Nanoscale Detonation Carbon Demonstrates Biosafety in Human Cell Culture
Abstract
:1. Introduction
2. Materials and Methods
2.1. Fabrication and Characteristics of NDC
2.2. Cell Culture Cytotoxicity Assay
3. Results and Discussion
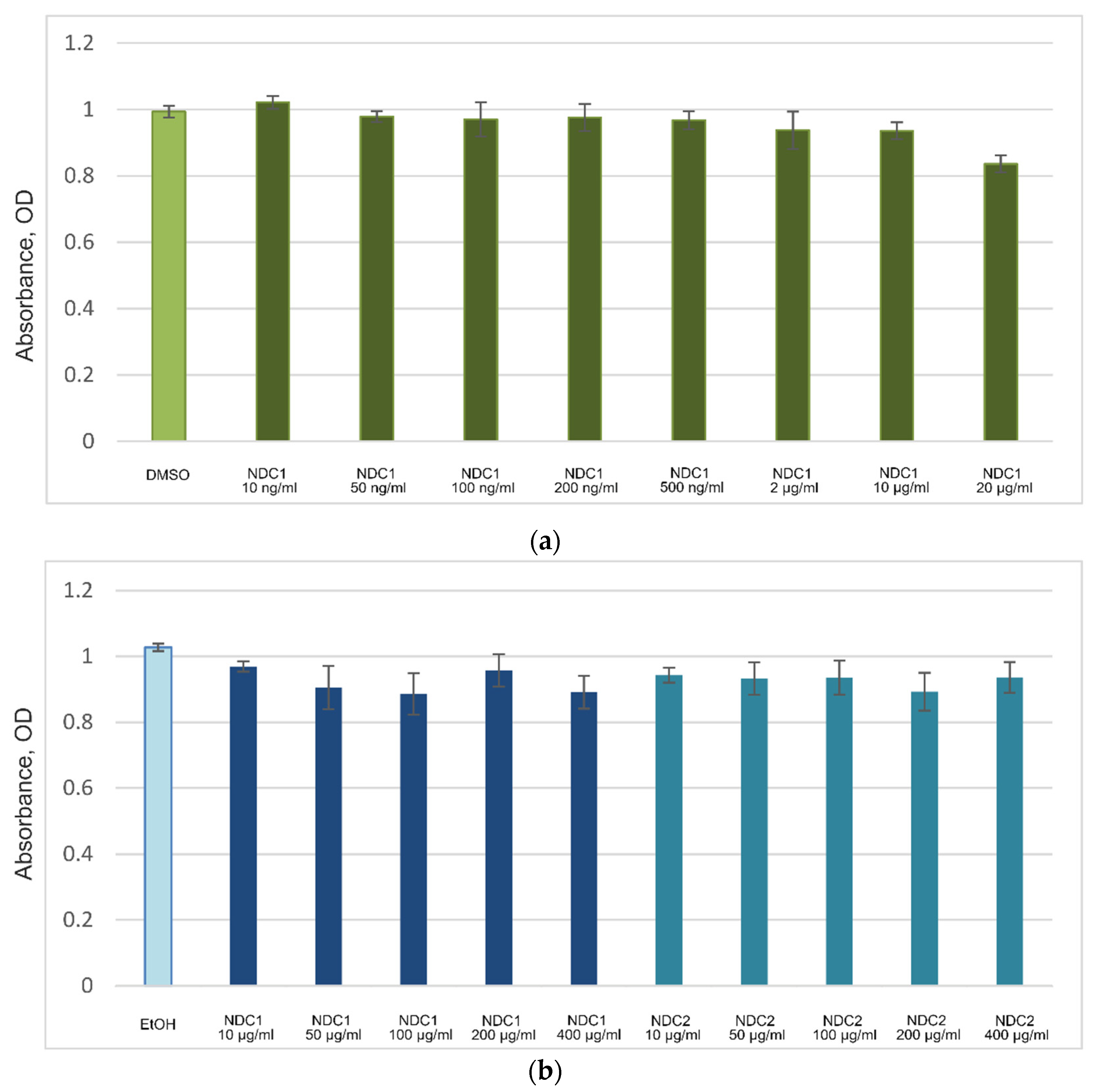
3.1. Cytotoxicity Study of NDC Using EZ4U Assay
3.2. Real-Time Cell Analysis Using xCELLigence
3.3. Possible Applications of NDC and Its Advantages
4. Conclusions
Author Contributions
Funding
Institutional Review Board Statement
Informed Consent Statement
Data Availability Statement
Conflicts of Interest
References
- Mohan, V.B.; Lau, K.; Hui, D.; Bhattacharyya, D. Graphene-based materials and their composites: A review on production, applications and product limitations. Compos. Part B Eng. 2018, 142, 200–220. [Google Scholar] [CrossRef]
- Sun, Z.; Fang, S.; Hu, Y.H. 3D graphene materials: From understanding to design and synthesis control. Chem. Rev. 2020, 120, 10336–10453. [Google Scholar] [CrossRef] [PubMed]
- Anzar, N.; Hasan, R.; Tyagi, M.; Yadav, N.; Narang, J. Carbon nanotube—A review on Synthesis, Properties and plethora of applications in the field of biomedical science. Sens. Int. 2020, 1, 100003. [Google Scholar] [CrossRef]
- Acquah, S.F.A.; Penkova, A.V.; Markelov, D.A.; Semisalova, A.S.; Leonhardt, B.E.; Magi, J.M. Review—The beautiful molecule: 30 years of C60 and its derivatives. ECS J. Solid State Sci. Technol. 2017, 6, M3155–M3162. [Google Scholar] [CrossRef]
- Heimann, R.B.; Evsvukov, S.E.; Koga, Y. Carbon allotropes: A suggested classification scheme based on valence orbital hybridization. Carbon 1997, 35, 1654–1658. [Google Scholar] [CrossRef]
- Kavosi, A.; Noei, S.H.G.; Madani, S.; Khalighfard, S.; Khodayari, S.; Khodayari, H.; Mirzaei, M.; Kalhori, M.R.; Yavarian, M.; Alizadeh, A.M.; et al. The toxicity and therapeutic effects of single-and multi-wall carbon nanotubes on mice breast cancer. Sci. Rep. 2018, 8, 8375. [Google Scholar] [CrossRef] [Green Version]
- Lee, J.H.; Han, J.H.; Kim, J.H.; Kim, B.; Bello, D.; Kim, J.K.; Lee, G.H.; Sohn, E.K.; Lee, K.; Ahn, K.; et al. Exposure monitoring of graphene nanoplatelets manufacturing workplaces. Inhal. Toxicol. 2016, 28, 281–291. [Google Scholar] [CrossRef]
- Ou, L.; Song, B.; Liang, H.; Liu, J.; Feng, X.; Deng, B.; Sun, T.; Shao, L. Toxicity of graphene-family nanoparticles: A general review of the origins and mechanisms. Part. Fibre Toxicol. 2016, 13, 57. [Google Scholar] [CrossRef] [Green Version]
- Zhou, L.; Forman, H.J.; Ge, Y.; Lunec, J. Multi-walled carbon nanotubes: A cytotoxicity study in relation to functionalization, dose and dispersion. Toxicol. Vitro 2017, 42, 292–298. [Google Scholar] [CrossRef] [Green Version]
- Wei, S.; Qi, Y.; Ma, L.; Liu, Y.; Li, G.; Sang, N.; Liu, S.; Liu, Y. Ageing remarkably alters the toxicity of carbon black particles towards susceptible cells: Determined by differential changes of surface oxygen groups. Environ. Sci. Nano 2020, 7, 1633–1641. [Google Scholar] [CrossRef]
- Jia, G.; Wang, H.; Yan, L.; Wang, X.; Pei, R.; Yan, T.; Zhao, Y.; Guo, X. Cytotoxicity of carbon nanomaterials: Single-wall nanotube, multi-wall nanotube, and fullerene. Environ. Sci. Technol. 2005, 39, 1378–1383. [Google Scholar] [CrossRef] [PubMed]
- Dounet, J.-B.; Bansal, R.C.; Wang, M.-J. (Eds.) Carbon Black: Science and Technology, 2nd ed.; Revised and Expanded; Marcel Dekker, Inc.: New York, NY, USA, 1993. [Google Scholar]
- Kistiakovsky, G.B.; Halsey, G.D.; Malin, M.E.; Knight, H.T. Detonation Process of Making Carbon Black. U.S. Patent 2,690,960, 5 October 1954. [Google Scholar]
- Knorre, V.G.; Snegireva, T.D.; Tekunova, T.V.; Chulkov, A.V. A study of the thermal decomposition of acetylene and the properties of the soot formed under the conditions of a constant volume bomb. Combust. Explos. Shock Waves 1972, 8, 437–439. [Google Scholar] [CrossRef]
- Knorre, V.G.; Kopylov, M.S.; Tesner, P.A. Formation of carbon black with the detonation of acetylene. Combust. Explos. Shock Waves 1974, 10, 690–694. [Google Scholar] [CrossRef]
- Sorensen, C.; Nepal, A.; Singh, G.P. Process for High-Yield Production of Graphene via Detonation of Carbon-Containing Material. U.S. Patent 9,440,857, 13 September 2016. [Google Scholar]
- Shtertser, A.A.; Ulianitsky, V.Y.; Batraev, I.S.; Rybin, D.K. Production of nanoscale detonation carbon using a pulse gas-detonation device. Tech. Phys. Lett. 2018, 44, 395–397. [Google Scholar] [CrossRef]
- Shtertser, A.A.; Rybin, D.K.; Ulianitsky, V.Y.; Park, W.; Datekyu, M.; Wada, T.; Kato, H. Characterization of nanoscale detonation carbon produced in a pulse gas-detonation device. Diam. Relat. Mater. 2020, 101, 107553. [Google Scholar] [CrossRef]
- Shtertser, A.A.; Ulianitsky, V.Y.; Rybin, D.K.; Batraev, I.S.; Prokhorov, E.S.; Vlaskin, M.S. Production of hydrogen and carbon black by detonation of fuel-rich acetylene-oxygen mixtures. Int. J. Hydrogen Energy 2022, 47, 14039–14043. [Google Scholar] [CrossRef]
- What Is Carbon Black? ORION Engineered Carbons. Focused. Innovative. Responsive. Available online: https://www.thecarycompany.com/media/pdf/specs/orion-what-is-carbon-black.pdf (accessed on 4 July 2022).
- Donaldson, K.; Aitken, R.; Tran, L.; Stone, V.; Duffin, R.; Forrest, G.; Alexander, A. Carbon nanotubes: A review of their properties in relation to pulmonary toxicology and workplace safety. Toxicol. Sci. 2006, 92, 5–22. [Google Scholar] [CrossRef] [Green Version]
- Silva, G.; Viana, C.; Domingues, D.; Vieira, F. Risk Assessment and Health, Safety, and Environmental Management of Carbon Nanomaterials. In Nanomaterials—Toxicity, Human Health and Environment; Clichici, S., Filip, A., Do Nascimento, G.M., Eds.; IntechOpen: London, UK, 2019. [Google Scholar] [CrossRef] [Green Version]
- Chakravarty, D.; Tiwary, C.S.; Woellner, C.F.; Radhakrishnan, S.; Vinod, S.; Ozden, S.; da Silva Autreto, P.A.; Bhowmick, S.; Asif, S.; Mani, S.A.; et al. 3D porous graphene by low-temperature plasma welding for bone implants. Adv. Mater. 2016, 28, 8959–8967. [Google Scholar] [CrossRef]
- Safari, N.; Golafshan, N.; Kharaziha, M.; Toroghinejad, M.R.; Utomo, L.; Malda, J.; Castilho, M. Stable and antibacterial magnesium−graphene nanocomposite-based implants for bone repair. ACS Biomater. Sci. Eng. 2020, 6, 6253–6262. [Google Scholar] [CrossRef]
- Nieto, A.; Bisht, A.; Lahiri, D.; Zhang, C.; Agarwal, A. Graphene reinforced metal and ceramic matrix composites: A review. Int. Mater. Rev. 2017, 62, 241–302. [Google Scholar] [CrossRef]
- Pourmand, N.S.; Asgharzadeh, H. Aluminum matrix composites reinforced with graphene: A review on production, microstructure, and properties. Crit. Rev. Solid State Mater. Sci. 2020, 45, 289–337. [Google Scholar] [CrossRef]
- Eletskii, A.V.; Zitserman, V.Y.; Kobzev, G.A. Nanocarbon materials: Physicochemical and exploitation properties, synthesis methods, and enegretic applications. High Temp. 2015, 53, 130–150. [Google Scholar] [CrossRef]
- Fan, W.; Fu, X.; Li, Z.; Yang, Z.; Xiang, M.; Qin, Z. Porous ultrahigh molecular weight polyethylene/functionalized activated nanocarbon composites with improved biocompatibility. Materials 2021, 14, 6065. [Google Scholar] [CrossRef] [PubMed]
- Shtertser, A.A.; Batraev, I.S.; Ulianitsky, V.Y.; Kuchumova, I.D.; Bulina, N.V.; Ukhina, A.V.; Bokhonov, B.B.; Dudina, D.V.; Trinh, P.V.; Phuong, D.D. Detonation spraying of Ti-Cu mixtures in different atmospheres: Carbon, nitrogen and oxygen uptake by the powders. Surf. Interfaces 2020, 21, 100676. [Google Scholar] [CrossRef]
- Shtertser, A.A.; Dudina, D.V.; Ulianitsky, V.Y.; Batraev, I.S.; Rybin, D.K.; Lukyanov, Y.L.; Larichkin, A.Y.; Ukhina, A.V.; Zhdanov, A.A. Metal-nanocarbon composite coatings produced by detonation spraying with in situ carbon generation. J. Therm. Spray Technol. 2021, 30, 1837–1849. [Google Scholar] [CrossRef]





Publisher’s Note: MDPI stays neutral with regard to jurisdictional claims in published maps and institutional affiliations. |
© 2022 by the authors. Licensee MDPI, Basel, Switzerland. This article is an open access article distributed under the terms and conditions of the Creative Commons Attribution (CC BY) license (https://creativecommons.org/licenses/by/4.0/).
Share and Cite
Malakhova, A.A.; Rybin, D.K.; Shtertser, A.A.; Dudina, D.V. Nanoscale Detonation Carbon Demonstrates Biosafety in Human Cell Culture. Micromachines 2022, 13, 1187. https://doi.org/10.3390/mi13081187
Malakhova AA, Rybin DK, Shtertser AA, Dudina DV. Nanoscale Detonation Carbon Demonstrates Biosafety in Human Cell Culture. Micromachines. 2022; 13(8):1187. https://doi.org/10.3390/mi13081187
Chicago/Turabian StyleMalakhova, Anastasia A., Denis K. Rybin, Alexandr A. Shtertser, and Dina V. Dudina. 2022. "Nanoscale Detonation Carbon Demonstrates Biosafety in Human Cell Culture" Micromachines 13, no. 8: 1187. https://doi.org/10.3390/mi13081187
APA StyleMalakhova, A. A., Rybin, D. K., Shtertser, A. A., & Dudina, D. V. (2022). Nanoscale Detonation Carbon Demonstrates Biosafety in Human Cell Culture. Micromachines, 13(8), 1187. https://doi.org/10.3390/mi13081187

