A Novel SiC Trench MOSFET with Self-Aligned N-Type Ion Implantation Technique
Abstract
:1. Introduction
2. Device Structure and Parameters
3. Device Simulation and Results Discussion
4. Device Fabrication Process
5. Conclusions
Author Contributions
Funding
Data Availability Statement
Conflicts of Interest
References
- Elasser, A.; Chow, T.P. Silicon carbide benefits and advantages for power electronics circuits and systems. Proc. IEEE 2022, 90, 969–986. [Google Scholar] [CrossRef]
- Kimoto, T.; Watanabe, H. Defect engineering in SiC technology for high-voltage power devices. Appl. Phys. Express 2020, 13, 120101. [Google Scholar] [CrossRef]
- Han, D.; Noppakunkajorn, J.; Sarlioglu, B. Comprehensive Efficiency, Weight, and Volume Comparison of SiC- and Si-Based Bidirectional DC–DC Converters for Hybrid Electric Vehicles. IEEE Trans. Veh. Technol. 2014, 63, 3001–3010. [Google Scholar] [CrossRef]
- Umegami, H.; Harada, T.; Nakahara, K. Performance Comparison of Si IGBT and SiC MOSFET Power Module Driving IPMSM or IM under WLTC. World Electr. Veh. J. 2023, 14, 112. [Google Scholar] [CrossRef]
- Shi, B.; Ramones, A.I.; Liu, Y.; Wang, H.; Li, Y.; Pischinger, S.; Andert, J. A review of silicon carbide MOSFETs in electrified vehicles: Application, challenges, and future development. IET Power Electron. 2023, 16, 2103–2120. [Google Scholar] [CrossRef]
- Chung, G.Y.; Tin, C.C.; Williams, J.R.; McDonald, K.; Chanana, R.K.; Weller, R.A.; Pantelides, S.T.; Feldman, L.C.; Holland, O.W.; Das, M.K.; et al. Improved inversion channel mobility for 4H–SiC MOSFETs following high temperature anneals in nitric oxide. IEEE Electron Device Lett. 2001, 22, 176–178. [Google Scholar] [CrossRef]
- Dhar, S.; Wang, S.R.; Ahyi, A.C.; Isaacs-Smith, T.; Pantelides, S.T.; Williams, J.R.; Feldman, L.C. Nitrogen and hydrogen induced trap passivation at the SiO2/4H-SiC interface. Mater. Sci. Forum 2006, 527–529, 949–954. [Google Scholar] [CrossRef]
- Tachiki, K.; Mikami, K.; Ito, K. Mobility enhancement in heavily doped 4H-SiC (0001), (11–20), and (1–100) MOSFETs via an oxidation-minimizing process. Appl. Phys. Express 2022, 15, 071001. [Google Scholar] [CrossRef]
- Cooper, J.A.; Melloch, M.R.; Singh, R.; Agarwal, A.; Palmour, J.W. Status and prospects for SiC power MOSFETs. IEEE Trans. Electron Devices 2002, 49, 658–664. [Google Scholar] [CrossRef]
- Nakamura, T.; Nakano, Y.; Aketa, M.; Nakamura, R.; Mitani, S.; Sakairi, H.; Yokotsuji, Y. High performance SiC trench devices with ultra–low ron. In Proceedings of the 2011 International Electron Devices Meeting, Washington, DC, USA, 5–7 December 2011. [Google Scholar]
- Shiomi, H.; Kitai, H.; Tamaso, H.; Fukuda, K. Development of a novel 1200-V-class 4H-SiC implantation-and-epitaxial trench MOSFET with low on-resistance. Jpn. J. Appl. Phys. 2016, 55, 04ER06. [Google Scholar] [CrossRef]
- Peters, D.; Siemieniec, R.; Aichinger, T.; Basler, T.; Esteve, R.; Bergner, W.; Kueck, D. Performance and ruggedness of 1200V SiC—Trench—MOSFET. In Proceedings of the 29th International Symposium on Power Semiconductor Devices and IC’s (ISPSD), Sapporo, Japan, 28 May–1 June 2017. [Google Scholar]
- Sugawara, K.; Fukui, Y.; Tanaka, R.; Adachi, K.; Kagawa, Y.; Tomohisa, S.; Miura, N.; Suekawa, E.; Terasaki, Y. A Novel Trench SiC-MOSFETs Fabricated by Multiple-Ion-Implantation into Tilted Trench Side Walls (MIT2-MOS). In Proceedings of the International Exhibition and Conference for Power Electronics, Intelligent Motion, Renewable Energy and Energy Management, Online, 3–7 May 2021. [Google Scholar]
- Shimizu, H.; Suto, T.; Miki, H.; Mori, Y.; Hisamoto, D.; Shima, A.; Kinoshita, K.; Murata, T.; Oda, T. Proposal of Vertical-channel FiN-SiC MOSFET toward Future Device Scaling. In Proceedings of the 35th International Symposium on Power Semiconductor Devices and IC’s (ISPSD), Hong Kong, China, 28 May–1 June 2023. [Google Scholar]
- Kagawa, Y.; Fujiwara, N.; Sugawara, K.; Tanaka, R.; Fukui, Y.; Yamamoto, Y.; Miura, N.; Imaizumi, M.; Nakata, S.; Yamakawa, S. 4H-SiC Trench MOSFET with Bottom Oxide Protection. Mater. Sci. Forum 2014, 778–780, 919–922. [Google Scholar] [CrossRef]
- Wei, J.; Zhang, M.; Jiang, H.; Wang, H.; Chen, K.J. Dynamic Degradation in SiC Trench MOSFET With a Floating p-Shield Revealed With Numerical Simulations. IEEE Trans. Electron Devices 2017, 64, 2592–2598. [Google Scholar] [CrossRef]
- Tanaka, R.; Kagawa, Y.; Fujiwara, N.; Sugawara, K.; Fukui, Y.; Miura, N.; Imaizumi, M.; Yamakawa, S. Impact of Grounding the Bottom Oxide Protection Layer on the Short-Circuit Ruggedness of 4H-SiC Trench MOSFETs. In Proceedings of the 26th International Symposium on Power Semiconductor Devices and IC’s (ISPSD), Waikoloa, HI, USA, 15–19 June 2014. [Google Scholar]
- Nanen, Y.; Kato, M.; Suda, J.; Kimoto, T. Effects of Nitridation on 4H–SiC MOSFETs Fabricated on Various Crystal Faces. IEEE Trans. Electron Devices 2013, 60, 1260–1262. [Google Scholar] [CrossRef]
- Nakazawa, S.; Okuda, T.; Suda, J.; Nakamura, T.; Kimoto, T. Interface Properties of 4H-SiC (1120) and (1100) MOS Structures Annealed in NO. IEEE Trans. Electron Devices 2015, 62, 309–315. [Google Scholar] [CrossRef]
- Caughey, D.M.; Thomas, R.E. Carrier mobilities in silicon empirically related to doping and field. Proc. IEEE 1967, 55, 2192–2193. [Google Scholar] [CrossRef]
- Selberherr, S. Analysis and Simulation of Semiconductor Devices; Springer Science & Business Media: Dordrecht, The Netherlands, 1984. [Google Scholar]
- Konstantinov, A.O.; Wahab, Q.; Nordell, N. Ionization rates and critical fields in 4H silicon carbide. Appl. Phys. Lett. 1997, 71, 90–92. [Google Scholar] [CrossRef]
- Ren, N.; Wang, J.; Sheng, K. Design and Experimental Study of 4H-SiC Trenched Junction Barrier Schottky Diodes. IEEE Trans. Electron Devices 2014, 61, 2459–2465. [Google Scholar] [CrossRef]
- Xu, H.; Ren, N.; Zhu, Z.; Wu, J.; Liu, L.; Guo, Q.; Sheng, K. Methodology for Enhanced Surge Robustness of 1.2-kV SiC MOSFET Body Diode. IEEE Trans. Emerg. Sel. Topics Power Electron 2020, 10, 5039–5047. [Google Scholar] [CrossRef]
- Zhong, X.; Wang, B.; Sheng, K. Design and experimental demonstration of 1.35 kV SiC super junction Schottky diode. In Proceedings of the 28th International Symposium on Power Semiconductor Devices and IC’s (ISPSD), Prague, Czech Republic, 12–16 June 2016. [Google Scholar]
- Wang, C.; Wang, H.; Wang, B.; Cheng, H.; Sheng, K. Characterization and Analysis of 4H-SiC Super Junction JFETs Fabricated by Sidewall Implantation. IEEE Trans. Electron Devices 2022, 69, 2543–2551. [Google Scholar] [CrossRef]
- Yu, L.C.; Dunne, G.T.; Matocha, K.S.; Cheung, K.P.; Suehle, J.S.; Sheng, K. Reliability Issues of SiC MOSFETs: A Technology for High-Temperature Environments. IEEE Trans. Device Mater. Reliab. 2010, 10, 418–426. [Google Scholar] [CrossRef]
- Zhu, S.; Shi, L.; Jin, M.; Qian, J.; Bhattacharya, M.; Maddi, H.L.R.; White, M.H.; Agarwal, A.K.; Liu, T.; Shimbori, A.; et al. Reliability Comparison of Commercial Planar and Trench 4H-SiC Power MOSFETs. In Proceedings of the 2023 IEEE International Reliability Physics Symposium (IRPS), Monterey, CA, USA, 26–30 March 2023. [Google Scholar]
- Matocha, K.; Dunne, G.; Soloviev, S.; Beaupre, R. Time-Dependent Dielectric Breakdown of 4H-SiC MOS Capacitors and DMOSFETs. IEEE Trans. Electron Devices 2008, 55, 1830–1834. [Google Scholar] [CrossRef]
- Liu, T.; Zhu, S.; White, M.H.; Salemi, A.; Sheridan, D.; Agarwal, A.K. Time-Dependent Dielectric Breakdown of Commercial 1.2 kV 4H-SiC Power MOSFETs. IEEE J. Electron Devices Soc. 2021, 9, 633–639. [Google Scholar] [CrossRef]
- Huang, X.; Wang, G.; Li, Y.; Huang, A.Q.; Baliga, B.J. Short circuit capability of 1200V SiC MOSFET and JFET for fault protection. In Proceedings of the 2013 Twenty-Eighth Annual IEEE Applied Power Electronics Conference and Exposition (APEC), Long Beach, CA, USA, 17–21 March 2013. [Google Scholar]
- Lin, C.; Ren, N.; Xu, H.; Sheng, K. Performance and Short circuit Reliability of SiC MOSFETs With Enhanced JFET Doping Design. IEEE Trans. Electron Devices 2023, 70, 2395–2402. [Google Scholar] [CrossRef]
- Lin, C.; Ren, N.; Xu, H.; Liu, L.; Zhu, Z.; Sheng, K. 1.2-kV Planar SiC MOSFETs With Improved Short circuit Capability by Adding Plasma Spreading Layer. IEEE Trans. Electron Devices 2023, 70, 4730–4736. [Google Scholar] [CrossRef]
- Zhang, M.; Wei, J.; Jiang, H.; Chen, K.J.; Cheng, C.H. A New SiC Trench MOSFET Structure With Protruded P-Base for Low Oxide Field and Enhanced Switching Performance. IEEE Trans. Device Mater. Reliab. 2017, 17, 432–437. [Google Scholar] [CrossRef]
- Kim, D.; DeBoer, S.; Jang, S.Y.; Morgan, A.J.; Sung, W. Improved Blocking and Switching Characteristics of Split-Gate 1.2 kV 4H–SiC MOSFET with a Deep P-well. In Proceedings of the 35th International Symposium on Power Semiconductor Devices and IC’s (ISPSD), Hong Kong, China, 28 May–1 June 2023. [Google Scholar]
- Kim, D.; DeBoer, S.; Mancini, S.A.; Isukapati, S.B.; Lynch, J.; Yun, N.; Morgan, A.J.; Jang, S.Y.; Sung, W. Static, Dynamic, and Short circuit Characteristics of Split-Gate 1.2 kV 4H-SiC MOSFETs. In Proceedings of the 2023 IEEE International Reliability Physics Symposium (IRPS), Monterey, CA, USA, 26–30 March 2023. [Google Scholar]










| Parameters | Value | Unit |
|---|---|---|
| N+ doping | 1.0 × 1019 | cm–3 |
| N+ thickness | 0.3 | μm |
| P+ doping | 2.0 × 1018 | cm–3 |
| P-well doping | 1.5 × 1017 | cm–3 |
| P-well thickness | 0.4 | μm |
| CSL doping | 5.0 × 1016 | cm–3 |
| CSL thickness | 0.6 | μm |
| P-epi doping | 6.0 × 1017 | cm–3 |
| P-epi thickness | 0.5 | μm |
| N-imp doping | 1.0 × 1017 | cm–3 |
| Trench width (TW) | 1.0 | μm |
| Trench depth (TD) | 1.0 | μm |
| Lateral spacing between trench sidewall and N-imp (Wsp) | 0–0.4 | μm |
| DTMOS | NITMOS (Wsp/μm) | Unit | ||||
|---|---|---|---|---|---|---|
| 0 | 0.1 | 0.2 | 0.3 | |||
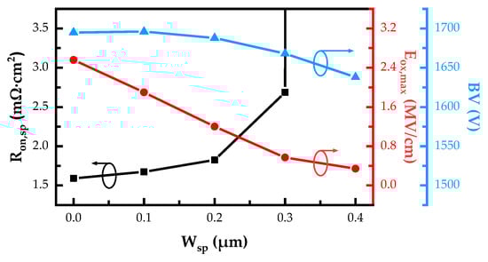
| Ron,sp | 1.92 | 1.59 | 1.67 | 1.82 | 2.69 | mΩ·cm2 |
| BV | 1676 | 1694 | 1696 | 1688 | 1668 | V |
| Eox,max | 2.62 | 2.56 | 1.90 | 1.20 | 0.57 | MV/cm |
| BFOM a | 1.46 | 1.81 | 1.72 | 1.56 | 1.03 | GW/cm2 |
| Cgd b | 153 | 94 | 60 | 32 | 12 | pF/cm2 |
| Qgd | 323 | 361 | 282 | 201 | 123 | nC/cm2 |
| Qgd × Ron,sp | 620 | 574 | 471 | 366 | 331 | mΩ·nC |
| Device | Formation of the P-Type Shield Region | Shorted to the Source (Grounding) |
|---|---|---|
| SiC NITMOS | 1. The P-epi layer partially counter-doped by a self-aligned N-type ion implantation | — |
| SiC DTMOS [10] | 1. The etching of the source trench 2. The vertical self-aligned P-type ion implantation into the bottom of the source trench | The titled P-type ion implantation into the sidewalls of the source trench |
| SiC IETMOS [11] | 1. 1st P-type ion implantation in the N-type drift to form 1st P+ shield region 2. Followed by an N-type epi-layer regrowth 3. 2nd P-type ion implantation in the N-type epi-layer to form 2nd P+ shield region 4. A P-type epi-layer regrowth used as the P-well | — |
| SiC ATMOS [12] | 1. The ultra-high energy P-type ion implantation | — |
| SiC MIT2-MOS [13] | 1. The vertical self-aligned P-type ion implantation into the bottom of the gate trench | The tilted P-type ion implantation into the one side of the gate trench sidewall |
| Fin-SiC TMOS [14] | 1. The ultra-high energy P-type ion implantation | — |
Disclaimer/Publisher’s Note: The statements, opinions and data contained in all publications are solely those of the individual author(s) and contributor(s) and not of MDPI and/or the editor(s). MDPI and/or the editor(s) disclaim responsibility for any injury to people or property resulting from any ideas, methods, instructions or products referred to in the content. |
© 2023 by the authors. Licensee MDPI, Basel, Switzerland. This article is an open access article distributed under the terms and conditions of the Creative Commons Attribution (CC BY) license (https://creativecommons.org/licenses/by/4.0/).
Share and Cite
Wang, B.; Xu, H.; Ren, N.; Wang, H.; Huang, K.; Sheng, K. A Novel SiC Trench MOSFET with Self-Aligned N-Type Ion Implantation Technique. Micromachines 2023, 14, 2212. https://doi.org/10.3390/mi14122212
Wang B, Xu H, Ren N, Wang H, Huang K, Sheng K. A Novel SiC Trench MOSFET with Self-Aligned N-Type Ion Implantation Technique. Micromachines. 2023; 14(12):2212. https://doi.org/10.3390/mi14122212
Chicago/Turabian StyleWang, Baozhu, Hongyi Xu, Na Ren, Hengyu Wang, Kai Huang, and Kuang Sheng. 2023. "A Novel SiC Trench MOSFET with Self-Aligned N-Type Ion Implantation Technique" Micromachines 14, no. 12: 2212. https://doi.org/10.3390/mi14122212
APA StyleWang, B., Xu, H., Ren, N., Wang, H., Huang, K., & Sheng, K. (2023). A Novel SiC Trench MOSFET with Self-Aligned N-Type Ion Implantation Technique. Micromachines, 14(12), 2212. https://doi.org/10.3390/mi14122212

