Eng. 2024, 53, 1458–1470. [Google Scholar] [CrossRef]
  4. Hu, J.; Zhang, Y.; Chen, S.; He, S.; Li, N.; Chen, J. Inductively coupled plasma etching of bulk molybdenum. In Proceedings of the IEEE 25th International Conference on Micro Electro Mechanical Systems (MEMS), Paris, France, 29 January–2 February 2012. [Google Scholar] [CrossRef]
  5. Xu, Z.; Wang, Y. Electrochemical machining of complex components of aero-engines: Developments, trends, and technological advances. Chin. J. Aeronaut. 2021, 34, 28–53. [Google Scholar] [CrossRef]
  6. Goud, M.; Sharma, A.K.; Jawalkar, C. A review on material removal mechanism in electrochemical discharge machining (ECDM) and possibilities to enhance the material removal rate. Precis. Eng. 2016, 45, 1–17. [Google Scholar] [CrossRef]
  7. Qu, N.S.; Xu, Z.Y. Improving machining accuracy of electrochemical machining blade by optimization of cathode feeding directions. Int. J. Adv. Manuf. Technol. 2013, 68, 1565–1572. [Google Scholar] [CrossRef]
  8. Badawy, W.; Feky, H.; Helal, N.; Mohammed, H. Cathodic hydrogen evolution on molybdenum in NaOH solutions. Int. J. Hydrogen Energy 2013, 38, 9625–9632. [Google Scholar] [CrossRef]
  9. Misirliogğlu, Z.; Aksüt, A. Corrosion of Molybdenum in Aqueous Media. Corrosion 2002, 58, 899–903. [Google Scholar] [CrossRef]
  10. Schneider, M.; Šimůnková, L.; Michaelis, A.; Hoogsteen, W. Electrochemical machining of molybdenum. Int. J. Refract. Met. Hard Mater. 2021, 101, 105689. [Google Scholar] [CrossRef]
  11. Badawy, W.A.; Al-Kharafi, F.M. Corrosion and passivation behaviors of molybdenum in aqueous solutions of different pH. Electrochim. Acta 1998, 44, 693–702. [Google Scholar] [CrossRef]
  12. Leese, R.J.; Ivanov, A. Electrochemical micromachining: An introduction. Adv. Mech. Eng. 2016, 8. [Google Scholar] [CrossRef]
  13. Leese, R.J.; Ivanov, A. Electrochemical micromachining: Review of factors affecting the process applicability in micro-manufacturing. Proc. Inst. Mech. Eng. Part B 2018, 232, 195–207. [Google Scholar] [CrossRef]
  14. Hu, P.; Song, R.; Li, X.-J.; Deng, J.; Chen, Z.-Y.; Li, Q.-W.; Wang, K.-S.; Cao, W.-C.; Liu, D.-X.; Yu, H.-L. Influence of concentrations of chloride ions on electrochemical corrosion behavior of titanium-zirconium-molybdenum alloy. J. Alloys Compd. 2017, 708, 367–372. [Google Scholar] [CrossRef]
  15. He, W.; Luo, S.; Li, N.; He, L.; Yuan, R.; Xue, Y. Electrochemical corrosion behavior of industrial pure zirconium in high Cl- containing solutions. Int. J. Electrochem. Sci. 2024, 19, 100485. [Google Scholar] [CrossRef]
  16. Gao, C.; Qu, N. A Distinct Perception on Wire Electrochemical Micromachining of Pure Tungsten with Neutral Aqueous Solution. J. Electrochem. Soc. 2019, 166, E465–E472. [Google Scholar] [CrossRef]
  17. Ciucci, F. Modeling electrochemical impedance spectroscopy. Curr. Opin. Electrochem. 2019, 13, 132–139. [Google Scholar] [CrossRef]
  18. Zhang, L.N.; Ojo, O.A. Corrosion behavior of wire arc additive manufactured Inconel 718 superalloy. J. Alloys Compd. 2020, 829, 154455. [Google Scholar] [CrossRef]
  19. Cairang, W.; Li, T.; Xue, D.; Yang, H.; Cheng, P.; Chen, C.; Sun, Y.; Zeng, Y.; Ding, X.; Sun, J. Enhancement of the corrosion resistance of Molybdenum by La2O3 dispersion. Corros. Sci. 2021, 186, 109469. [Google Scholar] [CrossRef]
  20. Liu, M.; Zhu, J.-N.; Popovich, V.A.; Borisov, E.; Mol, J.M.C.; Gonzalez-Garcia, Y. Corrosion and passive film characteristics of 3D-printed NiTi shape memory alloys in artificial saliva. Rare Met. 2023, 42, 3114–3129. [Google Scholar] [CrossRef]
  21. Deng, C.-M.; Xia, D.-H.; Zhang, R.; Behnamian, Y.; Hu, W.; Birbilis, N. On the localized corrosion of AA5083 in a simulated dynamic seawater/air interface—Part 2: Effects of wetting time. Corros. Sci. 2023, 221, 111367. [Google Scholar] [CrossRef]
  22. Zhang, C.; Huang, L.; Li, S.; Li, K.; Lu, S.; Li, J. Improved corrosion resistance of laser melting deposited CoCrFeNi-series high-entropy alloys by Al addition. Corros. Sci. 2023, 225, 111599. [Google Scholar] [CrossRef]
  23. Rodríguez, M.A.; Carranza, R.M. Properties of the Passive Film on Alloy 22 in Chloride Solutions Obtained by Electrochemical Impedance. J. Electrochem. Soc. 2011, 158, C221–C230. [Google Scholar] [CrossRef]
  24. Sun, H.; Wu, X.; Han, E.-H. Effects of temperature on the protective property, structure and composition of the oxide film on Alloy 625. Corros. Sci. 2009, 51, 2565–2572. [Google Scholar] [CrossRef]
  25. Yang, H.J.; Han, D.; Kim, J.; Kim, Y.H.; Bae, J.H. Constant phase element affected by ion transport in nanoporous electrodes. J. Electroanal. Chem. 2022, 922, 116766. [Google Scholar] [CrossRef]
  26. Herraiz-Cardona, I.; Ortega, E.; Antón, J.G.; Pérez-Herranz, V. Assessment of the roughness factor effect and the intrinsic catalytic activity for hydrogen evolution reaction on Ni-based electrodeposits. Int. J. Hydrogen Energy 2011, 36, 9428–9438. [Google Scholar] [CrossRef]
  27. Huang, J. Diffusion impedance of electroactive materials, electrolytic solutions and porous electrodes: Warburg impedance and beyond. Electrochim. Acta 2018, 281, 170–188. [Google Scholar] [CrossRef]
  28. Van Haeverbeke, M.; Stock, M.; De Baets, B. Equivalent Electrical Circuits and Their Use across Electrochemical Impedance Spectroscopy Application Domains. IEEE Access 2022, 10, 51363–51379. [Google Scholar] [CrossRef]
  29. Sun, Y.; Ling, S.; Zhao, D.; Liu, J.; Liu, Z.; Song, J. Through-mask electrochemical micromachining of micro pillar arrays on aluminum. Surf. Coat. Technol. 2020, 401, 126277. [Google Scholar] [CrossRef]
  30. Li, H.S.; Wang, G.Q.; Li, L.W.; Gao, C.P.; Qu, N.S.; Zhu, D. Through-mask electrochemical machining of hole arrays on molybdenum sheets. Int. J. Adv. Manuf. Technol. 2017, 93, 2393–2401. [Google Scholar] [CrossRef]
  31. Baldhoff, T.; Nock, V.; Marshall, A.T. Through-Mask Electrochemical Micromachining of Aluminum in Phosphoric Acid. J. Electrochem. Soc. 2017, 164, E194–E202. [Google Scholar] [CrossRef]
  32. Zhao, H.; Zhang, Y.; Chen, C.; Liu, X.; Wang, G.; Tang, J. Investigation of through-mask electrochemical machining process using a rib-connected photoresist for microcone array with large height-to-diameter ratio. Precis. Eng. 2023, 81, 68–83. [Google Scholar] [CrossRef]
  33. Wu, Z.; Wang, S.; Zhang, Y.; Song, J.; Xue, B. Optimization of Process Parameters for Laser Cutting of AZ31B Magnesium Alloy Based on Orthogonal Experiment and BP Neural Network. Trans. Indian Inst. Met. 2023, 76, 1977–1984. [Google Scholar] [CrossRef]
  34. Xia, S.; Lin, R.; Cui, X.; Shan, J. The application of orthogonal test method in the parameters optimization of PEMFC under steady working condition. Int. J. Hydrogen Energy 2016, 41, 11380–11390. [Google Scholar] [CrossRef]
  35. Liang, Z.; Liao, S.; Wen, Y.; Liu, X. Component parameter optimization of strengthen waterjet grinding slurry with the orthogonal-experiment-design-based ANFIS. Int. J. Adv. Manuf. Technol. 2017, 90, 831–855. [Google Scholar] [CrossRef]
  36. Zhu, H.; Zhang, Z.; Xu, J.; Xu, K.; Ren, Y. An experimental study of micro-machining of hydroxyapatite using an ultrashort picosecond laser. Precis. Eng. 2018, 54, 154–162. [Google Scholar] [CrossRef]
Figure 1. Polarization curves of molybdenum in different solutions.
Figure 1. Polarization curves of molybdenum in different solutions.
Micromachines 15 01191 g001
Figure 2. Polarization curves of molybdenum in different concentrations of NaNO3 solution.
Figure 2. Polarization curves of molybdenum in different concentrations of NaNO3 solution.
Micromachines 15 01191 g002
Figure 3. Scanning electron microscopy images of surface morphology of molybdenum electrolyzed in five different concentrations of NaNO3 solution after polarization curve testing: (a) 5% NaNO3 solution, (b) 10% NaNO3 solution, (c) 15% NaNO3 solution, (d) 20% NaNO3 solution, and (e) 25% NaNO3 solution.
Figure 3. Scanning electron microscopy images of surface morphology of molybdenum electrolyzed in five different concentrations of NaNO3 solution after polarization curve testing: (a) 5% NaNO3 solution, (b) 10% NaNO3 solution, (c) 15% NaNO3 solution, (d) 20% NaNO3 solution, and (e) 25% NaNO3 solution.
Micromachines 15 01191 g003
Figure 4. Nyquist plots of molybdenum in three different solutions.
Figure 4. Nyquist plots of molybdenum in three different solutions.
Micromachines 15 01191 g004
Figure 5. Nyquist plots of molybdenum in different concentrations of NaNO3 solution.
Figure 5. Nyquist plots of molybdenum in different concentrations of NaNO3 solution.
Micromachines 15 01191 g005
Figure 6. Bode diagrams of molybdenum in different concentrations of NaNO3 solution: (a) Bode phase angle diagram; (b) Bode amplitude diagram.
Figure 6. Bode diagrams of molybdenum in different concentrations of NaNO3 solution: (a) Bode phase angle diagram; (b) Bode amplitude diagram.
Micromachines 15 01191 g006
Figure 7. EIS fitting circuit diagram.
Figure 7. EIS fitting circuit diagram.
Micromachines 15 01191 g007
Figure 8. Principle diagram of electrochemical micro-machining (EMM).
Figure 8. Principle diagram of electrochemical micro-machining (EMM).
Micromachines 15 01191 g008
Figure 9. Measurement index diagram of micro-grooves array structure.
Figure 9. Measurement index diagram of micro-grooves array structure.
Micromachines 15 01191 g009
Figure 10. Measurement example of the experimental workpiece.
Figure 10. Measurement example of the experimental workpiece.
Micromachines 15 01191 g010
Figure 11. Optimization of micro-groove processing results: (a) Comparison of micro-groove error of molybdenum processed with different concentrations of NaNO3 solution under the same voltage; (b) Comparison of microgroove depth-width ratio of molybdenum processed with different voltages under the same concentration of NaNO3 solution.
Figure 11. Optimization of micro-groove processing results: (a) Comparison of micro-groove error of molybdenum processed with different concentrations of NaNO3 solution under the same voltage; (b) Comparison of microgroove depth-width ratio of molybdenum processed with different voltages under the same concentration of NaNO3 solution.
Micromachines 15 01191 g011
Figure 12. The 3D morphology of molybdenum surface micro-groove array under different processing parameters: (a) voltage of 10 V, electrolyte concentration of 10%, and processing time of 60 s; (b) voltage of 15 V, electrolyte concentration of 10%, and processing time of 60 s.
Figure 12. The 3D morphology of molybdenum surface micro-groove array under different processing parameters: (a) voltage of 10 V, electrolyte concentration of 10%, and processing time of 60 s; (b) voltage of 15 V, electrolyte concentration of 10%, and processing time of 60 s.
Micromachines 15 01191 g012
Table 1. Electrochemical test conditions and parameters for different solutions.
Table 1. Electrochemical test conditions and parameters for different solutions.
ElectrolyteNaClNaNO3NaOH
Concentration10%10%10%
Work electrodeMolybdenum (10 mm × 10 mm × 10 mm)
Counter electrodePlatinum sheet
Reference electrodeSaturated calomel electrode
Potential range−2 V to 8 V
Scanning rate0.01
Table 2. Electrochemical test conditions and parameters for different concentrations of NaNO3 solution.
Table 2. Electrochemical test conditions and parameters for different concentrations of NaNO3 solution.
ElectrolyteNaNO3
Concentration5%, 10%, 15%, 20%, 25%
Work electrodeMolybdenum (10 mm × 10 mm × 10 mm)
Counter electrodePlatinum sheet
Reference electrodeSaturated calomel electrode
Potential range−2 V to 8 V
Scanning rate0.01
Table 3. EIS fitting results.
Table 3. EIS fitting results.
Specimen Condition5% NaNO310% NaNO315% NaNO320% NaNO325% NaNO3
Rs2.921.4052.0770.70821.244
CPE16.323 × 10−54.9868 × 10−48.47 × 10−52.24 × 10−42.5 × 10−4
n10.65840.8240.76290.62660.28
R2391.910.29461.197.131022
CPE29.438 × 10−54.22 × 10−51.17 × 10−46.87 × 10−51.49 × 10−4
n20.983410.924910.934
Rct75073169528434715282
W8.291 × 10−48.818 × 10−47.655 × 10−45.16 × 10−47.526 × 10−4
Chi-Squared1.754 × 10−43.3525 × 10−41.727 × 10−42.20 × 10−34.05 × 10−4
Table 4. Orthogonal experiment with three factors and five horizons.
Table 4. Orthogonal experiment with three factors and five horizons.
Processing ParameterHorizon
12345
AVoltage (V)1015202530
BElectrolyte concentration (%)510152025
CProcessing time (S)2030405060
Table 5. Orthogonal experiment table and processing data results.
Table 5. Orthogonal experiment table and processing data results.
Group NumberExperimental FactorEvaluation Index
ABCDrΔ(mm)
11110.100.0023
21220.200.0044
31330.210.00455
41440.240.0052
51550.190.0043
62120.060.011
72230.210.0077
82340.450.0078
92450.200.018
102510.110.012
113130.090.021
123240.220.0095
133350.270.0038
143410.120.016
153520.110.0096
164140.080.0071
174250.260.0057
184310.190.0081
194420.210.0050
204530.170.0084
215150.130.0057
225210.180.0071
235320.150.024
245430.200.0063
255540.210.010
Table 6. Orthogonal analysis of depth-width ratio Dr.
Table 6. Orthogonal analysis of depth-width ratio Dr.
FactorABC
K10.1880.0920.14
K20.2060.2140.146
K30.1620.2540.176
K40.1820.1940.194
K50.1740.1580.21
Range0.0440.1620.07
Key rankingB > C > A
Optimal combinationA2B3C5
Table 7. Orthogonal analysis of groove width error .
Table 7. Orthogonal analysis of groove width error .
FactorABC
K10.004320.009420.0091
K20.01130.006880.0108
K30.011980.009820.00976
K40.006860.01010.00792
K50.010620.008860.00792
Range0.007660.003220.0033
Key rankingA > C > B
Optimal combinationA1B2C5
Disclaimer/Publisher’s Note: The statements, opinions and data contained in all publications are solely those of the individual author(s) and contributor(s) and not of MDPI and/or the editor(s). MDPI and/or the editor(s) disclaim responsibility for any injury to people or property resulting from any ideas, methods, instructions or products referred to in the content.

Share and Cite

MDPI and ACS Style

Wu, Y.; Wang, G.; Yang, M.; Zhang, Y. Precision Electrochemical Micro-Machining of Molybdenum in Neutral Salt Solution Based on Electrochemical Analysis. Micromachines 2024, 15, 1191. https://doi.org/10.3390/mi15101191

AMA Style

Wu Y, Wang G, Yang M, Zhang Y. Precision Electrochemical Micro-Machining of Molybdenum in Neutral Salt Solution Based on Electrochemical Analysis. Micromachines. 2024; 15(10):1191. https://doi.org/10.3390/mi15101191

Chicago/Turabian Style

Wu, Yuqi, Guoqian Wang, Moucun Yang, and Yan Zhang. 2024. "Precision Electrochemical Micro-Machining of Molybdenum in Neutral Salt Solution Based on Electrochemical Analysis" Micromachines 15, no. 10: 1191. https://doi.org/10.3390/mi15101191

APA Style

Wu, Y., Wang, G., Yang, M., & Zhang, Y. (2024). Precision Electrochemical Micro-Machining of Molybdenum in Neutral Salt Solution Based on Electrochemical Analysis. Micromachines, 15(10), 1191. https://doi.org/10.3390/mi15101191

Note that from the first issue of 2016, this journal uses article numbers instead of page numbers. See further details here.

Article Metrics

Back to TopTop