Double-Strip Array-Based Metasurfaces with BICs for Terahertz Thin Membrane Detection
Abstract
:1. Introduction
2. The Design of Double-Strip Arrays
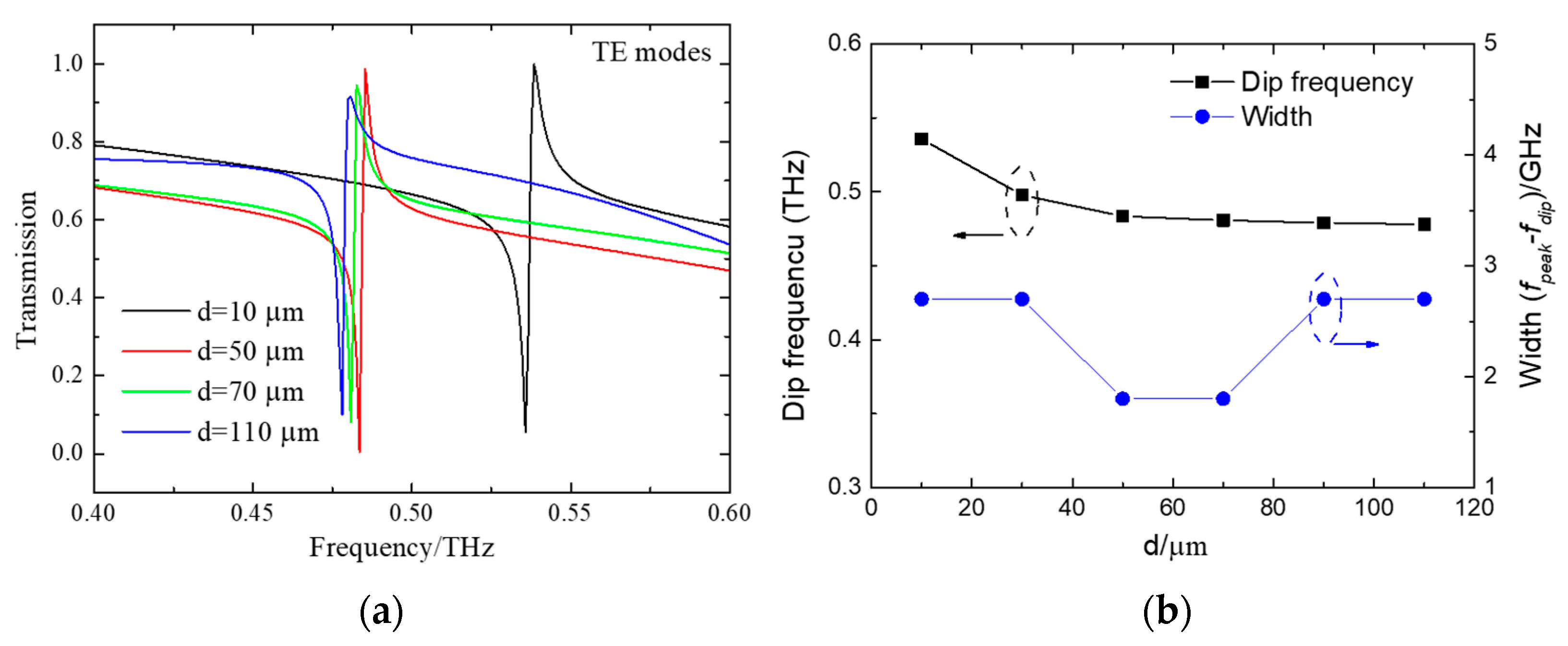
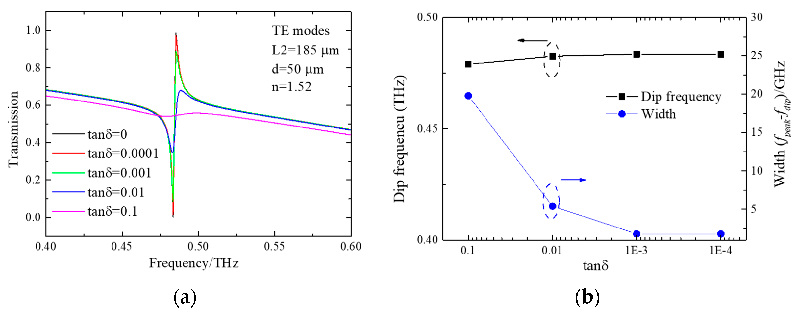
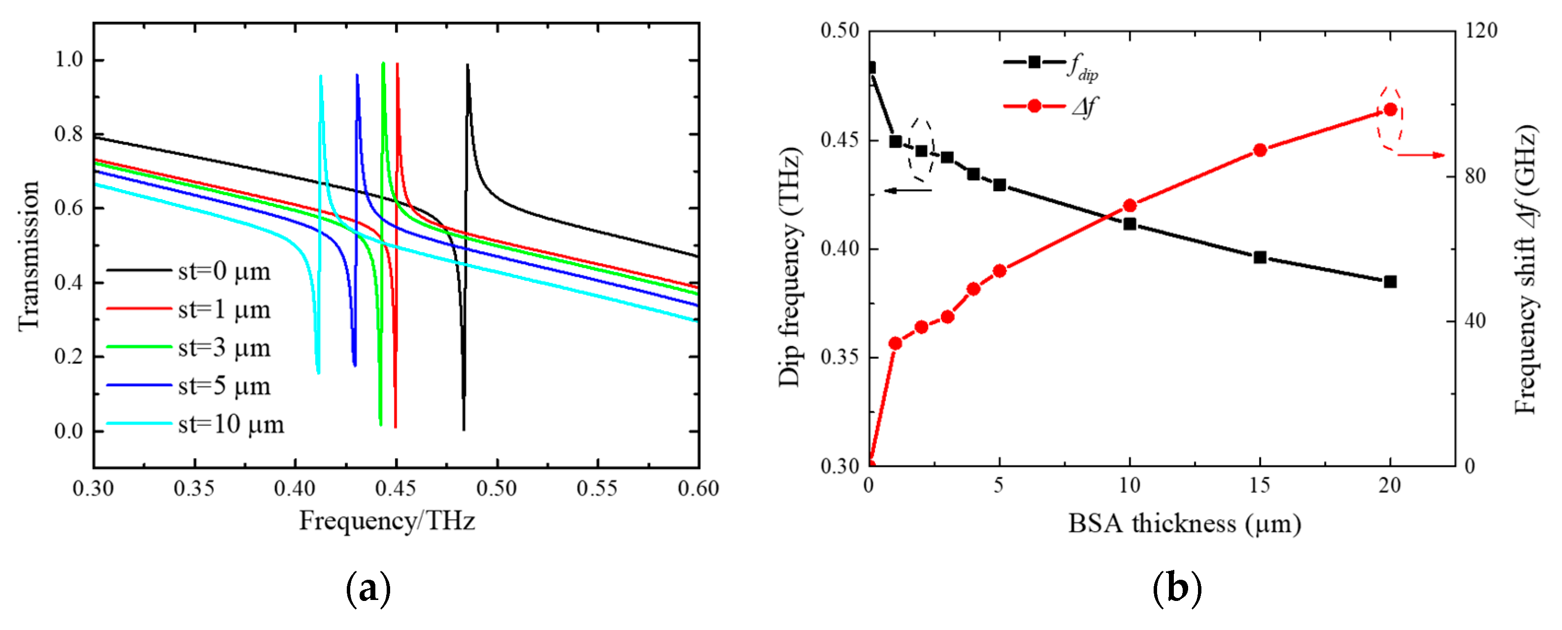
3. Simulation Results and Analysis
4. Conclusions
Author Contributions
Funding
Data Availability Statement
Conflicts of Interest
References
- von Neuman, J.; Wigner, E. Über merkwürdige diskrete Eigenwerte. Physikalische Zeitschrift 1929, 30, 465–467. [Google Scholar]
- Hwang, M.S.; Lee, H.C.; Kim, K.H.; Jeong, K.Y.; Kwon, S.H.; Koshelev, K.; Kivshar, Y.; Park, H.G. Ultralow-threshold laser using super-bound states in the continuum. Nat. Commun. 2021, 12, 4135. [Google Scholar] [CrossRef] [PubMed]
- Romano, S.; Zito, G.; Lara Yepez, S.N.; Cabrini, S.; Penzo, E.; Coppola, G.; Rendina, I.; Mocellaark, V. Tuning the exponential sensitivity of a bound-state-in-continuum optical sensor. Opt. Express 2019, 27, 18776–18786. [Google Scholar] [CrossRef] [PubMed]
- Dong, Z.; Mahfoud, Z.; Paniagua-Dominguez, R.; Wang, H.; Fernandez-Dominguez, A.I.; Gorelik, S.; Ha, S.T.; Tjiptoharsono, F.; Kuznetsov, A.I.; Bosman, M.; et al. Nanoscale mapping of optically inaccessible bound-states-in-the-continuum. Light Sci. Appl. 2022, 11, 20. [Google Scholar] [CrossRef] [PubMed]
- Carletti, L.; Koshelev, K.; De Angelis, C.; Kivshar, Y. Giant Nonlinear Response at the Nanoscale Driven by Bound States in the Continuum. Phys. Rev. Lett. 2018, 121, 033903. [Google Scholar] [CrossRef] [PubMed]
- Liu, Z.; Xu, Y.; Lin, Y.; Xiang, J.; Feng, T.; Cao, Q.; Li, J.; Lan, S.; Liu, J. High-Q quasibound states in the continuum for nonlinear metasurfaces. Phys. Rev. Lett. 2019, 123, 253901. [Google Scholar] [CrossRef] [PubMed]
- Liang, Y.; Koshelev, K.; Zhang, F.; Lin, H.; Lin, S.; Wu, J.; Jia, B.; Kivshar, Y. Bound states in the continuum in anisotropic plasmonic metasurfaces. Nano. Lett. 2020, 20, 6351–6356. [Google Scholar] [CrossRef]
- Zhou, Y.; Guo, Z.; Zhao, X.; Wang, F.; Yu, Z.; Chen, Y.; Liu, Z.; Zhang, S.; Sun, S.; Wu, X. Dual-quasi bound states in the continuum enabled plasmonic metasurfaces. Adv. Opt. Mater. 2022, 10, 2200965. [Google Scholar] [CrossRef]
- Tang, Y.; Liang, Y.; Yao, J.; Chen, M.K.; Lin, S.; Wang, Z.; Zhang, J.; Huang, X.G.; Yu, C.; Tsai, D.P. Chiral bound states in the continuum in plasmonic metasurfaces. Laser Photonics Rev. 2023, 17, 2200597. [Google Scholar] [CrossRef]
- Meng, B.; Wang, J.; Zhou, C.; Huang, L. Bound states in the continuum supported by silicon oligomer metasurfaces. Opt. Lett. 2022, 47, 1549–1552. [Google Scholar] [CrossRef]
- Romano, S.; Zito, G.; Torino, S.; Calafiore, G.; Penzo, E.; Coppola, G.; Cabrini, S.; Rendina, I.; Mocella, V. Label-free sensing of ultralow-weight molecules with all-dielectric metasurfaces supporting bound states in the continuum. Photonics Res. 2018, 6, 726–733. [Google Scholar] [CrossRef]
- Koshelev, K.; Lepeshov, S.; Liu, M.; Bogdanov, A.; Kivshar, Y. Asymmetric metasurfaces with high-Q resonances governed by bound states in the continuum. Phys. Rev. Lett. 2018, 121, 193903. [Google Scholar] [CrossRef] [PubMed]
- Zhao, X.; Chen, C.; Kaj, K.; Hammock, I.; Huang, Y.; Averitt, R.D.; Zhang, X. Terahertz investigation of bound states in the continuum of metallic metasurfaces. Optica 2020, 7, 1548–1554. [Google Scholar] [CrossRef]
- Liu, D.; Yu, X.; Wu, F.; Xiao, S.; Itoigawa, F.; Ono, S. Terahertz high-Q quasi-bound states in the continuum in laser-fabricated metallic double-slit arrays. Opt. Express 2021, 29, 24779–24791. [Google Scholar] [CrossRef] [PubMed]
- Liang, Y.; Lin, H.; Lin, S.; Wu, J.; Li, W.; Meng, F.; Yang, Y.; Huang, X.; Jia, B.; Kivshar, Y. Hybrid anisotropic plasmonic metasurfaces with multiple resonances of focused light beams. Nano Lett. 2021, 21, 8917–8923. [Google Scholar] [CrossRef] [PubMed]
- Berghuis, A.M.; Castellanos, G.W.; Murai, S.; Pura, J.L.; Abujetas, D.R.; van Heijst, E.; Ramezani, M.; Sánchez-Gil, J.A.; Rivas, J.G. Room temperature exciton-polariton condensation in silicon metasurfaces emerging from bound states in the continuum. Nano Lett. 2023, 23, 5603–5609. [Google Scholar] [CrossRef] [PubMed]
- Bulgakov, E.N.; Sadreev, A.F. Bloch bound states in the radiation continuum in a periodic array of dielectric rods. Phys. Rev. A 2014, 90, 053801. [Google Scholar] [CrossRef]
- Han, S.; Cong, L.; Srivastava, Y.K.; Qiang, B.; Rybin, M.V.; Kumar, A.; Jain, R.; Lim, W.X.; Achanta, V.G.; Prabhu, S.S.; et al. All-dielectric active terahertz photonics driven by bound states in the continuum. Adv. Mater. 2019, 31, e1901921. [Google Scholar] [CrossRef]
- Cen, W.; Lang, T.; Wang, J.; Xiao, M. High-Q Fano Terahertz resonance based on bound states in the continuum in All-dielectric metasurface. Appl. Surf. Sci. 2022, 575, 151723. [Google Scholar] [CrossRef]
- Han, S.; Pitchappa, P.; Wang, W.; Srivastava, Y.K.; Rybin, M.V.; Singh, R. Extended bound states in the continuum with symmetry-broken terahertz dielectric metasurfaces. Adv. Opti. Mater. 2021, 9, 2002001. [Google Scholar] [CrossRef]
- Yoshida, H.; Ogawa, Y.; Kawai, Y.; Hayashi, S.; Hayashi, A.; Otani, C.; Kato, E.; Miyamaru, F.; Kawase, K. Terahertz sensing method for protein detection using a thin metallic mesh. Appl. Phys. Lett. 2007, 91, 253901. [Google Scholar] [CrossRef]
- Miyamaru, F.; Tanaka, M.; Hangyo, M. Effect of hole diameter on terahertz surface-wave excitation in metal-hole arrays. Phys. Rev. B 2006, 74, 153416. [Google Scholar] [CrossRef]
- Liu, D.; Wu, F.; Yang, R.; Chen, L.; He, X.; Liu, F. Quasi-bound states in the continuum in metal complementary periodic cross-shaped resonators at terahertz frequencies. Opt. Lett. 2021, 46, 4370–4373. [Google Scholar] [CrossRef] [PubMed]
- Wang, L.; Cao, J.; Li, X.; Zhao, Y.; Shi, H.; Fu, L.; Liu, D.; Liu, F. Quasi-BICs enabled proximity sensing based on metal complementary H-shaped arrays at terahertz frequencies. IEEE Photonics J. 2022, 14, 1–8. [Google Scholar] [CrossRef]
- Liu, D.; Yu, X.; Wu, F.; Du, W.; Chen, L.; Liu, F.; Kuwahara, M.; Ono, S. Terahertz asymmetric metallic hole arrays with polarization-independent quasi-bound states in the continuum for membrane sensing. Opt. Express 2023, 31, 23608–23620. [Google Scholar] [CrossRef] [PubMed]
- Srivastava, Y.K.; Ako, R.T.; Gupta, M.; Bhaskaran, M.; Sriram, S.; Singh, R. Terahertz sensing of 7 nm dielectric film with bound states in the continuum metasurfaces. Appl. Phys. Lett. 2019, 115, 151105. [Google Scholar] [CrossRef]
- Abujetas, D.R.; van Hoof, N.; ter Huurne, S.; Gómez Rivas, J.; Sánchez-Gil, J.A. Spectral and temporal evidence of robust photonic bound states in the continuum on terahertz metasurfaces. Optica 2019, 6, 996–1001. [Google Scholar] [CrossRef]
- Beruete, M.; Jáuregui-López, I. Terahertz sensing based on metasurfaces. Adv. Opt. Mater. 2019, 8, 1900721. [Google Scholar] [CrossRef]
- Tuchin, V.V.; Fedulova, E.V.; Genina, E.A.; Nazarov, M.M.; Angeluts, A.A.; Meglinski, I.V.; Kitai, M.S.; Sokolov, V.I.; Shkurinov, A.P. Studying of dielectric properties of polymers in the terahertz frequency range. In Proceedings of the Saratov Fall Meeting 2011: Optical Technologies in Biophysics and Medicine XIII, Saratov, Russia, 27–30 September 2011. [Google Scholar]
- Srivastava, Y.K.; Manjappa, M.; Cong, L.; Cao, W.; Al-Naib, I.; Zhang, W.; Singh, R. Ultrahigh-QFano Resonances in Terahertz Metasurfaces: Strong influence of metallic conductivity at extremely low asymmetry. Adv. Opt. Mater. 2016, 4, 457–463. [Google Scholar] [CrossRef]
- Qin, M.; Duan, J.; Xiao, S.; Liu, W.; Yu, T.; Wang, T.; Liao, Q. Strong coupling between excitons and quasibound states in the continuum in bulk transition metal dichalcogenides. Phys. Rev. B 2023, 107, 045417. [Google Scholar] [CrossRef]
- Liu, D.; Hattori, T. Sharp resonances in terahertz free-standing three-dimensional metallic woven meshes. Opt. Express 2020, 28, 30174–30186. [Google Scholar] [CrossRef] [PubMed]
- Sarrazin, M.; Vigneron, J.-P.; Vigoureux, J.-M. Role of Wood anomalies in optical properties of thin metallic films with a bidimensional array of subwavelength holes. Phys. Rev. B 2003, 67, 085415. [Google Scholar] [CrossRef]
- Wu, F.; Qi, X.; Luo, M.; Liu, T.; Xiao, S. Ultraslow light effect driven by quasibound states in the continuum in compound grating waveguide structures. Phys. Rev. B 2023, 108, 165404. [Google Scholar] [CrossRef]
- Hsu, C.W.; Zhen, B.; Stone, A.D.; Joannopoulos, J.D.; Soljačić, M. Bound states in the continuum. Nat. Rev. Mater. 2016, 1, 16048. [Google Scholar] [CrossRef]
- Yuan, L.; Lu, Y.Y. Bound states in the continuum on periodic structures: Perturbation theory and robustness. Opt. Lett 2017, 42, 4490–4493. [Google Scholar] [CrossRef] [PubMed]
- Bogdanov, A.A.; Koshelev, K.L.; Kapitanova, P.V.; Rybin, M.V.; Gladyshev, S.A.; Sadrieva, Z.F.; Samusev, K.B.; Kivshar, Y.S.; Limonov, M.F. Bound states in the continuum and Fano resonances in the strong mode coupling regime. Adv. Photonics 2019, 1, 016001. [Google Scholar] [CrossRef]
- Kupriianov, A.S.; Xu, Y.; Sayanskiy, A.; Dmitriev, V.; Kivshar, Y.S.; Tuz, V.R. Metasurface engineering through bound states in the continuum. Phys. Rev. Appl. 2019, 12, 014024. [Google Scholar] [CrossRef]
- Huang, L.; Jin, R.; Zhou, C.; Li, G.; Xu, L.; Overvig, A.; Deng, F.; Chen, X.; Lu, W.; Alu, A.; et al. Ultrahigh-Q guided mode resonances in an all-dielectric metasurface. Nat. Commun. 2023, 14, 3433. [Google Scholar] [CrossRef]
- Li, Z.; Zhang, X. Enhanced optical squeezing from quasi-bound states in the continuum and Fano resonances without nonlinearity. New J. Phys. 2019, 21, 123050. [Google Scholar] [CrossRef]
- Lee, S.G.; Kim, S.H.; Kee, C.S. Creation of Fano resonances and bound states in the continuum in metallic metasurface superlattices. Opt. Express 2021, 29, 21492–21501. [Google Scholar] [CrossRef]
- Mousavi, S.H.; Khanikaev, A.B.; Shvets, G. Optical properties of Fano-resonant metallic metasurfaces on a substrate. Phys. Rev. B 2012, 85, 155429. [Google Scholar] [CrossRef]
- Sadrieva, Z.F.; Sinev, I.S.; Koshelev, K.L.; Samusev, A.; Iorsh, I.V.; Takayama, O.; Malureanu, R.; Bogdanov, A.A.; Lavrinenko, A.V. Transition from optical bound states in the continuum to leaky resonances: Role of substrate and roughness. ACS Photonics 2017, 4, 723–727. [Google Scholar] [CrossRef]
- Kim, K.H.; Kim, I.P. Quasi-bound states in the continuum with high Q-factors in metasurfaces of lower-index dielectrics supported by metallic substrates. RSC Adv. 2022, 12, 1961–1967. [Google Scholar] [CrossRef] [PubMed]
- Chorsi, H.T.; Lee, Y.; Alu, A.; Zhang, J.X.J. Tunable plasmonic substrates with ultrahigh Q-factor resonances. Sci. Rep. 2017, 7, 15985. [Google Scholar] [CrossRef] [PubMed]
- Luchansky, M.S.; Bailey, R.C. High-Q optical sensors for chemical and biological analysis. Anal. Chem. 2012, 84, 793–821. [Google Scholar] [CrossRef] [PubMed]
- Fan, F.; Chen, S.; Wang, X.-H.; Wu, P.-F.; Chang, S.-J. Terahertz Refractive Index Sensing Based on Photonic Column Array. IEEE Photonics Technol. Lett. 2015, 27, 478–481. [Google Scholar] [CrossRef]
- Shi, C.; Hu, J.; Liu, X.; Liang, J.; Zhao, J.; Han, H.; Zhu, Q. Double-layer symmetric gratings with bound states in the continuum for dual-band high-Q optical sensing. Beilstein J. Nanotechnol. 2022, 13, 1408–1417. [Google Scholar] [CrossRef]
- Yang, C.; Sang, T.; Li, S.; Wang, Y.; Cao, G.; Hu, L. Tailoring the light absorption of monolayer graphene via accidental quasi-bound states in the continuum. J. Opt. Soc. Am. B 2022, 39, 2531–2539. [Google Scholar] [CrossRef]
- Zhang, X.; Sang, T.; Pian, C.; Wang, Y.; Wang, J. Dual-band polarization-independent high quality factor Fano resonances using a twisted tetrameric nanohole slab. J. Opt. Soc. Am. B 2023, 40, 1652–1660. [Google Scholar] [CrossRef]
- Sun, Y.; Du, P.; Lu, X.; Xie, P.; Qian, Z.; Fan, S.; Zhu, Z. Quantitative characterization of bovine serum albumin thin-films using terahertz spectroscopy and machine learning methods. Biomed. Opt. Express 2018, 9, 2917–2929. [Google Scholar] [CrossRef]
- Yoneyama, H.; Yamashita, M.; Kasai, S.; Kawase, K.; Ueno, R.; Ito, H.; Ouchi, T. Terahertz spectroscopy of native-conformation and thermally denatured bovine serum albumin (BSA). Phys. Med. Biol. 2008, 53, 3543–3549. [Google Scholar] [CrossRef] [PubMed]
- Li, X.; Fu, X.; Liu, J.; Du, Y.; Hong, Z. Investigation of thermal denaturation of solid bovine serum albumin by terahertz dielectric spectroscopy. J. Mol. Struct. 2013, 1049, 441–445. [Google Scholar] [CrossRef]
- Feng, G.; Chen, Z.; Wang, Y.; Liu, X.; Liu, Y.; Liu, X.; Sun, F.; Yang, Y.; Chen, S. Enhanced Fano resonance for high-sensitivity sensing based on bound states in the continuum. Chin. Opt. Lett. 2023, 21, 031202. [Google Scholar] [CrossRef]
- Zhou, R.; Wang, C.; Huang, Y.; Huang, K.; Wang, Y.; Xu, W.; Xie, L.; Ying, Y. Label-free terahertz microfluidic biosensor for sensitive DNA detection using graphene-metasurface hybrid structures. Biosens. Bioelectron. 2021, 188, 113336. [Google Scholar] [CrossRef]
- Xu, J.; Liao, D.; Gupta, M.; Zhu, Y.; Zhuang, S.; Singh, R.; Chen, L. Terahertz microfluidic sensing with dual-torus toroidal metasurfaces. Adv. Opt. Mater. 2021, 9, 2100024. [Google Scholar] [CrossRef]










Disclaimer/Publisher’s Note: The statements, opinions and data contained in all publications are solely those of the individual author(s) and contributor(s) and not of MDPI and/or the editor(s). MDPI and/or the editor(s) disclaim responsibility for any injury to people or property resulting from any ideas, methods, instructions or products referred to in the content. |
© 2023 by the authors. Licensee MDPI, Basel, Switzerland. This article is an open access article distributed under the terms and conditions of the Creative Commons Attribution (CC BY) license (https://creativecommons.org/licenses/by/4.0/).
Share and Cite
Shen, Y.; Wang, J.; Sheng, H.; Li, X.; Yang, J.; Liu, H.; Liu, D. Double-Strip Array-Based Metasurfaces with BICs for Terahertz Thin Membrane Detection. Micromachines 2024, 15, 43. https://doi.org/10.3390/mi15010043
Shen Y, Wang J, Sheng H, Li X, Yang J, Liu H, Liu D. Double-Strip Array-Based Metasurfaces with BICs for Terahertz Thin Membrane Detection. Micromachines. 2024; 15(1):43. https://doi.org/10.3390/mi15010043
Chicago/Turabian StyleShen, Yanchun, Jinlan Wang, Hongyu Sheng, Xiaoming Li, Jing Yang, Hongmei Liu, and Dejun Liu. 2024. "Double-Strip Array-Based Metasurfaces with BICs for Terahertz Thin Membrane Detection" Micromachines 15, no. 1: 43. https://doi.org/10.3390/mi15010043
APA StyleShen, Y., Wang, J., Sheng, H., Li, X., Yang, J., Liu, H., & Liu, D. (2024). Double-Strip Array-Based Metasurfaces with BICs for Terahertz Thin Membrane Detection. Micromachines, 15(1), 43. https://doi.org/10.3390/mi15010043

