Linear and Nonlinear Optical Properties of a Doubly Clamped Suspended Monolayer Graphene Nanoribbon Nanoresonator
Abstract
:1. Introduction
2. Theory
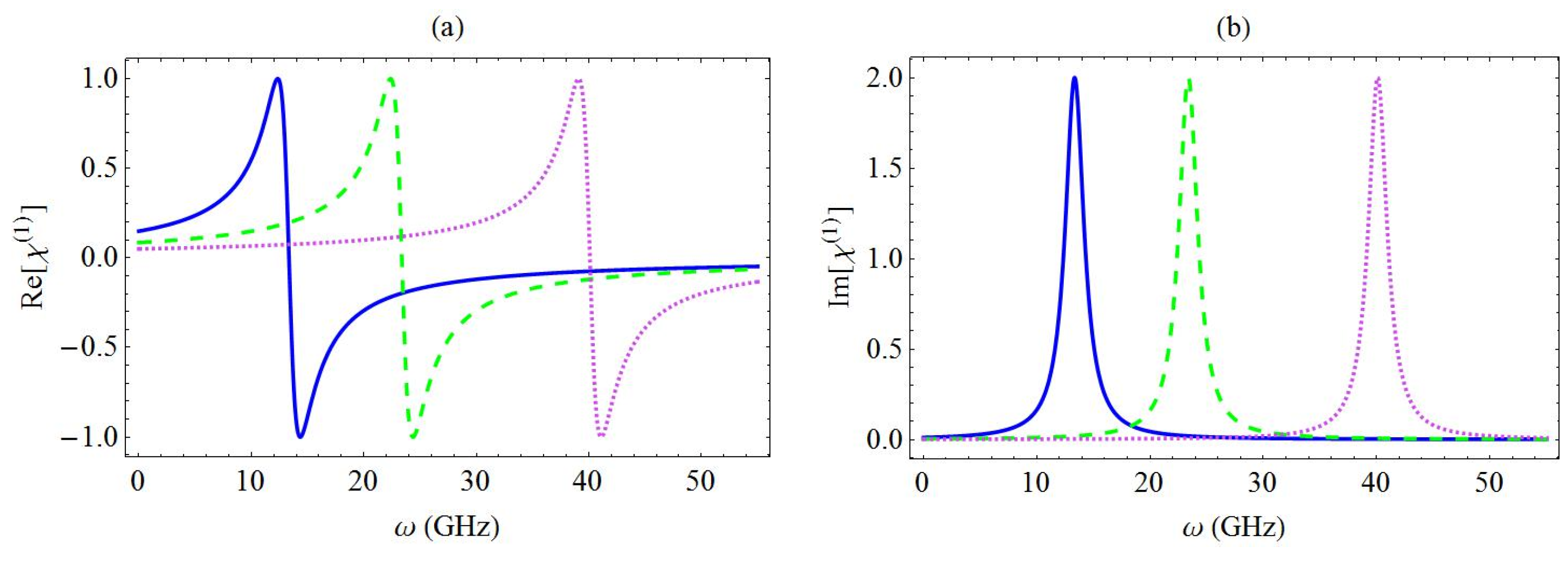
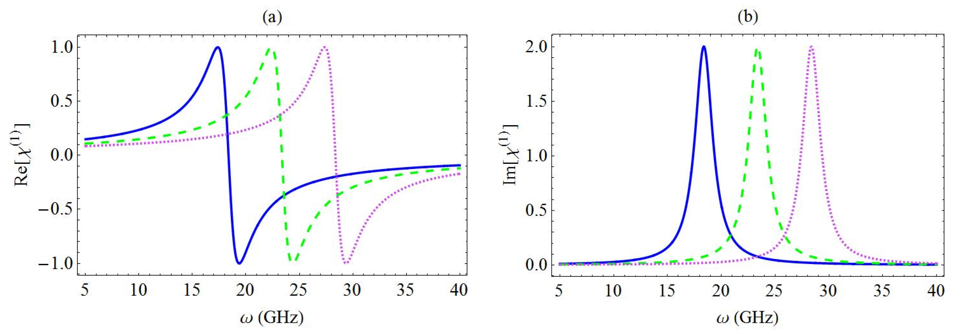
3. Results
4. Conclusions
Author Contributions
Funding
Institutional Review Board Statement
Informed Consent Statement
Data Availability Statement
Conflicts of Interest
References
- Li, J.-J.; Zhu, K.-D. Recent advances of light propagation in surface plasmon enhanced quantum dot devices. Crit. Rev. Solid State Mater. Sci. 2014, 39, 25–45. [Google Scholar] [CrossRef]
- Malyshev, A.V.; Malyshev, V.A. Optical bistability and hysteresis of a hybrid metal-semiconductor nanodimer. Phys. Rev. B 2011, 84, 035314. [Google Scholar] [CrossRef]
- Li, J.-B.; Kim, N.-C.; Cheng, M.-T.; Zhou, L.; Hao, Z.-H.; Wang, Q.-Q. Optical bistability and nonlinearity of coherently coupled exciton-plasmon systems. Opt. Express 2012, 20, 1856–1861. [Google Scholar] [CrossRef]
- Carreño, F.; Antón, M.A.; Paspalakis, E. Nonlinear optical rectification and optical bistability in a coupled asymmetric quantum dot-metal nanoparticle hybrid. J. Appl. Phys. 2018, 124, 113107. [Google Scholar] [CrossRef]
- Lu, Z.; Zhu, K.-D. Slow light in an artificial hybrid nanocrystal complex. J. Phys. B 2009, 42, 015502. [Google Scholar] [CrossRef]
- Sadeghi, S.M. Gain without inversion in hybrid quantum dot-metallic nanoparticle systems. Nanotechnology 2010, 21, 455401. [Google Scholar] [CrossRef]
- Singh, M.R. Enhancement of the second-harmonic generation in a quantum dot–metallic nanoparticle hybrid system. Nanotechnology 2013, 24, 125701. [Google Scholar] [CrossRef]
- Lu, Z.; Zhu, K.-D. Enhancing Kerr nonlinearity of a strongly coupled exciton–plasmon in hybrid nanocrystal molecules. J. Phys. B 2008, 41, 185503. [Google Scholar] [CrossRef]
- Paspalakis, E.; Evangelou, S.; Kosionis, S.G.; Terzis, A.F. Strongly modified four-wave mixing in a coupled semiconductor quantum dot-metal nanoparticle system. J. Appl. Phys. 2014, 115, 083106. [Google Scholar] [CrossRef]
- Kosionis, S.G.; Terzis, A.F.; Sadeghi, S.M.; Paspalakis, E. Optical response of a quantum dot–metal nanoparticle hybrid interacting with a weak probe field. J. Phys. Condens. Matter 2013, 25, 045304. [Google Scholar] [CrossRef]
- Terzis, A.F.; Kosionis, S.G.; Boviatsis, J.; Paspalakis, E. Nonlinear optical susceptibilities of semiconductor quantum dot-metal nanoparticle hybrids. J. Mod. Opt. 2016, 63, 451–461. [Google Scholar] [CrossRef]
- Liu, X.; Kongsuwan, N.; Li, X.; Zhao, D.; Wu, Z.; Hess, O.; Zhang, X. Tailoring the third-order nonlinear optical property of a hybrid semiconductor quantum dot−metal nanoparticle: From saturable to Fano-enhanced absorption. J. Phys. Chem. Lett. 2019, 10, 7594–7602. [Google Scholar] [CrossRef] [PubMed]
- Kosionis, S.G.; Paspalakis, E. Control of self-Kerr nonlinearity in a driven coupled semiconductor quantum dot-metal nanoparticle structure. J. Phys. Chem. C 2019, 123, 7308–7317. [Google Scholar] [CrossRef]
- Sadeghi, S.M. Ultrafast plasmonic field oscillations and optics of molecular resonances caused by coherent exciton-plasmon coupling. Phys. Rev. A 2013, 88, 013831. [Google Scholar] [CrossRef]
- Mohammadzadeh, A.; Miri, M.F. Resonance fluorescence of a hybrid semiconductor-quantum-dot-metal-nanoparticle system driven by a bichromatic field. Phys. Rev. B 2019, 99, 115440. [Google Scholar] [CrossRef]
- You, Y.; Qi, Y.H.; Niu, Y.-P.; Gong, S.-Q. Control of electromagnetically induced grating by surface plasmon and tunneling in a hybrid quantum dot-metal nanoparticle system. J. Phys. Condens. Matter 2019, 31, 105801. [Google Scholar] [CrossRef]
- Nugroho, B.S.; Iskandar, A.A.; Malyshev, V.A.; Knoester, J. Plasmon-assisted two-photon absorption in a semiconductor quantum dot–metallic nanoshell composite. Phys. Rev. B 2020, 102, 045405. [Google Scholar] [CrossRef]
- Kosionis, S.G.; Paspalakis, E. Pump-probe optical response of semiconductor quantum dot–metal nanoparticle hybrids. J. Appl. Phys. 2018, 124, 223104. [Google Scholar] [CrossRef]
- Li, J.-H.; Shen, S.; Ding, C.-L.; Wu, Y. Magnetically induced optical transparency in a plasmon-exciton system. Phys. Rev. A 2021, 103, 053706. [Google Scholar] [CrossRef]
- Tan, Y.; Xia, X.-S.; Liao, X.-L.; Li, J.-B.; Zhong, H.-H.; Liang, S.; Xiao, S.; Liu, L.-H.; Luo, J.-H.; He, M.-D.; et al. A highly-flexible bistable switch on a suspended monolayer Z-graphene nanoribbon nanoresonator. Carbon 2020, 157, 724–730. [Google Scholar] [CrossRef]
- Xiao, J.-X.; Tan, Y.; Guo, Q.-Q.; Li, J.-B.; Liang, S.; Xiao, S.; Zhong, H.-H.; He, M.-D.; Liu, L.-H.; Luo, J.-H.; et al. Dual-channel bistable switch based on a monolayer graphene nanoribbon nanoresonator coupled to a metal nanoparticle. Opt. Express 2020, 28, 3136–3146. [Google Scholar] [CrossRef] [PubMed]
- Guo, Q.-Q.; Liang, S.; Gong, B.; Li, J.-B.; Xiao, S.; He, M.-D.; Chen, L.-Q. Ultra-strong optical four-wave mixing signal induced by strong exciton-phonon and exciton-plasmon couplings. Opt. Express 2022, 30, 6630–6639. [Google Scholar] [CrossRef] [PubMed]
- Li, J.-J.; He, W.; Zhu, K.-D. All-optical Kerr modulator based on a carbon nanotube resonator. Phys. Rev. B 2011, 83, 115445. [Google Scholar] [CrossRef]
- Chen, H.-J.; Zhu, K.-D. Ultrasensitive mass sensing with nonlinear optics in a doubly clamped suspended carbon nanotube resonator. J. Appl. Phys. 2013, 114, 213101. [Google Scholar] [CrossRef]
- Li, J.-J.; Zhu, K.-D. Tunable slow and fast light device based on a carbon nanotube resonator. Opt. Express 2012, 20, 5840–5848. [Google Scholar] [CrossRef]
- Li, J.-B.; Xiao, S.; Liang, S.; He, M.-D.; Kim, N.-C.; Luo, Y.; Luo, J.-H.; Chen, L.-Q. Switching freely between superluminal and subluminal light propagation in a monolayer MoS2 nanoresonator. Opt. Express 2017, 25, 13567–13576. [Google Scholar] [CrossRef]
- Li, Y.; Zhu, K.-D. Optical propagation properties in a quantum dot-DNA coupling system. J. Opt. Soc. Am. B 2012, 29, 3371–3376. [Google Scholar] [CrossRef]
- Li, J.-J.; Zhu, K.-D. Coherent optical spectroscopy in a biological semiconductor quantum dot-DNA hybrid system. Nanoscale Res. Lett. 2012, 7, 133. [Google Scholar] [CrossRef] [PubMed] [Green Version]
- Li, J.-B.; Liang, S.; Xiao, S.; He, M.-D.; Liu, L.-H.; Luo, J.H.; Chen, L.-Q. A sensitive biosensor based on optical bistability in a semiconductor quantum dot-DNA nanohybrid. J. Phys. D Appl. Phys. 2019, 52, 035401. [Google Scholar] [CrossRef]
- Chen, C.; Hone, J. Graphene nanoelectromechanical systems. Proc. IEEE 2013, 101, 1766–1779. [Google Scholar] [CrossRef]
- Hu, K.-M.; Bo, P.; Li, X.-Y.; Xin, Y.-H.; Bai, X.-R.; Li, L.; Zhang, W.-M. Resonant nano-electromechanical systems from 2D materials. Europhys. Lett. 2020, 131, 58001. [Google Scholar] [CrossRef]
- Xiao, Y.; Luo, F.; Zhang, Y.; Hu, F.; Zhu, M.; Qin, S. A review on graphene-based nano-electromechanical resonators: Fabrication, performance, and applications. Micromachines 2022, 13, 215. [Google Scholar] [CrossRef] [PubMed]
- Wang, Z.F.; Shi, Q.W.; Li, Q.; Wang, X.; Hou, J.G.; Zheng, H.; Yao, Y.; Chen, J. Z-shaped graphene nanoribbon quantum dot device. Appl. Phys. Lett. 2007, 91, 053109. [Google Scholar] [CrossRef] [Green Version]
- Recher, P.; Trauzettel, B. Quantum dots and spin qubits in graphene. Nanotechnology 2010, 21, 302001. [Google Scholar] [CrossRef] [PubMed] [Green Version]






Publisher’s Note: MDPI stays neutral with regard to jurisdictional claims in published maps and institutional affiliations. |
© 2022 by the authors. Licensee MDPI, Basel, Switzerland. This article is an open access article distributed under the terms and conditions of the Creative Commons Attribution (CC BY) license (https://creativecommons.org/licenses/by/4.0/).
Share and Cite
Kosionis, S.G.; Paspalakis, E. Linear and Nonlinear Optical Properties of a Doubly Clamped Suspended Monolayer Graphene Nanoribbon Nanoresonator. Micromachines 2022, 13, 1179. https://doi.org/10.3390/mi13081179
Kosionis SG, Paspalakis E. Linear and Nonlinear Optical Properties of a Doubly Clamped Suspended Monolayer Graphene Nanoribbon Nanoresonator. Micromachines. 2022; 13(8):1179. https://doi.org/10.3390/mi13081179
Chicago/Turabian StyleKosionis, Spyridon G., and Emmanuel Paspalakis. 2022. "Linear and Nonlinear Optical Properties of a Doubly Clamped Suspended Monolayer Graphene Nanoribbon Nanoresonator" Micromachines 13, no. 8: 1179. https://doi.org/10.3390/mi13081179
APA StyleKosionis, S. G., & Paspalakis, E. (2022). Linear and Nonlinear Optical Properties of a Doubly Clamped Suspended Monolayer Graphene Nanoribbon Nanoresonator. Micromachines, 13(8), 1179. https://doi.org/10.3390/mi13081179

