Magnetical Manipulation of Hyperbolic Phonon Polaritons in Twisted Double-Layers of Molybdenum Trioxide
Abstract
1. Introduction
2. Materials and Methods
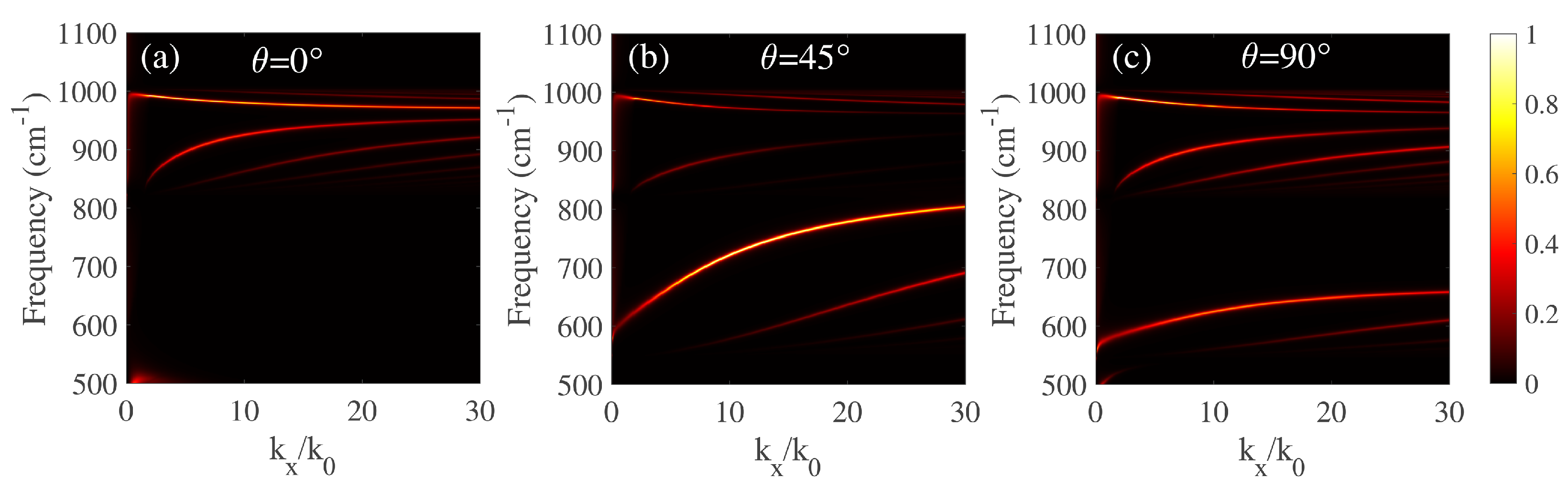
3. Results and Discussions
4. Conclusions
Author Contributions
Funding
Data Availability Statement
Conflicts of Interest
References
- Li, X.; Haberfehlner, G.; Hohenester, U.; Stéphan, O.; Kothleitner, G.; Kociak, M. Three-dimensional vectorial imaging of surface phonon polaritons. Science 2021, 371, 1364–1367. [Google Scholar] [CrossRef] [PubMed]
- Jacob, Z. Hyperbolic phonon–polaritons. Nat. Mater. 2014, 13, 1081–1083. [Google Scholar] [CrossRef] [PubMed]
- Hu, G.; Shen, J.; Qiu, C.W.; Alù, A.; Dai, S. Phonon Polaritons and Hyperbolic Response in van der Waals Materials. Adv. Opt. Mater. 2020, 12, 1901393. [Google Scholar] [CrossRef]
- Dai, S.; Fei, Z.; Ma, Q.; Rodin, A.S.; Wagner, M.; McLeod, A.S.; Liu, M.K.; Gannett, W.; Regan, W.; Watanabe, K.; et al. Tunable phonon polaritons in atomically thin van der Waals crystals of boron nitride. Science 2014, 343, 1125–1129. [Google Scholar] [CrossRef] [PubMed]
- Caldwell, J.D.; Lindsay, L.; Giannini, V.; Vurgaftman, I.; Reinecke, T.L.; Maier, S.A.; Glembocki, O.J. Low-loss, infrared and terahertz nanophotonics using surface phonon polaritons. Nanophotonics 2015, 4, 44–68. [Google Scholar] [CrossRef]
- Taboada-Gutiérrez, J.; Álvarez-Pérez, G.; Duan, J.; Ma, W.; Crowley, K.; Prieto, I.; Bylinkin, A.; Autore, M.; Volkova, H.; Kimura, K.; et al. Broad spectral tuning of ultra-low-loss polaritons in a van der Waals crystal by intercalation. Nat. Mater. 2020, 19, 964–968. [Google Scholar] [CrossRef]
- Zhang, Q.; Ou, Q.; Hu, G.; Liu, J.; Dai, Z.; Fuhrer, M.S.; Bao, Q.; Qiu, C.W. Hybridized Hyperbolic Surface Phonon Polaritons at α-MoO3 and Polar Dielectric Interfaces. Nano Lett. 2021, 21, 3112–3119. [Google Scholar] [CrossRef]
- Li, P.; Lewin, M.; Kretinin, A.V.; Caldwell, J.D.; Novoselov, K.S.; Taniguchi, T.; Watanabe, K.; Gaussmann, F.; Taubner, T. Hyperbolic phonon-polaritons in boron nitride for near-field optical imaging and focusing. Nat. Commun. 2015, 6, 7507. [Google Scholar] [CrossRef]
- Qu, Y.; Chen, N.; Teng, H.; Hu, H.; Sun, J.; Yu, R.; Hu, D.; Xue, M.; Li, C.; Wu, B.; et al. Tunable Planar Focusing Based on Hyperbolic Phonon Polaritons in α-MoO3. Adv. Mater. 2022, 34, 2105590. [Google Scholar] [CrossRef]
- Li, S.; Xu, J.; Xie, Y. Active Tuning and Anisotropic Strong Coupling of Terahertz Polaritons in Van der Waals Heterostructures. Micromachines 2022, 13, 1955. [Google Scholar] [CrossRef]
- Sun, Y.; Zhang, D.; Wu, B.; Liu, H.; Yang, B.; Wu, X. Metasurfaces Assisted Twisted α-MoO3 for Spinning Thermal Radiation. Micromachines 2022, 13, 1757. [Google Scholar] [CrossRef]
- Ma, W.; Alonso-González, P.; Li, S.; Nikitin, A.Y.; Yuan, J.; Martín-Sánchez, J.; Taboada-Gutiérrez, J.; Amenabar, I.; Li, P.; Vélez, S.; et al. In-plane anisotropic and ultra-low-loss polaritons in a natural van der Waals crystal. Nature 2018, 562, 557–562. [Google Scholar] [CrossRef]
- Han, T.; Liu, H.; Chen, S.; Chen, Y.; Wang, S.; Li, Z. Fabrication and Characterization of MoS2/h-BN and WS2/h-BN Heterostructures. Micromachines 2020, 11, 1114. [Google Scholar] [CrossRef]
- Yan, Q.; Chen, R.; Yuan, Z.; Li, P.; Zhang, X. Canalization acoustic phonon polaritons in metal-MoO3-metal sandwiched structures for nano-light guiding and manipulation. J. Opt. 2022, 24, 024006. [Google Scholar] [CrossRef]
- Shimazaki, Y.; Schwartz, I.; Watanabe, K.; Taniguchi, T.; Kroner, M.; Imamoğlu, A. Photonics with hexagonal boron nitride. Nature 2020, 580, 472. [Google Scholar] [CrossRef]
- Schwartz, J.J.; Le, S.T.; Krylyuk, S.; Richter, C.A.; Davydov, A.V.; Centrone, A. Substrate-mediated hyperbolic phonon polaritons in MoO3. Nanophotonics 2021, 10, 1517–1527. [Google Scholar] [CrossRef]
- Kim, Y.; Lee, J.H.; Jung, Y.H.; Lee, D.; Son, J. Cooperative coupling of anisotropic phonon modes intensifies visible thermochromism in layered α-MoO3. Mater. Horiz. 2022, 9, 1631–1640. [Google Scholar] [CrossRef]
- Yadav, A.; Varshney, S.K.; Lahiri, B. Phonon Polaritons Assisted Extraordinary Transmission in α-MoO3-Silver Grating and Its Application in Switching. IEEE Photonics J. 2022, 14, 2256808. [Google Scholar] [CrossRef]
- Wei, C.; Cen, M.; Chui, H.C.; Cao, T. Numerical study of biosensor based on α-MoO3/Au hyperbolic metamaterial at visible frequencies. J. Phys. D Appl. Phys. 2021, 54, 034001. [Google Scholar] [CrossRef]
- Wu, B.; Wang, M.; Wu, F.; Wu, X. Strong extrinsic chirality in biaxial hyperbolic material α-MoO3 with in-plane anisotropy. Appl. Opt. 2021, 60, 4599–4605. [Google Scholar] [CrossRef]
- Wu, X.; Fu, C.J.; Zhang, Z.M. Near-field radiative heat transfer between two α-MoO3 biaxial crystals. J. Heat Transf. 2020, 142, 072802. [Google Scholar] [CrossRef]
- Guo, P.; Huang, W.; Stoumpos, C.C.; Mao, L.; Gong, J.; Zeng, L.; Diroll, B.T.; Xia, Y.; Ma, X.; Gosztola, D.J.; et al. Hyperbolic dispersion arising from anisotropic excitons in two-dimensional perovskites. Phys. Rev. Lett. 2018, 121, 127401. [Google Scholar] [CrossRef] [PubMed]
- Eda, K. Longitudinal-transverse splitting effects in IR absorption spectra of MoO3. J. Solid State Chem. 1991, 95, 64–73. [Google Scholar] [CrossRef]
- Shayegan, K.J.; Zhao, B.; Kim, Y.; Fan, S.; Atwater, H.A. Nonreciprocal infrared absorption via resonant magneto-optical coupling to InAs. Sci. Adv. 2022, 8, eabm4308. [Google Scholar] [CrossRef] [PubMed]
- Passler, N.C.; Paarmann, A. Generalized 4 × 4 matrix formalism for light propagation in anisotropic stratified media: Study of surface phonon polaritons in polar dielectric heterostructures. J. Opt. Soc. Am. B 2017, 34, 2128–2139. [Google Scholar] [CrossRef]
- Passler, N.C.; Jeannin, M.; Paarmann, A. Layer-resolved absorption of light in arbitrarily anisotropic heterostructures. Phys. Rev. B 2020, 101, 165425. [Google Scholar] [CrossRef]
- Hale, N.; Simonsen, I.; Brüne, C.; Kildemo, M. Use of 4 × 4 transfer matrix method in the study of surface magnon polaritons via simulated attenuated total reflection measurements on the antiferromagnetic semiconductor MnF2. Phys. Rev. B 2022, 105, 104421. [Google Scholar] [CrossRef]
- Bapat, A.; Dixit, S.; Gupta, Y.; Low, T.; Kuma, A. Gate tunable light–matter interaction in natural biaxial hyperbolic van der Waals heterostructures. Nanophotonics 2022, 11, 2329–2340. [Google Scholar] [CrossRef]
- Zhang, Q.; Hu, G.; Ma, W.; Li, P.; Krasnok, A.; Hillenbr, R.; Alù, A.; Qiu, C.W. Interface nano-optics with van der Waals polaritons. Nature 2021, 597, 187–195. [Google Scholar] [CrossRef]
- Zheng, Z.; Sun, F.; Huang, W.; Jiang, J.; Zhan, R.; Ke, Y.; Chen, H.; Deng, S. Phonon Polaritons in Twisted Double-Layers of Hyperbolic van der Waals Crystals. Nano Lett. 2020, 20, 5301. [Google Scholar] [CrossRef]
- Hu, G.; Ou, Q.; Si, G.; Wu, Y.; Wu, J.; Dai, Z.; Krasnok, A.; Mazor, Y.; Zhang, Q.; Bao, Q.; et al. Topological polaritons and photonic magic angles in twisted α-MoO3 bilayers. Nature 2020, 582, 209–213. [Google Scholar] [CrossRef]
Direction | x [100] | y [001] | z [010] |
---|---|---|---|
4 | 5.2 | 2.4 | |
972 | 851 | 1004 | |
820 | 545 | 958 | |
4 | 4 | 2 |
Disclaimer/Publisher’s Note: The statements, opinions and data contained in all publications are solely those of the individual author(s) and contributor(s) and not of MDPI and/or the editor(s). MDPI and/or the editor(s) disclaim responsibility for any injury to people or property resulting from any ideas, methods, instructions or products referred to in the content. |
© 2023 by the authors. Licensee MDPI, Basel, Switzerland. This article is an open access article distributed under the terms and conditions of the Creative Commons Attribution (CC BY) license (https://creativecommons.org/licenses/by/4.0/).
Share and Cite
Li, H.; Zheng, G. Magnetical Manipulation of Hyperbolic Phonon Polaritons in Twisted Double-Layers of Molybdenum Trioxide. Micromachines 2023, 14, 648. https://doi.org/10.3390/mi14030648
Li H, Zheng G. Magnetical Manipulation of Hyperbolic Phonon Polaritons in Twisted Double-Layers of Molybdenum Trioxide. Micromachines. 2023; 14(3):648. https://doi.org/10.3390/mi14030648
Chicago/Turabian StyleLi, Hongjing, and Gaige Zheng. 2023. "Magnetical Manipulation of Hyperbolic Phonon Polaritons in Twisted Double-Layers of Molybdenum Trioxide" Micromachines 14, no. 3: 648. https://doi.org/10.3390/mi14030648
APA StyleLi, H., & Zheng, G. (2023). Magnetical Manipulation of Hyperbolic Phonon Polaritons in Twisted Double-Layers of Molybdenum Trioxide. Micromachines, 14(3), 648. https://doi.org/10.3390/mi14030648