A Compact MIMO Antenna with Improved Isolation for ISM, Sub-6 GHz, and WLAN Application
Abstract
1. Introduction
2. Antenna Geometry and Design Methodology
2.1. Geometry of the Proposed MIMO Antenna
2.2. Design Methodology
3. Results and Discussion
3.1. Fabrication and Measurement Setup
3.2. Scattering Parameters of the Proposed MIMO Antenna
3.3. Far-Field Parameters
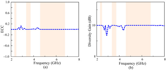
3.4. Diversity Performance of MIMO Antenna
3.5. Comparison with State-of-the-ArtWork
4. Conclusions
Author Contributions
Funding
Conflicts of Interest
References
- Honma, N.; Murata, K. Correlation in MIMO antennas. Electronics 2020, 9, 651. [Google Scholar] [CrossRef]
- Khurshid, A.; Dong, J.; Ahmad, M.S.; Shi, R. Optimized super-wideband MIMO antenna with high isolation for IoT applications. Micromachines 2022, 13, 514. [Google Scholar] [CrossRef] [PubMed]
- Dangi, R.; Lalwani, P.; Choudhary, G.; You, I.; Pau, G. Study and investigation on 5G technology: A systematic review. Sensors 2022, 22, 26. [Google Scholar] [CrossRef]
- Abbas, A.; Hussain, N.; Sufian, M.A.; Jung, J.; Park, S.M.; Kim, N. Isolation and gain improvement of a rectangular notch UWB-MIMO antenna. Sensors 2022, 22, 1460. [Google Scholar] [CrossRef] [PubMed]
- Yang, R.; Xi, S.; Cai, Q.; Chen, Z.; Wang, X.; Liu, G. A compact planar dual-band multiple-input and multiple-output antenna with high isolation for 5G and 4G applications. Micromachines 2021, 12, 544. [Google Scholar] [CrossRef]
- Yeom, I.; Jung, Y.B.; Jung, C.W. Wide and dual-band MIMO antenna with omnidirectional and directional radiation patterns for indoor access points. J. Electromagn. Eng. Sci. 2019, 19, 20–30. [Google Scholar] [CrossRef]
- Ikram, M.; Nguyen-Trong, N.; Abbosh, A. Multiband MIMO microwave and millimeter antenna system employing dual-function tapered slot structure. IEEE Trans. Antennas Propag. 2019, 67, 5705–5710. [Google Scholar] [CrossRef]
- Alharbi, A.G.; Kulkarni, J.; Desai, A.; Sim, C.Y.D.; Poddar, A. A multi-slot two-antenna MIMO with high isolation for Sub-6 GHz 5G/IEEE802. 11ac/ax/C-band/X-band wireless and satellite applications. Electronics 2022, 11, 473. [Google Scholar] [CrossRef]
- Abdulkawi, W.M.; Malik, W.A.; Rehman, S.U.; Aziz, A.; Sheta, A.F.A.; Alkanhal, M.A. Design of a compact dual-band MIMO antenna system with high-diversity gain performance in both frequency bands. Micromachines 2021, 12, 383. [Google Scholar] [CrossRef]
- Chouhan, S.; Panda, D.K.; Kushwah, V.S.; Singhal, S. Spider-shaped fractal MIMO antenna for WLAN/WiMAX/Wi-Fi/Bluetooth/C-band applications. A.E.U. Int. J. Electron. Commun. 2019, 110, 152871. [Google Scholar] [CrossRef]
- Saleem, R.; Bilal, M.; Chattha, H.T.; Rehman, S.U.; Mushtaq, A.; Shafique, M.F. An FSS based multiband MIMO system incorporating 3D antennas for WLAN/WiMAX/5G cellular and 5G Wi-Fi applications. IEEE Access 2019, 7, 144732–144740. [Google Scholar] [CrossRef]
- Fang, Q.; Mi, D.; Yin, Y.Z. A tri-band MIMO antenna for WLAN/WiMAX application. Prog. Electromagn. Res. Lett. 2015, 55, 75–80. [Google Scholar] [CrossRef][Green Version]
- Sahu, N.K.; Das, G.; Gangwar, R.K. Dual polarized triple-band dielectric resonator-based hybrid MIMO antenna for WLAN/WiMAX applications. Microw. Opt. Technol. Lett. 2018, 60, 1033–1041. [Google Scholar] [CrossRef]
- Rajeshkumar, V.; Rajkumar, R. SRR loaded compact tri-band MIMO antenna for WLAN/Wi-MAX applications. Prog. Electromagn. Res. Lett. 2021, 95, 43–53. [Google Scholar] [CrossRef]
- Lin, I.K.C.; Jamaluddin, M.H.; Awang, A.; Selvaraju, R.; Dahri, M.H.; Yen, L.C.; Rahim, H.A. A triple band hybrid MIMO rectangular dielectric resonator antenna for LTE applications. IEEE Access 2019, 7, 122900–122913. [Google Scholar]
- Karimian, R.; Tadayon, H. Multiband MIMO antenna system with parasitic elements for WLAN and WiMAX application. Int. J. Antennas Propag. 2013, 2013, 365719. [Google Scholar] [CrossRef]
- Naji, D.K. Miniature slotted semi-circular dual-band antenna for WiMAX and WLAN applications. J. Electromagn. Eng. Sci. 2020, 20, 115–124. [Google Scholar] [CrossRef]
- Kirtania, S.G.; Younes, B.A.; Hossain, A.R.; Karacolak, T.; Sekhar, P.K. CPW-Fed flexible ultra-wideband antenna for IoT applications. Micromachines 2021, 12, 453. [Google Scholar] [CrossRef]
- Liu, L.; Yang, Y.; Yu, C.; Li, S.; Wu, H.; Sun, L.; Meng, F. A substrate integrated waveguide-based W-band antenna for microwave power transmission. Micromachines 2022, 13, 986. [Google Scholar] [CrossRef]
- EMTI Electromagnetic Wave Technology Institute Korea Radio Promotion Association. Available online: https://emti.or.kr (accessed on 20 May 2022).
- Hussain, N.; Jeong, M.J.; Park, J.; Kim, N. A broadband circularly polarized Fabry-Perot resonant antenna using a single-layered P.R.S. for 5G MIMO applications. IEEE Access 2019, 7, 42897–42907. [Google Scholar] [CrossRef]
- Khan, M.I.; Khattak, M.I.; Al-Hasan, M. Miniaturized MIMO antenna with low inter-radiator transmittance and band rejection features. J. Electromagn. Eng. Sci. 2021, 21, 307–315. [Google Scholar] [CrossRef]
- Arslan, H.; Chen, Z.N.; Di-Benedetto, M.G. Ultra-Wideband Wireless Communication; John Wiley & Sons: Hoboken, NJ, USA, 2006. [Google Scholar]
- Hussain, N.; Jeong, M.J.; Abbas, A.; Kim, N. Metasurface-based single-layer wideband circularly polarized MIMO antenna for 5G millimeter-wave systems. IEEE Access 2020, 8, 130293–130304. [Google Scholar] [CrossRef]
- Ali, H.; Ren, X.-C.; Bari, I.; Bashir, M.A.; Hashmi, A.M.; Khan, M.A.; Majid, S.I.; Jan, N.; Tareen, W.U.K.; Anjum, M.R. Four-port MIMO antenna system for 5G n79 band R.F. devices. Electronics 2022, 11, 35. [Google Scholar] [CrossRef]
- Sufian, M.A.; Hussain, N.; Abbas, A.; Lee, J.; Park, S.G.; Kim, N. Mutual coupling reduction of a circularly polarized MIMO antenna using parasitic elements and DGS for V2X communications. IEEE Access 2022, 10, 56388–56400. [Google Scholar] [CrossRef]









| Parameters | Dimension (mm) | Parameters | Dimension (mm) |
|---|---|---|---|
| W | 48 | W8 | 0.5 |
| W1 | 26 | W9 | 30 |
| W2 | 4.5 | W10 | 5 |
| W3 | 1.5 | W11 | 0.4 |
| W4 | 13 | W12 | 0.5 |
| W5 | 9.15 | W13 | 0.6 |
| W6 | 5.9 | W14 | 0.5 |
| W7 | 4 | L | 31 |
| L1 | 9 | L7 | 1 |
| L2 | 0.5 | L8 | 3.5 |
| L3 | 2 | L9 | 12.6 |
| L4 | 6 | L10 | 1 |
| L5 | 4 | R | 5 |
| L6 | 2 | hs | 1.6 |
| hp | 0.035 | Ws | 2 |
| Ref. | Isolation Improvement Techniques | Overall Size (mm3) | Operating Bands (GHz) | Peak Gain (dBi) | Min. Isolation (dB) | Max. Isolation (dB) | ECC | Diversity Gain (dBi) |
|---|---|---|---|---|---|---|---|---|
| [6] | Multi-layered decoupling structure | 160 × 160 × 13 | 2.4–2.48 4.905–5.845 | 5.07 6.5 | 17 30 | 30 45 | 0.02 0.007 | No Info. |
| [7] | Slotted ground plane | 104 × 104 × 0.51 | 2.39–2.81 5–5.6 | 3.8 6.2 | 22 24 | 28 39 | 0.001 0.002 | No Info. |
| [8] | Truncated ground plane | 58 × 60 × 1.6 | 1.55–2.65 3.35–3.65 | 2.2 3.8 | 10 18 | 15 30 | 0.07 0.01 | No Info. |
| [9] | Shorted ground with SRR. | 32 × 20 × 0.8 | 3.3–7.75 7.9–12 | 3.2 4.6 | 20 20 | 27 35 | 0.01 0.01 | 9.91 9.95 |
| [10] | Loaded stubs with ground plane | 37 × 56 × 1.6 | 2.25–2.5 3.6–3.99 4.4–4.6 5.7–5.9 | 2.4 3.1 3.2 3.8 | 10 15 15 14 | 13 18 18 16 | 0.05 0.02 0.02 0.01 | 9.995 9.997 9.997 9.996 |
| [11] | Frequency selective grid | 50 × 70 × 11 | 2.2–2.45 2.71–2.92 3.07–3.19 3.44–3.72 5.34–5.56 | 8 2 4.5 3.8 0.5 | 30 33 33 45 23 | 42 52 40 50 28 | 0.052 0.053 0.051 0.05 0.06 | 9.96 9.95 9.96 9.96 9.96 |
| [12] | Slotted ground plane | 50 × 50 × 0.8 | 2.3–2.75 3.4–3.75 4.8–6 | 3.04 3.06 3.89 | 21 18 21 | 32 20 23 | 0.001 0.001 0.03 | No Info. |
| [13] | Slotted ground with metallic strips | 50 × 70 × 1.6 | 2.21–3.13 3.4–3.92 5.62–5.86 | 1.5 4.2 2.3 | 22 26 28 | 33 36 36 | 0.001 0.001 0.003 | 9.997 9.997 9.999 |
| [14] | Slotted ground plane | 40 × 40 × 1.6 | 2.4–2.74 3–3.91 4.9–5.8 | No Info. | 19 13 20 | 21 18 31 | No Info. | No Info. |
| [15] | Physical spacing between elements | 45 × 90 × 13 | 0.89–0.93 1.73–2.09 2.3–2.4 | 1.3 3.7 0.2 | 12.2 17.8 25 | 15.3 33 31 | 0.0005 0.0003 0.006 | 9.995 9.995 9.995 |
| [16] | Separated Ground Plane | 25 × 70 × 1.6 | 2.3–2.52 3.4–3.62 5.6–5.95 | 1.98 3.1 1.6 | 24 22 25 | 30 26 28 | 0.002 0.002 0.001 | No Info. |
| This work | Slotted ground plane | 44 × 31 × 1.6 | 2.28–2.47 3.34–3.73 4.57–6.75 | 1.3 2.9 4.3 | 22 20 23 | 36 32 46 | 0.003 0.002 0.003 | 9.998 9.999 9.998 |
Publisher’s Note: MDPI stays neutral with regard to jurisdictional claims in published maps and institutional affiliations. |
© 2022 by the authors. Licensee MDPI, Basel, Switzerland. This article is an open access article distributed under the terms and conditions of the Creative Commons Attribution (CC BY) license (https://creativecommons.org/licenses/by/4.0/).
Share and Cite
Bayarzaya, B.; Hussain, N.; Awan, W.A.; Sufian, M.A.; Abbas, A.; Choi, D.; Lee, J.; Kim, N. A Compact MIMO Antenna with Improved Isolation for ISM, Sub-6 GHz, and WLAN Application. Micromachines 2022, 13, 1355. https://doi.org/10.3390/mi13081355
Bayarzaya B, Hussain N, Awan WA, Sufian MA, Abbas A, Choi D, Lee J, Kim N. A Compact MIMO Antenna with Improved Isolation for ISM, Sub-6 GHz, and WLAN Application. Micromachines. 2022; 13(8):1355. https://doi.org/10.3390/mi13081355
Chicago/Turabian StyleBayarzaya, Batchingis, Niamat Hussain, Wahaj Abbas Awan, Md. Abu Sufian, Anees Abbas, Domin Choi, Jaemin Lee, and Nam Kim. 2022. "A Compact MIMO Antenna with Improved Isolation for ISM, Sub-6 GHz, and WLAN Application" Micromachines 13, no. 8: 1355. https://doi.org/10.3390/mi13081355
APA StyleBayarzaya, B., Hussain, N., Awan, W. A., Sufian, M. A., Abbas, A., Choi, D., Lee, J., & Kim, N. (2022). A Compact MIMO Antenna with Improved Isolation for ISM, Sub-6 GHz, and WLAN Application. Micromachines, 13(8), 1355. https://doi.org/10.3390/mi13081355

