The Extraction of Coupling-of-Modes Parameters in a Layered Piezoelectric Substrate and Its Application to a Double-Mode SAW Filter
Abstract
:1. Introduction
2. Experimental Methods
2.1. COM Theory and P-Matrix Model
2.2. COM Parameter Extraction
2.3. Model Verification
3. Results and Discussion
3.1. Simulation of Resonators
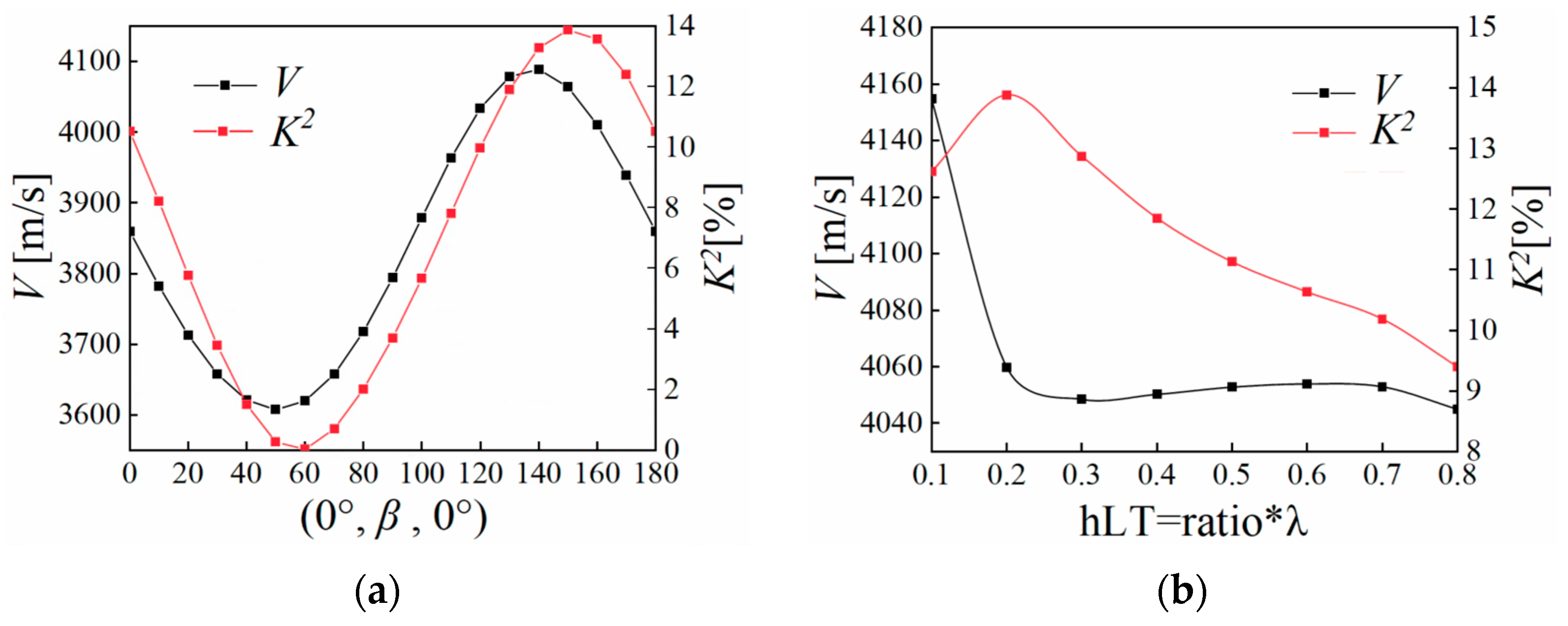
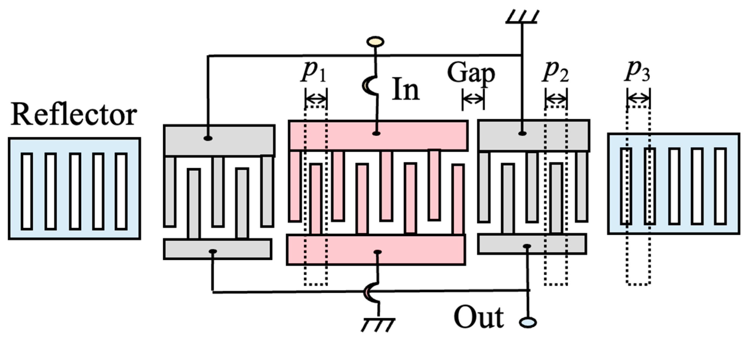
3.2. Simulation of DMS Filters
4. Conclusions
Author Contributions
Funding
Data Availability Statement
Conflicts of Interest
References
- Bartasyte, A.; Margueron, S.; Baron, T.; Oliveri, S.; Boulet, P. Toward High-Quality Epitaxial LiNbO3 and LiTaO3 Thin Films for Acoustic and Optical Applications. Adv. Mater. Interfaces 2017, 4, 1600998. [Google Scholar] [CrossRef]
- Hashimoto, K.; Kadota, M.; Nakao, T.; Ueda, M.; Miura, M.; Nakamura, H.; Nakanishi, H.; Suzuki, K. Recent development of temperature compensated SAW Devices. In Proceedings of the 2011 IEEE International Ultrasonics Symposium, Orlando, FL, USA, 18–21 October 2011; pp. 79–86. [Google Scholar]
- Shiba, T.; Ooki, M.; Hamasaki, J.; Hikino, O.; Fujita, Y. 6J-2 Study of High Isolation and Miniature SAW Duplexer. In Proceedings of the 2006 IEEE Ultrasonics Symposium, Vancouver, BC, Canada, 2–6 October 2006; pp. 1060–1064. [Google Scholar]
- Takai, T.; Iwamoto, H.; Takamine, Y.; Fuyutsume, T.; Nakao, T.; Hiramoto, M.; Toi, T.; Koshino, M.I.H.P. SAW Technology and Its Application to Microacoustic Components (Invited). In Proceedings of the 2017 IEEE International Ultrasonics Symposium (IUS), Washington, DC, USA, 6–9 September 2017. [Google Scholar]
- Li, Q.; Fu, S.-L.; Song, C.; Wang, G.-Y.; Zeng, F.; Pan, F. Improved resistance to electromigration and acoustomigration of Al interdigital transducers by Ni underlayer. Rare Met. 2018, 37, 823–830. [Google Scholar] [CrossRef]
- Urabe, S.; Uno, T.; Onuki, K. SAW Device Application to Public Telecommunication System in Japan. Jpn. J. Appl. Phys. 1983, 22, 12. [Google Scholar] [CrossRef]
- Fujimaki, T.; Suzuki, M.; Kakio, S. Analysis of leaky surface acoustic waves on LiNbO3 or LiTaO3 thin plate bonded to similar-material substrates. Jpn. J. Appl. Phys. 2020, 59, SKKC01. [Google Scholar] [CrossRef]
- Naumenko, N.F. High-velocity non-attenuated acoustic waves in LiTaO3/quartz layered substrates for high frequency resonators. Ultrasonics 2019, 95, 1–5. [Google Scholar] [CrossRef] [PubMed]
- Su, R.; Fu, S.; Shen, J.; Lu, Z.; Xu, H.; Wang, R.; Song, C.; Zeng, F.; Wang, W.; Pan, F. Wideband Surface Acoustic Wave Filter at 3.7 GHz With Spurious Mode Mitigation. IEEE Trans. Microwave Theory Techn. 2023, 71, 480–487. [Google Scholar] [CrossRef]
- Plessky, V.; Koskela, J. Coupling-of-Modes Analysis of Saw Devices. Int. J. High Speed Electron. Syst. 2000, 10, 867–947. [Google Scholar] [CrossRef]
- Kazuhiro Hirota, K.H.; Kiyoshi Nakamura, K.N. Equivalent Circuit of Interdigital Transducers Based on Coupling-of-Modes Theory Considering Electrode Resistivity and Propagation Loss. Jpn. J. Appl. Phys. 1994, 33, 2972. [Google Scholar] [CrossRef]
- Huang, Y.; Bao, J.; Li, X.; Zhang, B.; Omori, T.; Hashimoto, K. Parameter extraction of coupling-of-modes equations including coupling between two surface acoustic waves on SiO2/Cu/LiNbO3 structures. Jpn. J. Appl. Phys. 2018, 57, 07LD13. [Google Scholar] [CrossRef]
- Tang, G.; Goto, R.; Nakamura, H. Modeling and Suppression Method for Guided Mode in TC-SAW Devices. In Proceedings of the 2019 IEEE International Ultrasonics Symposium (IUS), Glasgow, UK, 6–9 October 2019; pp. 2087–2090. [Google Scholar]
- Koshiba, M.; Ohbuchi, K. An Analysis of Surface-Acoustic-Wave Devices Using Coupling-of-Mode Theory and Finite-Element Method. Jpn. J. Appl. Phys. 1991, 30, 140. [Google Scholar] [CrossRef]
- Shaposhnikov, K.; Kaltenbacher, M.; Nicolay, P. Fast full-FEM computation of COM parameters. Application to multilayered SAW structures. In Proceedings of the 2014 IEEE International Ultrasonics Symposium, Chicago, IL, USA, 3–6 September 2014; pp. 1501–1504. [Google Scholar]
- Laude, V.; Reinhardt, A.; Ballandras, S.; Khelif, A. Fast FEM/BEM computation of SAW harmonic admittance and slowness curves. In Proceedings of the IEEE Ultrasonics Symposium, Montreal, QC, Canada, 23–27 August 2004; Volume 1, pp. 445–448. [Google Scholar]
- Dufilie, P.; Ventura, P.; Hecht, F. COM parameters for thick metal and partially buried electrodes extracted from a mixed FEM/BEM numerical model. In Proceedings of the 2012 IEEE International Ultrasonics Symposium, Dresden, Germany, 7–10 October 2012; pp. 807–810. [Google Scholar]
- Ventura, P.; Hode, J.M.; Solal, M.; Desbois, J.; Ribbe, J. Numerical methods for SAW propagation characterization. In Proceedings of the 1998 IEEE Ultrasonics Symposium, Sendai, Japan, 5–8 October 1998; Volume 1, pp. 175–186. [Google Scholar]
- Solal, M.; Chen, L.; Gratier, J. Measurement and FEM/BEM simulation of transverse effects in SAW resonators in lithium tantalate. In Proceedings of the 2010 IEEE International Ultrasonics Symposium, San Diego, CA, USA, 11–14 October 2010; pp. 175–180. [Google Scholar]
- Laude, V.; Reinhardt, A.; Wilm, M.; Khelif, A.; Ballandras, S. Fast FEM/BEM Simulation of SAW Devices via Asymptotic Waveform Evaluation. IEEE Trans. Ultrason. Ferroelectr. Freq. Control 2004, 51, 359–363. [Google Scholar] [CrossRef] [PubMed]
- Taziev, R.M. FEM/BEM for Simulation of LSAW Devices. IEEE Trans. Ultrason. Ferroelectr. Freq. Control 2007, 54, 2060–2069. [Google Scholar] [CrossRef] [PubMed]
- Plessky, V.P. A two parameter coupling-of-modes model for shear horizontal type SAW propagation in periodic gratings. In Proceedings of the 1993 Proceedings IEEE Ultrasonics Symposium, Baltimore, MD, USA, 31 October–3 November 1993; Volume 1, pp. 195–200. [Google Scholar]
- Abbott, B.P.; Hashimoto, K. A coupling-of-modes formalism for surface transverse wave devices. In Proceedings of the 1995 IEEE Ultrasonics Symposium. Proceedings. An International Symposium, Seattle, WA, USA, 7–10 November 1995; Volume 1, pp. 239–245. [Google Scholar]
- Zhang, Q.; Han, T.; Chen, J.; Wang, W.; Hashimoto, K. Enhanced coupling factor of surface acoustic wave devices employing ScAlN/diamond layered structure with embedded electrodes. Diam. Relat. Mater. 2015, 58, 31–34. [Google Scholar] [CrossRef]
- Lin, J. Precise and full extraction of the coupling-of-mode parameters with periodic Green’s function. Sci. China Ser. F 2003, 46, 298. [Google Scholar] [CrossRef]
- Sun, X.; Zhou, S.; Cheng, J.; Lin, D.; Liu, W. Full extraction of the COM parameters for Rayleigh type surface acoustic wave. AIP Adv. 2022, 12, 025007. [Google Scholar] [CrossRef]
- Li, L.; Zhang, Q.; Li, B.; Tian, Y.; Li, H. A New Method for Temperature Dependent COM Parameters Extraction and Its Application to Simula-tion of SAW Devices. In Proceedings of the International Congress on Ultrasonics, Beijing, China, 18–21 September 2023. [Google Scholar]
- Wu, Z.; Wu, S.; Qian, H.; Bao, F.; Yang, G.; Zou, J.; Tang, G. High-Q SH-SAW Resonator Using 36° YX−LiTaO3 on SiC. In Proceedings of the 2022 Joint Conference of the European Frequency and Time Forum and IEEE International Frequency Control Symposium (EFTF/IFCS), Paris, France, 24–28 April 2022; pp. 1–4. [Google Scholar]
- Shen, J.; Fu, S.; Su, R.; Xu, H.; Lu, Z.; Zhang, Q.; Zeng, F.; Song, C.; Wang, W.; Pan, F. SAW Filters With Excellent Temperature Stability and High Power Handling Using LiTaO3/SiC Bonded Wafers. J. Microelectromech. Syst. 2022, 31, 186–193. [Google Scholar] [CrossRef]
- Tohyama, K.; Hori, Y.; Iwasaki, Y.; Suzuki, K. A Study on Temperature-Compensated Hybrid Substrates for Surface Acoustic Wave Filters. In Proceedings of the 2010 IEEE International Ultrasonics Symposium, San Diego, CA, USA, 11–14 October 2010. [Google Scholar]
- Lu, Z.; Fu, S.; Chen, Z.; Shen, J.; Su, R.; Wang, R.; Song, C.; Zeng, F.; Wang, W.; Pan, F. High-frequency and high-temperature stable surface acoustic wave devices on ZnO/SiO2/SiC structure. J. Phys. D Appl. Phys. 2020, 53, 305102. [Google Scholar] [CrossRef]
- Morita, T.; Watanabe, Y.; Tanaka, M.; Nakazawa, Y. Wideband low loss double mode SAW filters. In Proceedings of the IEEE 1992 Ultrasonics Symposium Proceedings, Tucson, AZ, USA, 20–23 October 1992; pp. 95–104. [Google Scholar]











| Parameters | Ref. [25] | Ref. [26] | This Work | |
|---|---|---|---|---|
| T [℃] | 25 | 25 | 25 | 100 |
| 3899.98 | 3901 | 3899 | 3876 | |
| −3.95 | −3.95 | −3.89 | −3.93 | |
| 68.618 | 69.65 | 69.81 | 70.15 | |
| 49.263 | 48.36 | 49.3 | 48.3 | |
| Parameters | Value |
|---|---|
| Wavelength (λ) | 4 (μm) |
| Aperture | 15 ∗ λ |
| IDT thickness | 0.06 ∗ λ |
| Metallization ratio | 0.4 |
| Number of IDT finger pairs | 75 |
| Number of reflector strips | 40 |
| Parameters | T = −50 °C | T = 25 °C | T = 100 °C |
|---|---|---|---|
| 4128 | 4122 | 4116 | |
| −28.94 | −28.66 | −28.19 | |
| 86.93 | 86.62 | 85.83 | |
| 29.30 | 29.91 | 30.73 | |
| 0.00231 | 0.00232 | 0.00232 |
| Structure Configuration | K2 (%) | V (m/s) | TCFr (ppm/°C) | TCFa (ppm/°C) | Qr |
|---|---|---|---|---|---|
| Bulk 36°YX−LT | 10.16 | 4075 | −30.21 | −48.01 | 773 |
| 29°YX−LT/SiO2/SiC | 13.92 | 4122 | −10.67 | −40.36 | 1265 |
| Parameters | Value |
|---|---|
| p1 | 2 [μm] |
| p2 | 1.9 [μm] |
| p3 | 2.3 [μm] |
| Gap | 1 [μm] |
| IDT finger pairs of the input part | 15.5 |
| IDT finger pairs of the output part | 9 |
| Number of reflector strips | 60 |
| Structure Configuration | Insert Loss (dB) | TCFl (ppm°C−1) | TCFh (ppm°C−1) |
|---|---|---|---|
| Bulk 36°YX−LT | −3 | −32.87 | −37.55 |
| 29°YX−LT/SiO2/SiC | −2 | −14.35 | −22.02 |
Disclaimer/Publisher’s Note: The statements, opinions and data contained in all publications are solely those of the individual author(s) and contributor(s) and not of MDPI and/or the editor(s). MDPI and/or the editor(s) disclaim responsibility for any injury to people or property resulting from any ideas, methods, instructions or products referred to in the content. |
© 2023 by the authors. Licensee MDPI, Basel, Switzerland. This article is an open access article distributed under the terms and conditions of the Creative Commons Attribution (CC BY) license (https://creativecommons.org/licenses/by/4.0/).
Share and Cite
Li, L.; Zhang, Q.; Yang, Y.; Li, B.; Tian, Y.; Zhao, X.; Fu, S. The Extraction of Coupling-of-Modes Parameters in a Layered Piezoelectric Substrate and Its Application to a Double-Mode SAW Filter. Micromachines 2023, 14, 2205. https://doi.org/10.3390/mi14122205
Li L, Zhang Q, Yang Y, Li B, Tian Y, Zhao X, Fu S. The Extraction of Coupling-of-Modes Parameters in a Layered Piezoelectric Substrate and Its Application to a Double-Mode SAW Filter. Micromachines. 2023; 14(12):2205. https://doi.org/10.3390/mi14122205
Chicago/Turabian StyleLi, Lingqi, Qiaozhen Zhang, Yang Yang, Baichuan Li, Yahui Tian, Xiangyong Zhao, and Sulei Fu. 2023. "The Extraction of Coupling-of-Modes Parameters in a Layered Piezoelectric Substrate and Its Application to a Double-Mode SAW Filter" Micromachines 14, no. 12: 2205. https://doi.org/10.3390/mi14122205
APA StyleLi, L., Zhang, Q., Yang, Y., Li, B., Tian, Y., Zhao, X., & Fu, S. (2023). The Extraction of Coupling-of-Modes Parameters in a Layered Piezoelectric Substrate and Its Application to a Double-Mode SAW Filter. Micromachines, 14(12), 2205. https://doi.org/10.3390/mi14122205

