Design and Fabrication of a Tunable Optofluidic Microlens Driven by an Encircled Thermo-Pneumatic Actuator
Abstract
:1. Introduction
2. Design and Analysis
2.1. Lens Concept
2.2. Lens Design
2.3. Thermo-Pneumatic Actuator Design
2.3.1. Thermo-Mechanical Model
2.3.2. Electro-Thermal Model
3. Fabrication and Assembly
3.1. D-Printed Microfluidic Chip
3.2. Lens Assembly
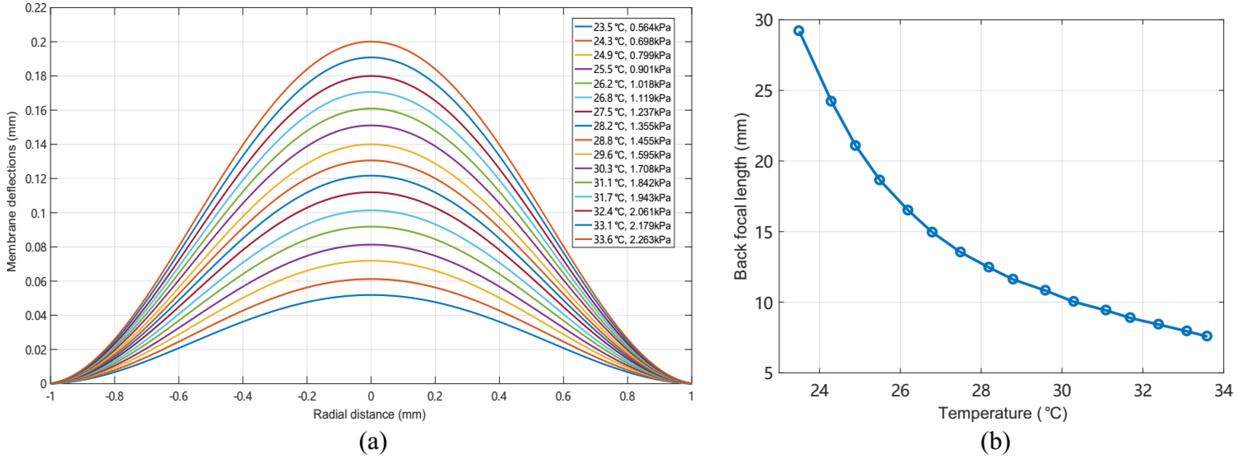
4. Measurement and Discussion
4.1. Thermal-Pneumatic Actuator Characteristics
4.2. Optical Characteristics
5. Conclusions
Supplementary Materials
Author Contributions
Funding
Data Availability Statement
Acknowledgments
Conflicts of Interest
References
- Kim, W.; Yang, H.C. Wide and fast focus-tunable dielectro-optofluidic lens via pinning of the interface of aqueous and dielectric liquids. Opt. Express 2017, 25, 14697. [Google Scholar] [CrossRef]
- Bianco, V.; Mandracchia, B.; Marchesano, V.; Pagliarulo, V.; Olivieri, F.; Coppola, S.; Paturzo, M.; Ferraro, P. Endowing a plain fluidic chip with micro-optics: A holographic microscope slide. Light Sci. Appl. 2017, 6, e17055. [Google Scholar] [CrossRef]
- Huang, H.; Zhao, Y. Optofluidic lenses for 2D and 3D imaging. J. Micromech. Microeng. 2019, 29, 73001. [Google Scholar] [CrossRef]
- Zhao, P.; Ataman, Ç.; Zappe, H. Gravity-immune liquid-filled tunable lens with reduced spherical aberration. Appl. Opt. 2016, 55, 7816–7823. [Google Scholar] [CrossRef]
- Park, I.S.; Park, Y.; Oh, S.H.; Yang, J.W.; Chung, S.K. Multifunctional liquid lens for variable focus and zoom. Sens. Actuators A Phys. 2018, 273, 317–323. [Google Scholar] [CrossRef]
- Beeckman, J.; Yang, T.H.; Nys, I.; George, J.P.; Lin, T.H.; Neyts, K. Multi-electrode tunable liquid crystal lenses with one lithography step. Opt. Lett. 2018, 43, 271–274. [Google Scholar] [CrossRef] [Green Version]
- Wang, Z.; Qu, W.; Yang, F.; Tian, A.; Asundi, A. Absolute measurement of aspheric lens with electrically tunable lens in digital holography. Opt. Lasers Eng. 2017, 88, 313–318. [Google Scholar] [CrossRef]
- Lee, J.; Park, Y.; Chung, S.K. Multifunctional liquid lens for variable focus and aperture. Sens. Actuators A Phys. 2019, 287, 177–184. [Google Scholar] [CrossRef]
- Li, L.; Wang, J.H.; Wang, Q.H.; Wu, S.T. Displaceable and focus-tunable electrowetting optofluidic lens. Opt. Express 2018, 26, 25839–25848. [Google Scholar] [CrossRef]
- Cheng, C.C.; Chang, C.A.; Yeh, J.A. Variable focus dielectric liquid droplet lens. Opt. Express 2006, 14, 4101–4106. [Google Scholar] [CrossRef]
- Lopez, C.A.; Hirsa, A.H. Fast focusing using a pinned-contact oscillating liquid lens. Nat. Photon. 2008, 2, 610–613. [Google Scholar] [CrossRef]
- Nguyen, N.T. Micro-optofluidic lenses: A review. Biomicrofluidics 2010, 4, 31501. [Google Scholar] [CrossRef] [Green Version]
- Tang, S.K.Y.; Stan, C.A.; Whitesides, G.M. Dynamically reconfigurable liquid-core liquid-cladding lens in a microfluidic channel. Lab Chip 2008, 8, 395–401. [Google Scholar] [CrossRef]
- Seow, Y.C.; Liu, A.Q.; Chin, L.K.; Li, X.C.; Huang, H.J.; Cheng, T.H.; Zhou, X.Q. Different curvatures of tunable liquid microlens via the control of laminar flow rate. Appl. Phys. Lett. 2008, 93, 84101. [Google Scholar] [CrossRef]
- Chin, L.K.; Liu, A.Q.; Lim, C.S.; Lin, C.L.; Ayi, T.C.; Yap, P.H. An optofluidic volume refractometer using Fabry–Pérot resonator with tunable liquid microlenses. Biomicrofluidics 2010, 4, 24107. [Google Scholar] [CrossRef] [Green Version]
- Mao, X.L.; Lin, S.C.S.; Lapsley, M.I.; Shi, J.J.; Juluri, B.K.; Huang, T.J. Tunable Liquid Gradient Refractive Index (L-GRIN) lens with two degrees of freedom. Lab Chip 2009, 9, 2050–2058. [Google Scholar] [CrossRef]
- Xiong, K.D.; Yang, S.H.; Li, X.W.; Xing, D. Autofocusing optical-resolution photoacoustic endoscopy. Opt. Lett. 2018, 43, 1846–1849. [Google Scholar] [CrossRef]
- Dai, B.; Jiao, Z.A.; Zheng, L.L.; Bachman, H.; Fu, Y.F.; Wan, X.J.; Zhang, Y.L.; Huang, Y.; Han, X.D.; Zhao, C.L.; et al. Colour compound lenses for a portable fluorescence microscope. Light Sci. Appl. 2019, 8, 75. [Google Scholar] [CrossRef]
- Fuh, Y.K.; Lin, M.X.; Lee, S. Characterizing aberration of a pressure-actuated tunable biconvex microlens with a simple spherically-corrected design. Opt. Lasers Eng. 2012, 50, 1677–1682. [Google Scholar] [CrossRef]
- Zhou, H.; Zhang, X.; Xu, Z.; Wu, P.; Yu, H. Universal membrane-based tunable liquid lens design for dynamically correcting spherical aberration over user-defined focal length range. Opt. Express 2019, 27, 37667–37679. [Google Scholar] [CrossRef]
- Waibel, P.; Mader, D.; Liebetraut, P.; Zappe, H.; Seifert, A. Chromatic aberration control for tunable all-silicone membrane microlenses. Opt. Express 2011, 19, 18584–18592. [Google Scholar] [CrossRef]
- Gowda, H.G.B.; Wallrabe, U. Simulation of an Adaptive Fluid-Membrane Piezoelectric Lens. Micromachines 2019, 10, 797. [Google Scholar] [CrossRef] [PubMed] [Green Version]
- Farghaly, M.A.; Akram, M.N.; Halvorsen, E. Modeling framework for piezoelectrically actuated MEMS tunable lenses. Opt. Express 2016, 24, 28889–28904. [Google Scholar] [CrossRef] [PubMed]
- Ren, H.; Fox, D.; Anderson, P.A.; Wu, B.; Wu, S.T. Tunable-focus liquid lens controlled using a servo motor. Opt. Express 2006, 14, 8031–8036. [Google Scholar] [CrossRef]
- Shian, S.; Diebold, R.M.; Clarke, D.R. Tunable lenses using transparent dielectric elastomer actuators. Opt. Express 2013, 21, 8669–8676. [Google Scholar] [CrossRef]
- Deng, K.; Rohn, M.; Gerlach, G. Design, simulation and characterization of hydrogel-based thermal actuators. Sens. Actuators B Chem. 2016, 236, 900–908. [Google Scholar] [CrossRef]
- Handique, K.; Burke, D.T.; Mastrangelo, C.H.; Burns, M.A. On-chip thermopneumatic pressure for discrete drop pumping. Anal. Chem. 2001, 73, 1831–1838. [Google Scholar] [CrossRef]
- Chia, B.T.; Liao, H.-H.; Yang, Y.-J. A novel thermo-pneumatic peristaltic micropump with low temperature elevation on working fluid. Sens. Actuators A Phys. 2011, 165, 86–93. [Google Scholar] [CrossRef]
- Zhang, W.; Zappe, H.; Seifert, A. Wafer-scale fabricated thermo-pneumatically tunable microlenses. Light Sci. Appl. 2014, 3, e145. [Google Scholar] [CrossRef]
- Waheed, S.; Cabot, J.M.; Macdonald, N.P.; Lewis, T.; Guijt, R.M.; Paull, B.; Breadmore, M.C. 3D printed microfluidic devices: Enablers and barriers. Lab Chip 2016, 16, 1993–2013. [Google Scholar] [CrossRef] [Green Version]
- Hu, Y.; Rao, S.; Wu, S.; Wei, P.; Qiu, W.; Wu, D.; Xu, B.; Ni, J.; Yang, L.; Li, J.; et al. All-glass 3D optofluidic microchip with built-in tunable microlens fabricated by femtosecond laser-assisted etching. Adv. Opt. Mater. 2018, 6, 1701299. [Google Scholar] [CrossRef]
- Saggiomo, V.; Velders, A.H. Simple 3D printed scaffold-removal method for the fabrication of intricate microfluidic devices. Adv. Sci. 2015, 2, 1500125. [Google Scholar] [CrossRef]
- Olanrewaju, A.; Beaugrand, M.; Yafia, M.; Juncker, D. Capillary microfluidics in microchannels: From microfluidic networks to capillaric circuits. Lab Chip 2018, 18, 2323–2347. [Google Scholar] [CrossRef] [PubMed] [Green Version]
- Berto, P.; Philippet, L.; Osmond, J.; Liu, C.F.; Afridi, A.; Marques, M.M.; Agudo, B.M.; Tessier, G.; Quidant, R. Tunable and free-form planar optics. Nat. Photon. 2019, 13, 649–656. [Google Scholar] [CrossRef] [Green Version]
- Zhang, H.; Ren, H.; Xu, S.; Wu, S.T. Temperature effects on dielectric liquid lenses. Opt. Express 2014, 22, 1930–1939. [Google Scholar] [CrossRef] [PubMed]
- Zhang, W.; Zappe, H.; Seifert, A. Polyacrylate membranes for tunable liquid-filled microlenses. Opt. Eng. 2013, 13, 649–656. [Google Scholar] [CrossRef]
- Lee, J.K.; Park, K.W.; Lim, G.B.; Kim, H.R.; Kong, S.H. Variable-focus liquid lens based on a laterally-integrated thermopneumatic actuator. J. Opt. Soc. Korea 2012, 16, 22–28. [Google Scholar] [CrossRef] [Green Version]
- Ashtiani, A.O.; Jiang, H.R. Thermally actuated tunable liquid microlens with sub-second response time. Appl. Phys. Lett. 2013, 103, 111101. [Google Scholar] [CrossRef] [Green Version]
- Lee, S.Y.; Tung, H.W.; Chen, W.C.; Fang, W.L. Thermal Actuated Solid Tunable Lens. IEEE Photon. Technol. Lett. 2006, 18, 2191–2193. [Google Scholar] [CrossRef]














| Lens Type | Expansion | Actuation | Device Size, mm3 | Aperture Size, mm | Focal Length, mm | Temperature | Response Time, s | Ref: |
|---|---|---|---|---|---|---|---|---|
| M-L lens | Air | Thermo-pneumatic * | 12 × 12 × 1.2 | 2 | ~5 | N/R | [29] | |
| M-L lens | Air | Thermo-pneumatic * | 6 × 6 × 2 | 2 | ~5 | 45 | This work | |
| M-L lens | Air | Thermo-pneumatic * | N/R | 2 | ~4 | 30 | [37] | |
| L-L lens | Liquid | Thermo-electric(TE) | N/R | 2 | −80~−20 | 0.8 | [38] | |
| Solid lens | Solid | Joule heating * | 1.5 × 1.5 * | 0.3 | 1.0~1.9 | N/R | [39] |
Publisher’s Note: MDPI stays neutral with regard to jurisdictional claims in published maps and institutional affiliations. |
© 2022 by the authors. Licensee MDPI, Basel, Switzerland. This article is an open access article distributed under the terms and conditions of the Creative Commons Attribution (CC BY) license (https://creativecommons.org/licenses/by/4.0/).
Share and Cite
Zhang, W.; Li, H.; Zou, Y.; Zhao, P.; Li, Z. Design and Fabrication of a Tunable Optofluidic Microlens Driven by an Encircled Thermo-Pneumatic Actuator. Micromachines 2022, 13, 1189. https://doi.org/10.3390/mi13081189
Zhang W, Li H, Zou Y, Zhao P, Li Z. Design and Fabrication of a Tunable Optofluidic Microlens Driven by an Encircled Thermo-Pneumatic Actuator. Micromachines. 2022; 13(8):1189. https://doi.org/10.3390/mi13081189
Chicago/Turabian StyleZhang, Wei, Heng Li, Yongchao Zou, Pengpeng Zhao, and Zeren Li. 2022. "Design and Fabrication of a Tunable Optofluidic Microlens Driven by an Encircled Thermo-Pneumatic Actuator" Micromachines 13, no. 8: 1189. https://doi.org/10.3390/mi13081189
APA StyleZhang, W., Li, H., Zou, Y., Zhao, P., & Li, Z. (2022). Design and Fabrication of a Tunable Optofluidic Microlens Driven by an Encircled Thermo-Pneumatic Actuator. Micromachines, 13(8), 1189. https://doi.org/10.3390/mi13081189

