Evaluation of Hydrodynamic and Thermal Behaviour of Non-Newtonian-Nanofluid Mixing in a Chaotic Micromixer
Abstract
:1. Introduction
2. Micromixer Structure and Problem Statement
- -
- Uniform velocity profile imposed to the inlets flow, and the temperatures equal to Tmin = 300 k for one inlet, and the other one Tmax = 330 k
- -
- No-slip conditions within the solid walls.
- -
- Pressure outlet condition is considered at the outlet section flow.
2.1. Mass Transfer Characteristics of the Chaotic Flows
- Geometric parameter ( = 0.2121)
- Geometric parameter ( = 0.6771)
- Density
- Average speed
- Hydraulic diameter [m]
- Consistency index (N sn m−2)
- Rheological behavior index of the fluid
- is the standard deviation measured by post-CFD.
- is the maximum standard deviation.
2.2. Thermal Characteristics of the Chaotic Flows
3. Mesh Sensitivity Test
4. Results and Discussion
4.1. CDF Validation Case
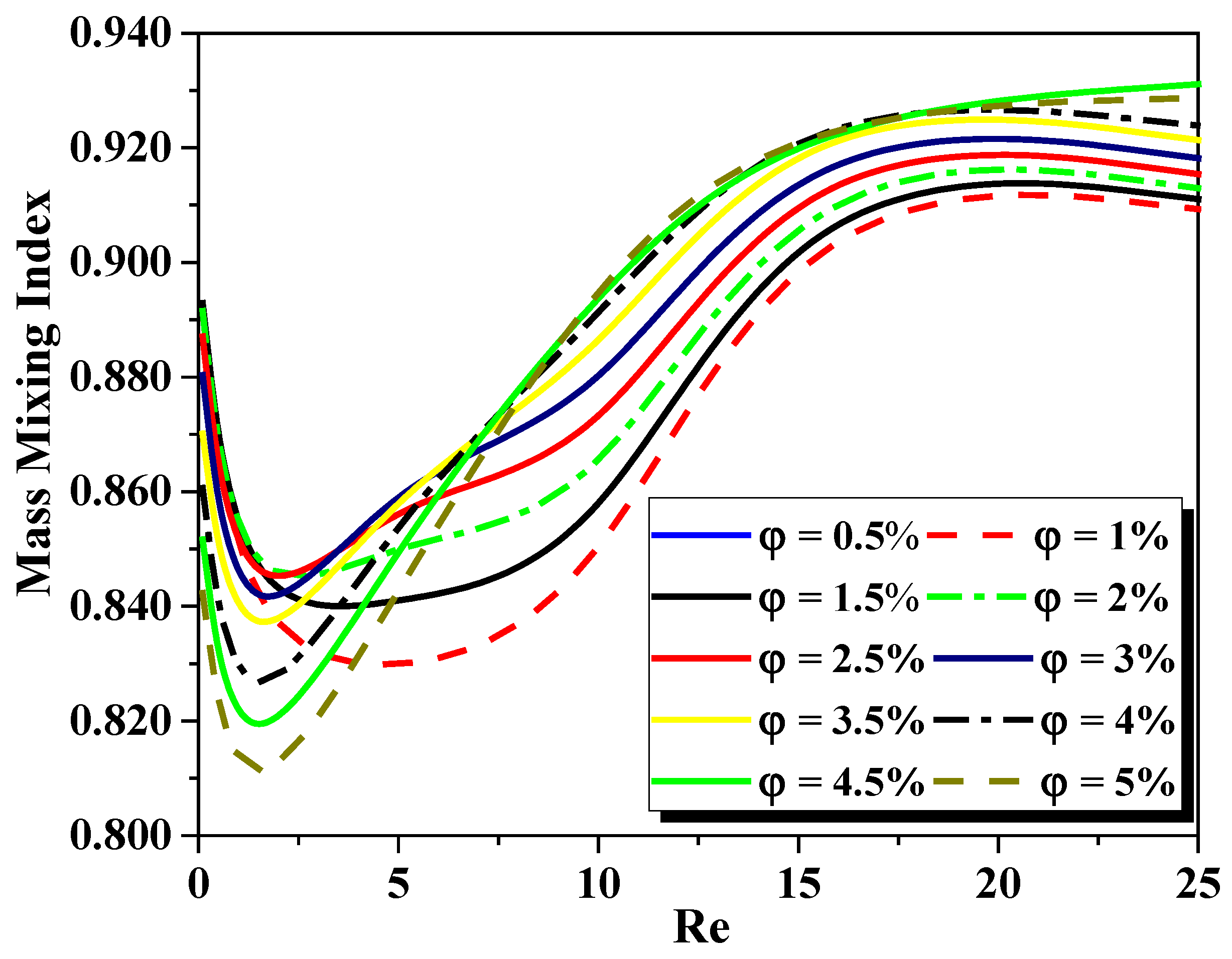
4.2. Mass Transfer and Fluid Mixing Processing
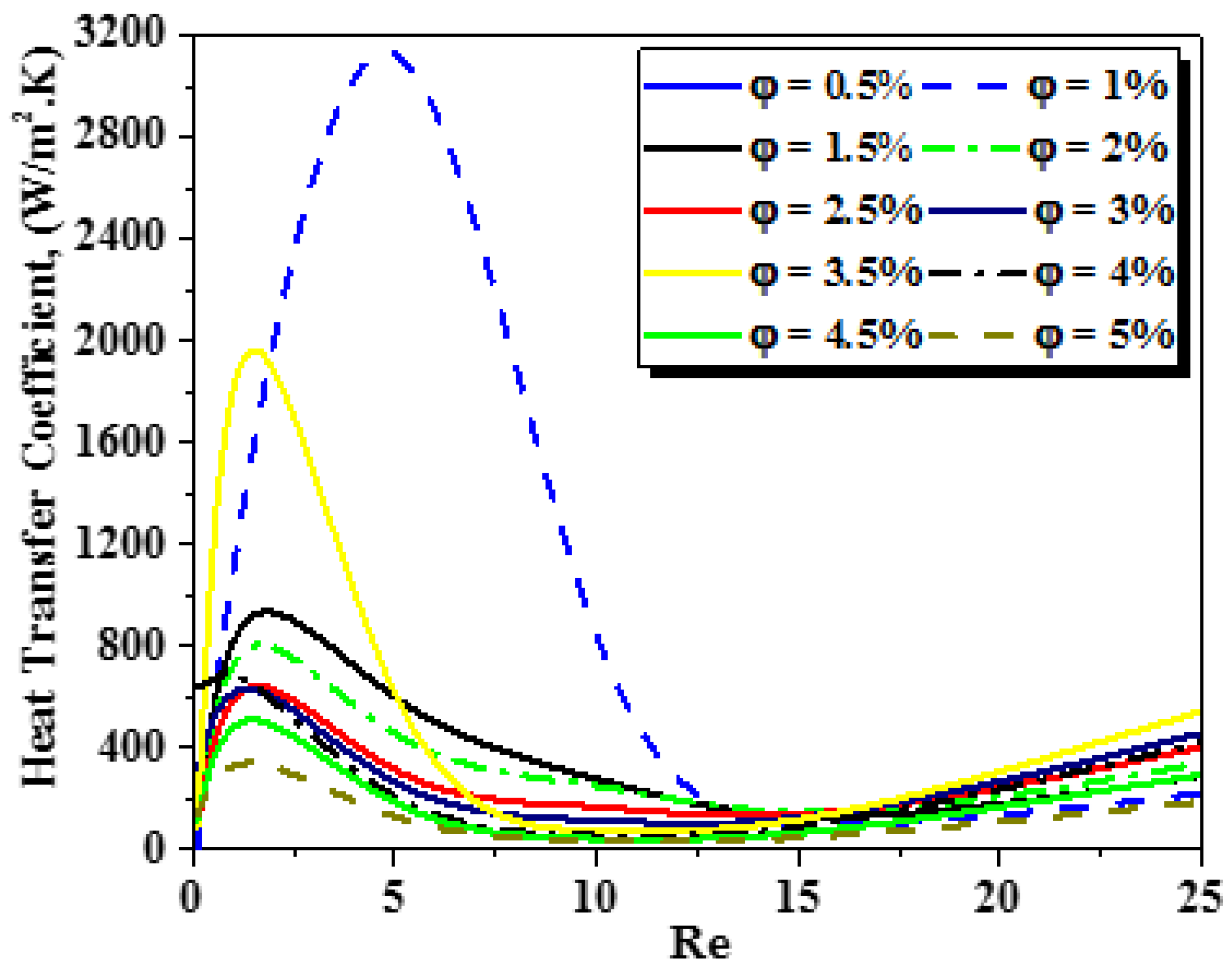
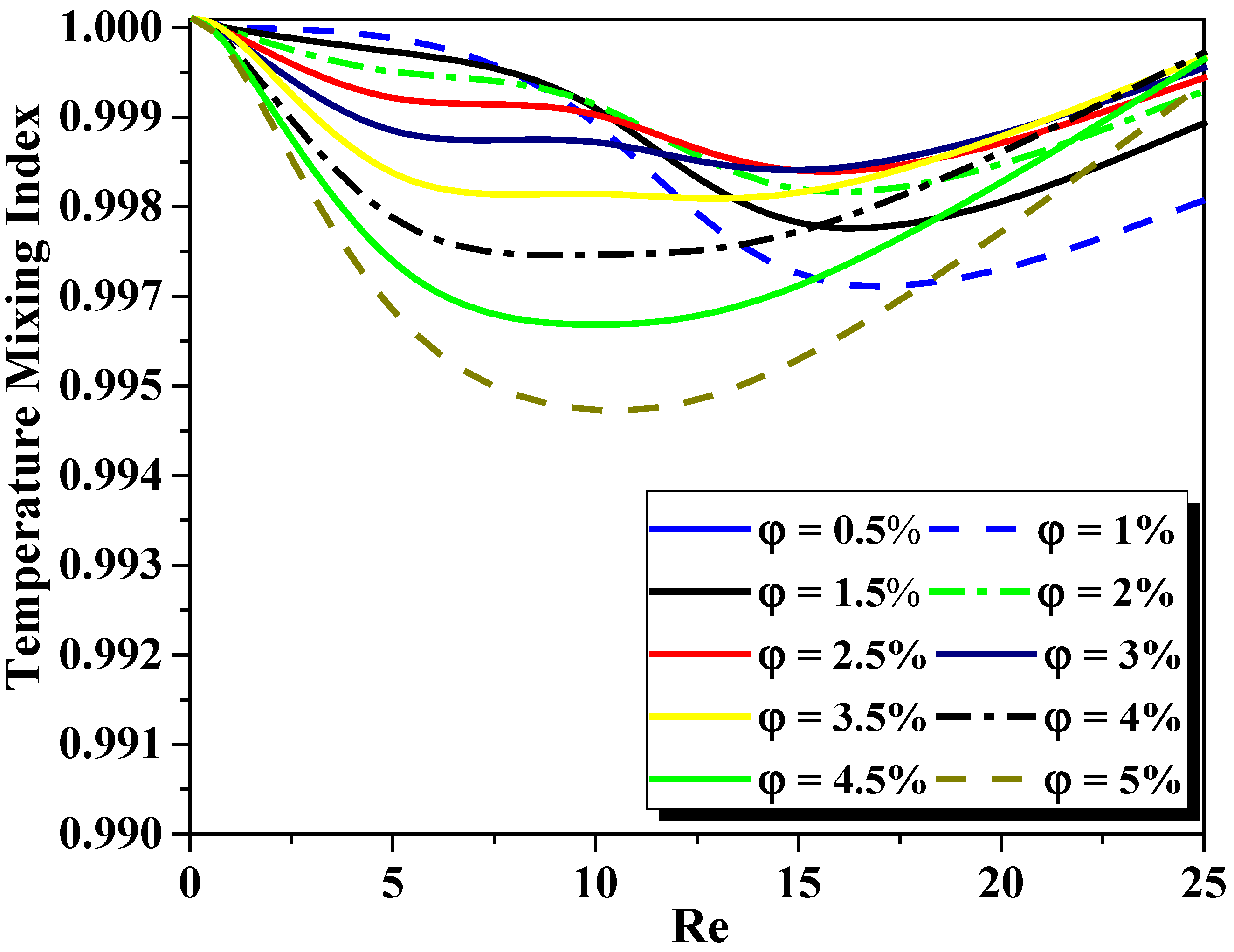
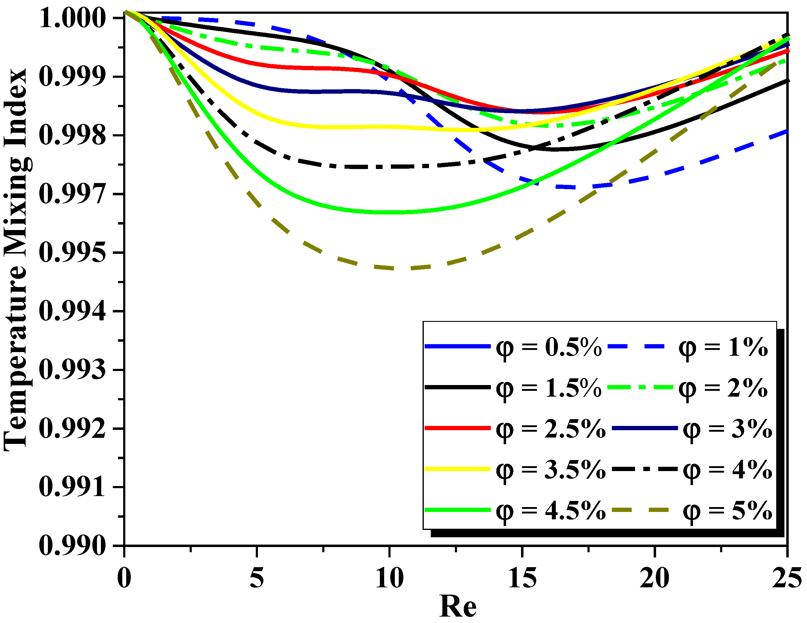
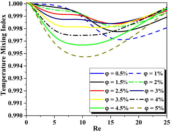
4.3. Heat Transfer and Thermal Mixing Processing
5. Conclusions
- -
- Effects of generalized Reynolds numbers on the hydrodynamic behavior of non-Newtonian flow were improved within the proposed micromixers.
- -
- Strong secondary flows are created inside the micromixer to enhance the mixing quality for all cases of nanofluid concentration.
- -
- The non-Newtonian fluid of φ = 0.5% exhibits low mass transfer compared to the preferable nanofluid concentration case (φ = 5%).
- -
- As Reynolds number increases, the flow visualization of both heat and mass transfer revealed that the vortex created in the micromixer had more vigorous intensity.
- -
- Higher rates of generalized Reynolds number have more effects to increase both mass and thermal homogenization rates.
- -
- The heat transfer coefficient increases from 122 W/m2K to 222 W/m2K when φ rises from 0.5 to 5%.
- -
- The cases of low fluid behavior index n have a more effective improvement in the mixing efficiency than the other cases
- -
- For all of Reg, high intensity thermal and fluid mixing is obtained for high nanofluid concentration (φ = 5%).
Author Contributions
Funding
Acknowledgments
Conflicts of Interest
References
- Lee, C.Y.; Fu, L.M. Recent advances and applications of micromixers. Sens. Actuators B Chem. 2018, 259, 677–702. [Google Scholar] [CrossRef]
- Park, T.; Lee, S.; Seong, G.H.; Choo, J.; Lee, E.K.; Kim, Y.S.; Ji, W.H.; Hwang, S.Y.; Gweon, D.G.; Lee, S. Highly sensitive signal detection of duplex dye-labelled DNA oligonucleotides in a PDMS microfluidic chip: Confocal surface-enhanced Raman spectroscopic study. Lab Chip 2005, 5, 437–442. [Google Scholar] [CrossRef] [PubMed]
- Rapp, B.E.; Gruhl, F.J.; Länge, K. Biosensors with label-free detection designed for diagnostic applications. Anal. Bioanal. Chem. 2010, 398, 2403–2412. [Google Scholar] [CrossRef] [PubMed]
- Rahman, M.; Rebrov, E. Microreactors for gold nanoparticles synthesis: From faraday to flow. Processes 2014, 2, 466–493. [Google Scholar] [CrossRef]
- Stone, H.A.; Stroock, A.D.; Ajdari, A. Engineering flows in small devices. Annu. Rev. Fluid Mech. 2004, 36, 381–411. [Google Scholar] [CrossRef]
- Squires, T.M.; Quake, S.R. Microfluidics: Fluid physics at the nanoliter scale. Rev. Mod. Phys. 2005, 77, 977–1026. [Google Scholar] [CrossRef]
- Hessel, V.; Löwe, H.; Schönfeld, F. Micromixers—A review on passive and active mixing principles. Chem. Eng. Sci. 2005, 60, 2479–2501. [Google Scholar] [CrossRef]
- Naas, T.T.; Hossain, S.; Aslam, M.; Rahman, A.; Hoque, A.S.M.; Kim, K.-Y.; Islam, S.M.R. Kinematic measurements of novel chaotic micromixers to enhance mixing performances at low Reynolds numbers: Comparative study. Micromachines 2021, 12, 364. [Google Scholar] [CrossRef]
- Raza, W.; Hossain, S.; Kim, K.Y. A Review of Passive Micromixers with a Comparative Analysis. Micromachines 2020, 11, 455. [Google Scholar] [CrossRef]
- Ingham, C.J.; van Hylckama Vlieg, J.E.T. MEMS and the microbe. Lab Chip 2008, 8, 1604–1616. [Google Scholar] [CrossRef]
- Schulte, T.H.; Bardell, R.L.; Weigl, B.H. Microfluidic technologies in clinical diagnostics. Clin. Chim. Acta 2002, 321, 1–10. [Google Scholar] [CrossRef]
- Razzacki, S.Z.; Thwar, P.K.; Yang, M.; Ugaz, V.M.; Burns, M.A. Integrated microsystems for controlled drug delivery. Adv. Drug Deliv. Rev. 2004, 56, 185–198. [Google Scholar] [CrossRef] [PubMed]
- Hossain, S.; Lee, I.; Kim, S.M.; Kim, K.Y. A micromixer with two-layer serpentine crossing channels having excellent mixing performance at low Reynolds numbers. Chem. Eng. J. 2017, 327, 268–277. [Google Scholar] [CrossRef]
- Afzal, A.; Kim, K.Y. Passive split and recombination micromixer with convergent-divergent walls. Chem. Eng. J. 2012, 203, 182–192. [Google Scholar] [CrossRef]
- Xia, H.M.; Wan, S.Y.M.; Shu, C.; Chew, Y.T. Chaotic micromixers using two-layer crossing channels to exhibit fast mixing at low Reynolds numbers. Lab Chip 2005, 5, 748–755. [Google Scholar] [CrossRef] [PubMed]
- Hossain, S.; Kim, K.Y. Parametric investigation on mixing in a micromixer with two-layer crossing channels. Springerplus 2016, 5, 794. [Google Scholar] [CrossRef]
- Hossain, S.; Kim, K.Y. Mixing analysis in a three-dimensional serpentine split-and-recombine micromixer. Chem. Eng. Res. Des. 2015, 100, 95–103. [Google Scholar] [CrossRef]
- Raza, W.; Hossain, S.; Kim, K.Y. Effective mixing in a short serpentine split-and-recombination micromixer. Sens. Actuators B Chem. 2018, 258, 381–392. [Google Scholar] [CrossRef]
- Raza, W.; Kim, K.Y. Unbalanced Split and Recombine Micromixer with Three-Dimensional Steps. Ind. Eng. Chem. Res. 2020, 59, 3744–3756. [Google Scholar] [CrossRef]
- Naas, T.T.; Lasbet, Y.; Benzaoui, A.; Loubar, K. Characterization of Pressure Drops and Heat Transfer of Non-Newtonian Power-Law Fluid Flow Flowing in Chaotic Geometry. Int. J. Heat Technol. 2016, 34, 251–260. [Google Scholar] [CrossRef]
- Naas, T.T.; Lasbet, Y.; Aidaoui, L.; Ahmed, L.B.; Khaled, L. High performance in terms of thermal mixing of non-Newtonian fluids using open chaotic flow: Numerical investigations. Therm. Sci. Eng. Prog. 2020, 16, 100454. [Google Scholar] [CrossRef]
- Naas, T.T.; Kouadri, A.; Khelladi, S.; Laib, L. Thermal mixing performances of shear thinning non-Newtonian fluids inside two-layer crossing channels micromixer using entropy generation method: Comparative study. Chem. Eng. Process. 2020, 156, 108096. [Google Scholar]
- Antar, T.; Kacem, M. Theoretical investigation of laminar flow convective heat transfer in a circular duct for a non-Newtonian nanofluid. Appl. Therm. Eng. 2017, 112, 1027–1039. [Google Scholar]
- Antar, T.; Kacem, M. Analytical solution by Laplace-ritz variational method for non-Newtonian nanofluid inside a circular tube. Int. J. Mech. Sci. 2018, 135, 596–608. [Google Scholar]
- Mehryan, S.A.M.; Mohammad, G.; Mohammad, V.; Seyed, M.H.Z.; Nima, S.; Obai, Y.; Ali, J.C.; Hani, A. Non-Newtonian phase change study of nano-enhanced n-octadecane comprising mesoporous silica in a porous medium. Appl. Math. Model. 2021, 97, 463–482. [Google Scholar] [CrossRef]
- Nadeem, S.; Rashid, M.; Noreen, S.A. Non-orthogonal stagnation point flow of a nano non-Newtonian fluid towards a stretching surface with heat transfer. Int. J. Heat Mass Transf. 2013, 57, 679–689. [Google Scholar] [CrossRef]
- Liang, C.; Nawaz, M.; Hajra, K.; Alaoui, M.K.; Abdellatif, S.; Chuanxi, L.; Hamid, A. Flow and heat transfer analysis of elastoviscoplastic generalized non-Newtonian fluid with hybrid nano structures and dust. Int. Commun. Heat Mass Transf. 2021, 126, 105275. [Google Scholar]
- Kourosh, J.; Habib, K.; Abbas, K. Numerical study of heat transfer enhancement of non-Newtonian nanofluid in porous blocks in a channel partially. Powder Technol. 2021, 383, 270–279. [Google Scholar]
- Kumar, M.S.; Raju, C.S.K.; El-Sayed, M.S.; Ebrahem, A.A.; Bilal, S.; Harri, J. A Comprehensive Physical Insight about Enhancement in Thermo Physical Features of Newtonian Fluid Flow by Suspending of Metallic oxides of Single Wall Carbon Nano Tube Structures. Surf. Interfaces 2021, 23, 100838. [Google Scholar] [CrossRef]
- Amin, S.; Seyed, S.A.; Askari, I.B.; Muhammad, H.A. Numerical investigation of the effect of corrugation profile on the hydrothermal characteristics and entropy generation behavior of laminar forced convection of non-Newtonian water/CMC-CuO nanofluid flow inside a wavy channel. Int. Commun. Heat Mass Transf. 2021, 121, 105–117. [Google Scholar]
- Yang, J.C.; Li, F.C.; Zhou, W.W.; He, Y.R.; Jiang, B.C. Experimental investigation on the thermal conductivity and shear viscosity of viscoelastic-fluid-based nanofluids. Int. J. Heat Mass Transf. 2012, 55, 3160–3166. [Google Scholar] [CrossRef]
- Li, F.C.; Yang, J.C.; Zhou, W.W.; He, Y.R.; Jiang, B.C. Experimental study on the characteristics of thermal conductivity and shear viscosity of viscoelastic-fluid-based nanofluids containing multi-walled carbon nanotubes. Acta 2013, 556, 47–53. [Google Scholar]
- Xuan, Y.; Li, Q. Investigation on convective heat transfer and flow features of nanofluids. J. Heat Transf. 2003, 125, 151–155. [Google Scholar] [CrossRef]
- Esmaeilnejad, A.; Aminfar, H.; Neistanak, M.S. Numerical investigation of forced convection heat transfer throughmicrochannels with non-Newtonian nanofluids. Int. J. Therm. Sci. 2014, 75, 76–86. [Google Scholar] [CrossRef]
- Evangelos, K.; Christos, L.; Theodoros, K.; Ioannis, S. Mixing of Particles in Micromixers under Different Angles and Velocities of the Incoming Water. Proceeding 2018, 2, 577. [Google Scholar]
- Pouya, B. Numerical assessment of heat transfer and mixing quality of a hybrid nanofluid in a microchannel equipped with a dual mixer. Int. J. 2021, 12, 100111. [Google Scholar]
- Mehdi, B.; Nima, M.; Masoud, A. Development of chaotic advection in laminar flow of a non-Newtonian nanofluid: A novel application for efficient use of energy. Appl. Therm. Eng. 2017, 124, 1213–1223. [Google Scholar]
- Santra, A.K.; Sen, S.; Chakraborty, N. Study of heat transfer due to laminar flow of copper—Water nanofluid through two isothermally heated parallel plates. Int. J. Therm. Sci. 2009, 48, 391–400. [Google Scholar] [CrossRef]
- Delplace, F.; Leuliet, J.C. Generalized Reynolds number for the flow of power-law fluids in cylindrical ducts of arbitrary cross-section. Chem. Eng. J. 1995, 56, 33–37. [Google Scholar] [CrossRef]
- Metzne, A.B.; Reed, J.C. Flow of non-Newtonian fluids—Correlation of the laminar transition, and turbulent-flow regions. AIChE J. 1955, 1, 434–440. [Google Scholar] [CrossRef]
- Embarek, D.; Samir, L.; Amar, K.; Naas, T.T.; Sofiane, K.; Abdelylah, B. High hydrodynamic and thermal mixing performances of efficient chaotic micromixers: A comparative study. Chem. Eng. Process.-Process Intensif. 2021, 164, 108394. [Google Scholar]
- ANSYS, Inc. ANSYS Fluent User’s Guide; Release 15, 2013; ANSYS, Inc.: Canonsburg, PA, USA, 2013; pp. 1–814. [Google Scholar]
- Li, S.-N.; Zhang, H.-N.; Li, X.-B.; Li, Q.; Li, F.-C.; Qian, S.; Joo, S.W. Numerical study on the heat transfer performance of non-Newtonian fluid flow in a manifold microchannel heat sink. Appl. Therm. 2017, 115, 1213–1225. [Google Scholar] [CrossRef]
- Jibo, W.; Guojun, L.; Xinbo, L.; Fang, H.; Xiang, M. A Micromixer with Two-Layer Crossing Microchannels Based on PMMA Bonding Process. Int. J. Chem. React. Eng. 2019, 17, 20180265. [Google Scholar] [CrossRef]
- Gidde, R.R. Concave wall-based mixing chambers and convex wall-based constriction channel micromixers. Int. J. Environ. Anal. Chem. 2019, 101, 561–583. [Google Scholar] [CrossRef]















| W | 0.2 mm |
| l* | 0.8 mm |
| D* | 0.2 mm |
| d* | 0.1 mm |
| dhyd | 0.22 mm |
| D | 0.6 mm |
| L | 4.5 mm |
| % | m (N sn m−2) | N |
|---|---|---|
| 0.5 | 0.00187 | 0.88 |
| 1.0 | 0.00230 | 0.83 |
| 1.5 | 0.00283 | 0.78 |
| 2.0 | 0.00347 | 0.730 |
| 2.5 | 0.00426 | 0.680 |
| 3.0 | 0.00535 | 0.625 |
| 3.5 | 0.00641 | 0.580 |
| 4.0 | 0.00750 | 0.540 |
| 4.5 | 0.00876 | 0.500 |
| 5.0 | 0.01020 | 0.460 |
| (Kg/m3) | (w/m k) | ||
|---|---|---|---|
| 0.5 | 1013.1 | 4165.9 | 0.6248 |
| 1.0 | 1027.9 | 4148.8 | 0.6367 |
| 1.5 | 1042.8 | 4131.7 | 0.6488 |
| 2.0 | 1057.6 | 4114.6 | 0.6610 |
| 2.5 | 1072.5 | 4097.5 | 0.6734 |
| 3.0 | 1087.4 | 4080.5 | 0.6859 |
| 3.5 | 1102.2 | 4063.4 | 0.6987 |
| 4.0 | 1117.1 | 4046.3 | 0.7116 |
| 4.5 | 1131.9 | 4029.2 | 0.7246 |
| 5.0 | 1146.8 | 4012.1 | 0.7379 |
| (%) | P1 = 0.93 mm | P2 = 1.82 mm | P3 = 2.62 mm | P4 = 3.47 mm | Outlet |
|---|---|---|---|---|---|
| 0.5 | 5% | 31.45% | 99.99% | 99.99% | 99.99% |
| 2 | 7.83% | 26.23% | 99.99% | 99.99% | 99.99% |
| 4 | 7.85% | 24.43% | 99.99% | 99.99% | 99.99% |
| 5 | 12.24% | 30.49% | 99.99% | 99.99% | 99.99% |
| Re | MEC (μW) of Embarek [39] | MEC (μW) of Present Work | Evolution Parentage |
|---|---|---|---|
| 1 | 0.00920 | 0.0064 | 30% |
| 5 | 0.23600 | 0.194 | 18% |
| 15 | 2.57302 | 1.548 | 40% |
| 30 | 12.99 | 7.43 | 45% |
| Micromixer, Year | Unit | Length (mm) | ΔP (Pa) | MI | MEC (μW) |
|---|---|---|---|---|---|
| Split and recombination micromixer, 2012 [14] | 6 | 10.66 | 16500 | 0.83 | 210.25 |
| Convergent and divergent micromixer, 2017 [41] | 6 | 11 | 14000 | 0.94 | 209.55 |
| rectangular obstacles micromixer 2019 [45] | 5 | 8.0 | 12542 | 0.98 | 179.75 |
| triangular obstacles micromixer 2019 [45] | 5 | 8.0 | 11485 | 0.93 | 175.38 |
| teardrop obstacles micromixer 2019 [45] | 5 | 8.0 | 10908 | 0.94 | 163.22 |
| Elongation micromixer with 2021 [41] | 4 | 3.5 | 8002 | 0.99 | 111.48 |
| Present Two-layer Modified micromixer | 5 | 4.58 | 3455 | 0.99 | 55.67 |
Publisher’s Note: MDPI stays neutral with regard to jurisdictional claims in published maps and institutional affiliations. |
© 2022 by the authors. Licensee MDPI, Basel, Switzerland. This article is an open access article distributed under the terms and conditions of the Creative Commons Attribution (CC BY) license (https://creativecommons.org/licenses/by/4.0/).
Share and Cite
Tayeb, N.T.; Hossain, S.; Khan, A.H.; Mostefa, T.; Kim, K.-Y. Evaluation of Hydrodynamic and Thermal Behaviour of Non-Newtonian-Nanofluid Mixing in a Chaotic Micromixer. Micromachines 2022, 13, 933. https://doi.org/10.3390/mi13060933
Tayeb NT, Hossain S, Khan AH, Mostefa T, Kim K-Y. Evaluation of Hydrodynamic and Thermal Behaviour of Non-Newtonian-Nanofluid Mixing in a Chaotic Micromixer. Micromachines. 2022; 13(6):933. https://doi.org/10.3390/mi13060933
Chicago/Turabian StyleTayeb, Naas Toufik, Shakhawat Hossain, Abid Hossain Khan, Telha Mostefa, and Kwang-Yong Kim. 2022. "Evaluation of Hydrodynamic and Thermal Behaviour of Non-Newtonian-Nanofluid Mixing in a Chaotic Micromixer" Micromachines 13, no. 6: 933. https://doi.org/10.3390/mi13060933
APA StyleTayeb, N. T., Hossain, S., Khan, A. H., Mostefa, T., & Kim, K.-Y. (2022). Evaluation of Hydrodynamic and Thermal Behaviour of Non-Newtonian-Nanofluid Mixing in a Chaotic Micromixer. Micromachines, 13(6), 933. https://doi.org/10.3390/mi13060933

