A Balanced Substrate Integrated Waveguide Phase Shifter with Wideband Common-Mode Suppression
Abstract
1. Introduction
2. Proposed Balanced SIW Phase Shifter
2.1. Structure
2.2. DM Analysis
2.3. CM Analysis
2.4. Design Procedure
- (1)
- Determine a according to the relationship of a, f0, and weff in Equations (1)–(3) to make the proposed design achieve the DM impedance matching and CM suppression at f0 simultaneously.
- (2)
- (3)
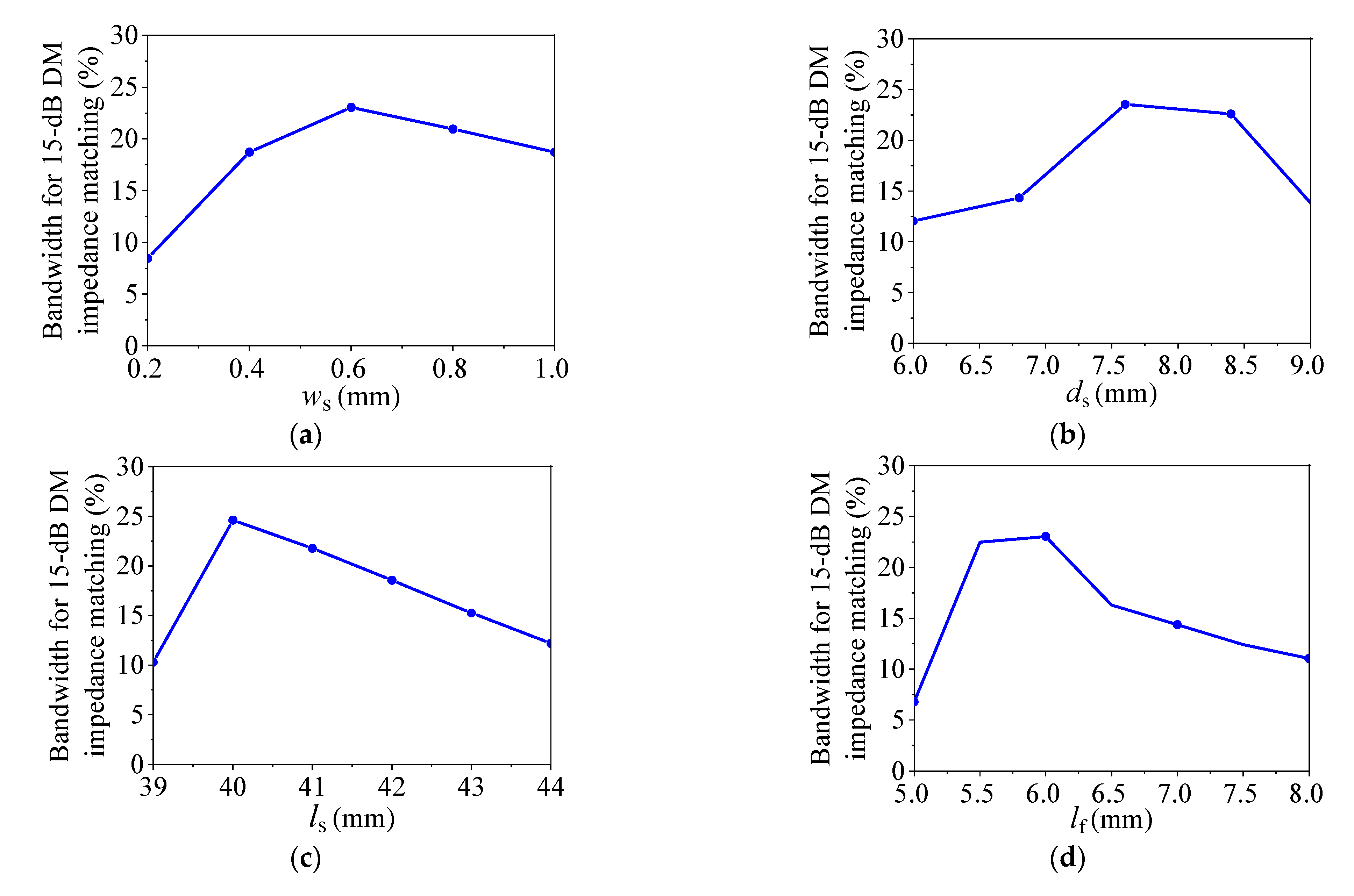
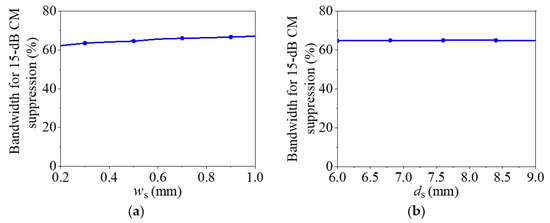
- Determine the initial values of ld for different main lines according to the required phase shifts, and determine the initial values of ws, ds, ls, and lf for different main lines according to the variation rules of the bandwidths for 15-dB DM impedance matching, DM phase shift, and 15-dB CM suppression in Figure 5, Figure 6 and Figure 9, respectively.
- (4)
- Fine-tune the parameters in computer simulation technology (CST) to optimize the performance.
3. Results
4. Conclusions
Author Contributions
Funding
Data Availability Statement
Conflicts of Interest
References
- Zhu, H.; Sun, H.; Ding, C.; Guo, Y.J. Wideband dual-polarized multiple beam-forming antenna arrays. IEEE Trans. Antennas Propag. 2019, 67, 1590–1604. [Google Scholar] [CrossRef]
- Ren, H.; Li, P.; Gu, Y.; Arigong, B. Phase shifter-relaxed and control-relaxed continuous steering multiple beamforming 4 × 4 butler matrix phased array. IEEE Trans. Circuits Syst. I Reg. Pap. 2020, 67, 5031–5038. [Google Scholar] [CrossRef]
- Luo, Q.; Zhu, X.-W.; Yu, C.; Teng, D.-D.; Wang, X.; Chu, C.; Hong, W.; Zhu, A. Linearization angle widened digital predistortion for 5G MIMO beamforming transmitters. IEEE Trans. Microw. Theory Tech. 2021, 69, 5008–5020. [Google Scholar] [CrossRef]
- Zhang, W.; Shi, J. A balanced phase shifter with common-mode suppression. IEEE Trans. Ind. Electron. 2019, 66, 378–386. [Google Scholar] [CrossRef]
- Qiu, L.-L.; Zhu, L. Balanced wideband phase shifters with good filtering property and common-mode suppression. IEEE Trans. Microw. Theory Tech. 2019, 67, 2313–2321. [Google Scholar] [CrossRef]
- Zhang, W.; Xu, K.; Shi, J.; Shen, Z.D. A compact single-layer balanced phase shifter with wide bandwidth and uniform reference line. IEEE Access 2020, 8, 41530–41536. [Google Scholar] [CrossRef]
- Alizadeh, M.K.; Shamsi, H.; Tavakoli, M.B.; Aliakbarian, H. Simple ladder-like single-layer balanced wideband phase shifter with wide phase shift range and appropriate common-mode suppression. IET. Microw. Antennas Propag. 2020, 14, 1137–1147. [Google Scholar] [CrossRef]
- Nie, Y.; Zhang, W.; Shi, J. A compact balanced phase shifter with wideband common-mode suppression. IEEE Access 2019, 7, 153810–153818. [Google Scholar] [CrossRef]
- Qiu, L.-L.; Zhu, L.; Lyu, Y.-P. Balanced wideband phase shifters with wide phase shift range and good common-mode suppression. IEEE Trans. Microw. Theory Tech. 2019, 67, 3403–3413. [Google Scholar] [CrossRef]
- Shi, J.; Nie, Y.; Zhang, W.; Wu, Y. Differential filtering phase shifter with wide common-mode suppression bandwidth and high frequency selectivity. IEEE Trans. Circuits Syst. II Exp. Briefs 2021, 68, 2379–2383. [Google Scholar] [CrossRef]
- Ding, C.; Meng, F.-Y.; Jin, T.; Lv, J.-F.; Mu, H.-L.; Wu, Q. Tunable balanced liquid crystal phase shifter based on spoof surface plasmon polaritons with common-mode suppression. Liquid Cryst. 2020, 47, 1612–1623. [Google Scholar] [CrossRef]
- Sellal, K.; Talbi, L.; Denidni, T.A.; Label, J. Design and implementation of a substrate integrated waveguide phase shifter. IET Microw. Antennas Propag. 2008, 2, 194–199. [Google Scholar] [CrossRef]
- Yang, T.; Ettorre, M.; Sauleau, R. Novel phase shifter design based on substrate-integrated-waveguide technology. IEEE Microw. Wirel. Compon. Lett. 2012, 22, 518–520. [Google Scholar] [CrossRef]
- Cheng, Y.J.; Hong, W.; Wu, K. Broadband self-compensating phase shifter combining delay line and equal-length unequal-width phaser. IEEE Trans. Microw. Theroy Tech. 2010, 58, 203–210. [Google Scholar] [CrossRef]
- Sellal, K.; Talbi, L.; Nedil, M. Design and implementation of a controllable phase shifter using substrate integrated waveguide. IET Microw. Antennas Propag. 2012, 6, 1090–1094. [Google Scholar] [CrossRef]
- Ebrahimpouri, M.; Nikmehr, S.; Pourziad, A. Broadband compact SIW phase shifter using omega particles. IEEE Microw. Wirel. Compon. Lett. 2014, 24, 748–750. [Google Scholar] [CrossRef]
- Liu, S.; Xu, F. Novel substrate-integrated waveguide phase shifter and its application to six-port junction. IEEE Trans. Microw. Theroy Tech. 2019, 67, 4167–4174. [Google Scholar] [CrossRef]
- Parment, F.; Ghiotto, A.; Vuong, T.-P.; Duchamp, J.-M.; Wu, K. Double dielectric slab-loaded air-filled SIW phase shifters for high-performance millimeter-wave integration. IEEE Trans. Microw. Theroy Tech. 2016, 64, 2833–2842. [Google Scholar] [CrossRef]
- Djerafi, T.; Wu, K.; Tatu, S.O. Substrate-integrated waveguide phase shifter with rod-loaded artificial dielectric slab. Electron. Lett. 2015, 51, 707–709. [Google Scholar] [CrossRef]
- Huang, Y.M.; Ding, S.; Wang, G.; Bozzi, M. Compact equal-width equal-length phase shifter with slow-wave half-mode substrate integrated waveguide for 5G applications. IEEE Access 2019, 7, 160595–160609. [Google Scholar] [CrossRef]
- Zhang, W.; Shen, Z.; Xu, K.; Shi, J. A compact wideband phase shifter using slotted substrate integrated waveguide. IEEE Microw. Wirel. Compon. Lett. 2019, 29, 767–770. [Google Scholar] [CrossRef]
- Cano, J.L.; Villa, E.; Mediavilla, A.; Artal, E. A wideband correlation and detection module based on substrate-integrated waveguide technology for radio astronomy applications. IEEE Trans. Microw. Theroy Tech. 2018, 66, 3145–3152. [Google Scholar] [CrossRef]
- Ji, Y.; Ge, L.; Wang, J.; Chen, Q.; Wu, W.; Li, Y. Reconfigurable phased-array antenna using continuously tunable substrate integrated waveguide phase shifter. IEEE Trans. Antennas Propag. 2019, 67, 6894–6908. [Google Scholar] [CrossRef]
- Muneer, B.; Zhu, Q.; Xu, S.J. A broadband tunable multilayer substrate integrated waveguide phase shifter. IEEE Microw. Wirel. Compon. Lett. 2015, 25, 220–222. [Google Scholar] [CrossRef]
- Xu, F.; Wu, K. Guide-wave and leakage characteristics of substrate integrated waveguide. IEEE Trans. Microw. Theroy Tech. 2005, 13, 66–73. [Google Scholar]
- Deslandes, D.; Wu, K. Single-substrate integration technique of planar circuits and waveguide filters. IEEE Microw. Guid. Wave Lett. 2003, 51, 593–596. [Google Scholar] [CrossRef]
- Oliner, A.A. The impedance properties of narrow radiating slots in the broad face of rectangular waveguide. IEEE Trans. Antennas Propag. 1957, 5, 4–11. [Google Scholar] [CrossRef]













| Reference Line | 45° Main Line | 90° Main Line | 135° Main Line | 180° Main Line | |
|---|---|---|---|---|---|
| a | 59.1 | 59.1 | 59.1 | 59.1 | 59.1 |
| lf | 8.16 | 8.15 | 8.14 | 7.8 | 7.51 |
| s | 1.8 | 1.8 | 1.8 | 1.8 | 1.8 |
| d | 1.3 | 1.3 | 1.3 | 1.3 | 1.3 |
| g | 1.65 | 1.65 | 1.65 | 1.65 | 1.65 |
| ds | 8.36 | 8.2 | 8.2 | 7.8 | 7.56 |
| ws | 0.5 | 0.55 | 0.56 | 1 | 1.35 |
| ls | 41.6 | 41 | 40.4 | 38.9 | 38 |
| ld | 8 | 11.6 | 15.31 | 19.04 | 22.67 |
| wp | 1.83 | 1.83 | 1.83 | 1.83 | 1.83 |
| f0 (GHz) | Phase Shift | FBW (%) | RLmin (dB) | ILmax (dB) | Size (λg2) | 15-dB CMS FBW (%) | n | Type | |
|---|---|---|---|---|---|---|---|---|---|
| [6] | 3.5 | 45° ± 2.3° | 81 | 15 | 0.64 | 0.27 | 86 | 1 | Microstrip, Balanced |
| 90° ± 4.7° | 82 | 0.78 | 0.35 | ||||||
| [7] | 3 | 180° ± 4.2° | 73.8 | 14.87 | 0.96 | 0.8 | 75.2 | 1 | Microstrip, Balanced |
| [9] | 4 | 30.14° ± 2.2° | 73 | 16 | 0.76 | 0.86 | 93.8 | 1 | Microstrip, Balanced |
| 90.75° ± 4.1° | 68.5 | 15 | 0.9 | 0.93 | 92.5 | ||||
| 180.1° ± 5.5° | 66.8 | 15 | 0.9 | 1.19 | 76 | ||||
| [13] | 24 | 15° ± 5° | 10 | 10 | 1.5 | 4.51 | N/A | 1 | SIW, Single-end |
| 30° ± 5° | |||||||||
| 60° ± 5° | |||||||||
| [14] | 32 | 45° ± 3.5° | 49 | 10.8 | 0.5 | 2.78 | N/A | 1 | SIW, Single-end |
| 90° ± 2.5° | 49 | 13 | 0.75 | 4.66 | |||||
| [15] | 10 | 11.25° | 9.6 | 10 | 0.88 | 0.73 | N/A | 1 | SIW, Single-end |
| 45° | 6.9 | 10 | 2.32 | 0.73 | |||||
| [16] | 6 | 45° ± 2.5° | 60 | 10 | 2.5 | 2.77 | N/A | 3 | SIW, Single-end |
| 90° ± 3° | 55 | 2.86 | |||||||
| [18] | 33 | 43° ± 6° | 42.4 | 12.5 | 0.52 | 5.43 | N/A | 3 | SIW, Single-end |
| 34.4 | 90° ± 5° | 12 | 10 | 0.52 | 15.2 | ||||
| [20] | 4.5 | 90° ± 3.5° | 43 | 12 | 1.6 | 0.44 | N/A | 1 | SIW, Single-end |
| [22] | 41 | 90° ± 6° | 39 | 25 | 0.2 | 3 | N/A | 1 | SIW, Single-end |
| This work | 3.5 | 45° ± 2° | 20 | 15 | 0.8 | 1.2 | 59 | 1 | SIW, Single-end |
| 90° ± 4.5° | 20 | 0.82 | 1.4 | 59 | |||||
| 135° ± 6° | 20 | 0.93 | 1.6 | 58 | |||||
| 180° ± 8° | 20 | 1 | 1.8 | 57 |
Disclaimer/Publisher’s Note: The statements, opinions and data contained in all publications are solely those of the individual author(s) and contributor(s) and not of MDPI and/or the editor(s). MDPI and/or the editor(s) disclaim responsibility for any injury to people or property resulting from any ideas, methods, instructions or products referred to in the content. |
© 2023 by the authors. Licensee MDPI, Basel, Switzerland. This article is an open access article distributed under the terms and conditions of the Creative Commons Attribution (CC BY) license (https://creativecommons.org/licenses/by/4.0/).
Share and Cite
Zhang, W.; Shi, J.; Wu, G.; Lin, L.; Xu, K. A Balanced Substrate Integrated Waveguide Phase Shifter with Wideband Common-Mode Suppression. Micromachines 2023, 14, 285. https://doi.org/10.3390/mi14020285
Zhang W, Shi J, Wu G, Lin L, Xu K. A Balanced Substrate Integrated Waveguide Phase Shifter with Wideband Common-Mode Suppression. Micromachines. 2023; 14(2):285. https://doi.org/10.3390/mi14020285
Chicago/Turabian StyleZhang, Wei, Jin Shi, Gangxiong Wu, Longlong Lin, and Kai Xu. 2023. "A Balanced Substrate Integrated Waveguide Phase Shifter with Wideband Common-Mode Suppression" Micromachines 14, no. 2: 285. https://doi.org/10.3390/mi14020285
APA StyleZhang, W., Shi, J., Wu, G., Lin, L., & Xu, K. (2023). A Balanced Substrate Integrated Waveguide Phase Shifter with Wideband Common-Mode Suppression. Micromachines, 14(2), 285. https://doi.org/10.3390/mi14020285

