Reduction in RF Loss Based on AlGaN Back-Barrier Structure Changes
Abstract
1. Introduction
2. Structure Description
3. Result and Discussion
3.1. Buffer Layer Materials
3.2. Thickness of the Buffer Layer
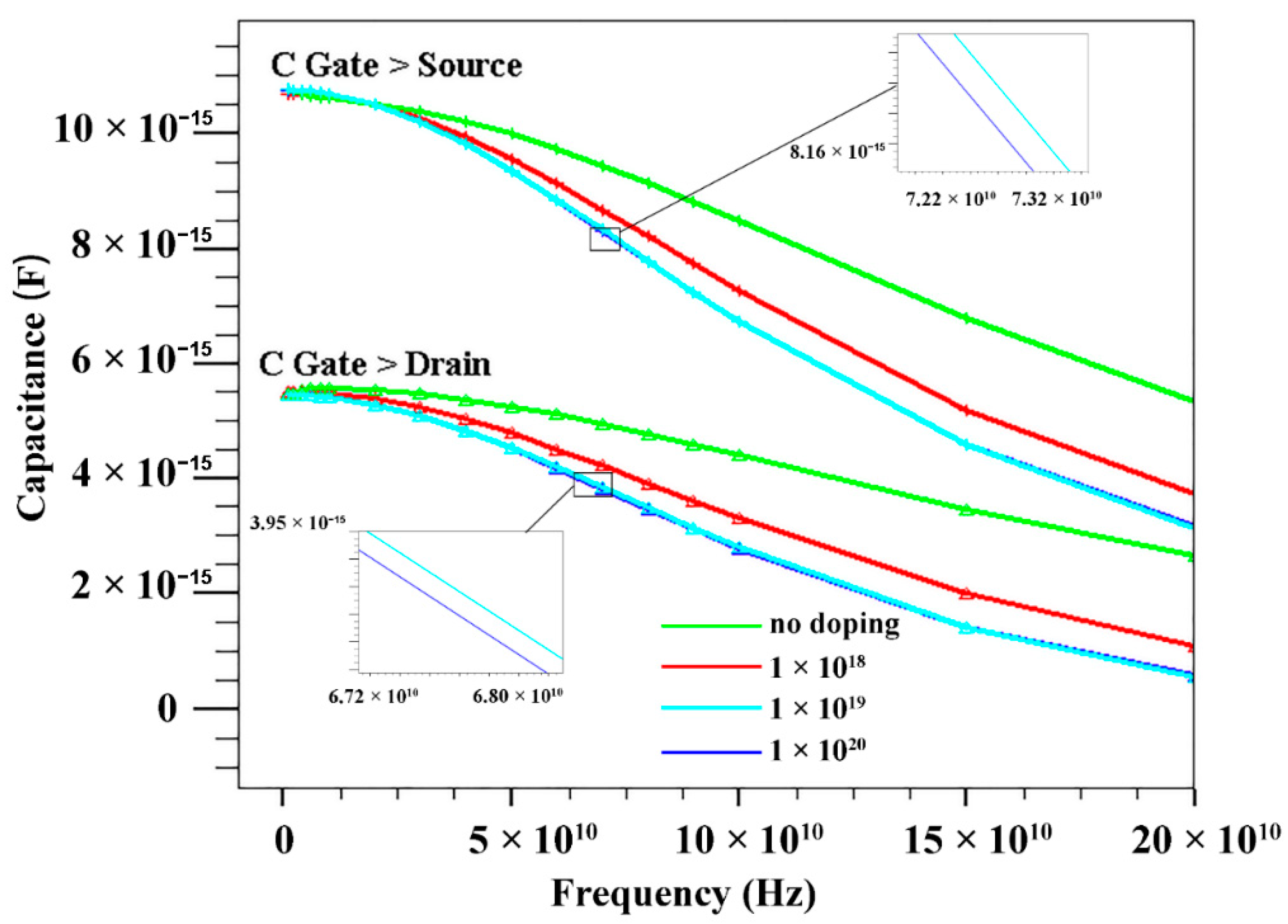
3.3. Doping
4. Conclusions
Author Contributions
Funding
Data Availability Statement
Conflicts of Interest
References
- Mishra, U.K.; Parikh, P.; Wu, Y.F. AlGaN/GaN HEMTs-an overview of device operation and applications. Proc. IEEE 2002, 90, 1022–1031. [Google Scholar] [CrossRef]
- Kato, S.; Satoh, Y.; Sasaki, H.; Masayuki, I.; Yoshida, S. C-doped GaN buffer layers with high breakdown voltages for high-power operation AlGaN/GaN HFETs on 4-in Si substrates by MOVPE. J. Cryst. Growth 2007, 298, 831–834. [Google Scholar] [CrossRef]
- Mishra, U.K.; Shen, L.; Kazior, T.E.; Wu, Y.F. GaN-based RF power devices and amplifiers. Proc. IEEE 2008, 96, 287–305. [Google Scholar] [CrossRef]
- Sahoo, A.K.; Subramani, N.K.; Nallatamby, J.C.; Sylvain, L.; Loyez, C.; Quéré, R.; Medjdoub, F. Small signal modeling of high electron mobility transistors on silicon and silicon carbide substrate with consideration of substrate loss mechanism. Solid-State Electron. 2016, 115, 12–16. [Google Scholar] [CrossRef]
- Buchheim, C.; Winzer, A.T.; Goldhahn, R.; Gobsch, G.; Ambacher, O.; Link, A.; Eickhoff, M.; Stutzmann, M. Photoreflectance studies of (Al) Ga-and N-face AlGaN/GaN heterostructures. Thin Solid Films 2004, 450, 155–158. [Google Scholar] [CrossRef]
- Gao, S.; Liu, X.; Chen, J.; Xie, Z.; Zhou, Q.; Wang, H. High breakdown-voltage GaN-based HEMTs on silicon with Ti/Al/Ni/Ti ohmic contacts. IEEE Electron Device Lett. 2021, 42, 481–484. [Google Scholar] [CrossRef]
- Hsu, L.H.; Lai, Y.Y.; Tu, P.T.; Langpoklakpam, C.; Chang, Y.T.; Huang, Y.W.; Lee, W.C.; Tzou, A.J.; Cheng, Y.J.; Chang, E.Y.; et al. Development of GaN HEMTs fabricated on silicon, silicon-on-insulator, and engineered substrates and the heterogeneous integration. Micromachines 2021, 12, 1159. [Google Scholar] [CrossRef]
- Brunner, F.; Knauer, A.; Schenk, T.; Weyers, M.; Zettler, J.T. Quantitative analysis of in situ wafer bowing measurements for III-nitride growth on sapphire. J. Cryst. Growth 2008, 310, 2432–2438. [Google Scholar] [CrossRef]
- Meneghesso, G.; Rampazzo, F.; Kordos, P.; Verzellesi, G.; Zanoni, E. Current collapse and high-electric-field reliability of unpassivated GaN/AlGaN/GaN HEMTs. IEEE Trans. Electron Devices 2006, 53, 2932–2941. [Google Scholar] [CrossRef]
- Meneghesso, G.; Verzellesi, G.; Danesin, F.; Rampazzo, F.; Zanon, F.; Tazzoli, A.; Zanoni, E. Reliability of GaN high-electron-mobility transistors: State of the art and perspectives. IEEE Trans. Device Mater. Reliab. 2008, 8, 332–343. [Google Scholar] [CrossRef]
- Wei, L.; Yang, X.; Shen, J.; Liu, D.; Cai, Z.; Ma, C.; He, X.; Tang, J.; Qi, S.; Shen, B.; et al. Al diffusion at AlN/Si interface and its suppression through substrate nitridation. Appl. Phys. Lett. 2020, 116, 232105. [Google Scholar] [CrossRef]
- Marchand, H.; Zhao, L.; Zhang, N.; Moran, B.; Coffie, R.; Mishra, U.K.; Speck, J.S.; DenBaars, S.P.; Freitas, J.A. Metalorganic chemical vapor deposition of GaN on Si (111): Stress control and application to field-effect transistors. J. Appl. Phys. 2001, 89, 7846–7851. [Google Scholar] [CrossRef]
- Li, X.; Gao, S.; Zhou, Q.; Liu, X.; Hu, W.; Wang, H. Fabrication and performance of Ti/Al/Ni/TiN Au-free ohmic contacts for undoped AlGaN/GaN HEMT. IEEE Trans. Electron Devices 2020, 67, 1959–1964. [Google Scholar] [CrossRef]
- Marti, D.; Vetter, M.; Alt, A.R.; Benedickter, H.; Bolognesi, C.R. 110 GHz characterization of coplanar waveguides on GaN-on-Si substrates. Appl. Phys. Express 2010, 3, 124101. [Google Scholar] [CrossRef][Green Version]
- Cordier, Y.; Comyn, R.; Frayssinet, E.; Khoury, M.; Lesecq, M.; Defrance, N.; De Jaeger, J.C. Influence of AlN growth temperature on the electrical properties of buffer layers for GaN HEMTs on silicon. Phys. Status Solidi A 2018, 215, 1700637. [Google Scholar] [CrossRef]
- Visalli, D.; Van Hove, M.; Derluyn, J.; Degroote, S.; Leys, M.; Cheng, K.; Germain, M.; Borghs, G. AlGaN/GaN/AlGaN double heterostructures on silicon substrates for high breakdown voltage field-effect transistors with low on-resistance. Jpn. J. Appl. Phys. 2009, 48, 04C101. [Google Scholar] [CrossRef]
- Cheng, K.; Liang, H.; Van Hove, M.; Geens, K.; De Jaeger, B.; Srivastava, P.; Kang, X.; Favia, P.; Bender, H.; Chung, H.; et al. AlGaN/GaN/AlGaN double heterostructures grown on 200 mm silicon (111) substrates with high electron mobility. Appl. Phys. Express 2011, 5, 011002. [Google Scholar] [CrossRef]
- Webb, J.B.; Tang, H.; Rolfe, S.; Bardwell, J.A. Semi-insulating C-doped GaN and high-mobility AlGaN/GaN heterostructures grown by ammonia molecular beam epitaxy. Appl. Phys. Lett. 1999, 75, 953–955. [Google Scholar] [CrossRef]
- Berber, F.; Johnson, D.W.; Sundqvist, K.M.; Piner, E.L.; Huff, G.H.; Harris, H.R. RF dielectric loss due to MOCVD aluminum nitride on high resistivity silicon. IEEE Trans. Microw. Theory Tech. 2017, 65, 1465–1470. [Google Scholar] [CrossRef]
- Cao, L.; Lo, C.F.; Marchand, H.; Johnson, W.; Fay, P. Low-loss coplanar waveguides on GaN-on-Si substrates. IEEE Microw. Wirel. Compon. Lett. 2018, 28, 861–863. [Google Scholar] [CrossRef]
- Khediri, A.; Talbi, A.; Jaouad, A.; Maher, H.; Soltani, A. Impact of III-nitride/Si interface preconditioning on breakdown voltage in GaN-on-silicon HEMT. Micromachines 2021, 12, 1284. [Google Scholar] [CrossRef]
- Vijayvargiya, V.; Vishvakarma, S.K. Effect of drain doping profile on double-gate tunnel field-effect transistor and its influence on device RF performance. IEEE Trans. Nanotechnol. 2014, 13, 974–981. [Google Scholar] [CrossRef]
- Liao, B.; Zhou, Q.; Qin, J.; Wang, H. Simulation of AlGaN/GaN HEMTs’ breakdown voltage enhancement using gate field-plate, source field-plate and drain field plate. Electronics 2019, 8, 406. [Google Scholar] [CrossRef]
- Subramani, N.K.; Couvidat, J.; Al Hajjar, A.; Nallatamby, J.C.; Sommet, R.; Quéré, R. Identification of GaN buffer traps in microwave power AlGaN/GaN HEMTs through low frequency S-parameters measurements and TCAD-based physical device simulations. IEEE J. Electron Devices Soc. 2017, 5, 175–181. [Google Scholar] [CrossRef]
- Ma, J.; Zhang, J.; Xue, J.; Lin, Z.; Liu, Z.; Xue, X.; Ma, X.; Hao, Y. Characteristics of AlGaN/GaN/AlGaN double heterojunction HEMTs with an improved breakdown voltage. J. Semicond. 2012, 33, 014002. [Google Scholar] [CrossRef]
- Palacios, T.; Chakraborty, A.; Heikman, S.; Keller, S.; DenBaars, S.P.; Mishra, U.K. AlGaN/GaN high electron mobility transistors with InGaN back-barriers. IEEE Electron Device Lett. 2005, 27, 13–15. [Google Scholar] [CrossRef]
- Allaei, M.; Shalchian, M.; Jazaeri, F. Modeling of short-channel effects in GaN HEMTs. IEEE Trans. Electron Devices 2020, 67, 3088–3094. [Google Scholar] [CrossRef]
- Chandrasekar, H. Substrate effects in GaN-on-silicon RF device technology. Int. J. High Speed Electron. Syst. 2019, 28, 1940001. [Google Scholar] [CrossRef]
- Meneghesso, G.; Meneghini, M.; Medjdoub, F.; Tagro, Y.; Grimbert, B.; Ducatteau, D.; Rolland, N.; Silvestri, R.; Zanoni, E. First reliability demonstration of sub-200-nm aln/gan-on-silicon double-heterostructure hemts for ka-band applications. IEEE Trans. Device Mater. Reliab. 2013, 13, 480–488. [Google Scholar] [CrossRef]
- Cao, L.; Lo, C.F.; Marchand, H.; Johnson, W.; Fay, P. Coplanar waveguide performance comparison of GaN-on-Si and GaN-on-SiC substrates. In Proceedings of the 2017 IEEE Compound Semiconductor Integrated Circuit Symposium (CSICS), Miami, FL, USA, 22–25 October 2017; IEEE: Piscataway, NJ, USA, 2017; pp. 1–4. [Google Scholar]
- Ghosh, S.; Hinz, A.; Fairclough, S.M.; Spiridon, B.F.; Eblabla, A.; Casbon, M.A.; Kappers, M.J.; Elgaid, K.; Alam, S.; Wallis, D.J.; et al. Origin (s) of anomalous substrate conduction in MOVPE-Grown GaN HEMTs on highly resistive silicon. ACS Appl. Electron. Mater. 2021, 3, 813–824. [Google Scholar] [CrossRef]










| Buffer | Threshold Voltage (V) | Peak Transconductance (mS/mm) | Drain Leakage Current (mA/mm) | fT (GHz) | fmax (GHz) |
|---|---|---|---|---|---|
| GaN | −4.38 | 231.3 | 3.0 × 10−8 | 31.6 | 40.7 |
| Al0.05Ga0.95N | −3.62 | 216.4 | 2.7 × 10−8 | 39.8 | 61.3 |
| Al0.10Ga0.90N | −3.45 | 212.8 | 3.5 × 10−9 | 39.7 | 60.6 |
| Al0.15Ga0.85N | −3.30 | 209.1 | 5 × 10−9 | 39.6 | 60.4 |
| Al0.20Ga0.80N | −3.16 | 205.6 | 7.8 × 10−9 | 39.3 | 59.8 |
| AlN | −2.31 | 173.2 | 7.1 × 10−10 | 32.8 | 57.7 |
| Buffer Thickness (μm) | Threshold Voltage (V) | Peak Transconductance (mS/mm) | Drain Leakage Current (mA/mm) | fT (GHz) | fmax (GHz) |
|---|---|---|---|---|---|
| 1.0 | −3.62 | 216.4 | 2.7 × 10−8 | 39.8 | 61.3 |
| 1.3 | −3.65 | 216.6 | 1.8 × 10−8 | 41.4 | 62.7 |
| 1.6 | −3.69 | 216.8 | 9.5 × 10−9 | 43.5 | 63.8 |
| Doping Conc (cm−3) | Threshold Voltage (V) | Peak Transconductance (mS/mm) | Drain Leakage Current (mA/mm) | fT (GHz) | fmax (GHz) |
|---|---|---|---|---|---|
| 0 | −3.62 | 216.4 | 2.7 × 10−8 | 39.8 | 61.3 |
| 1 × 1018 | −3.60 | 199.4 | 3.0 × 10−9 | 42.4 | 69.1 |
| 1 × 1019 | −3.57 | 190.3 | 1.0 × 10−10 | 45.6 | 70.9 |
| 1 × 1020 | −3.45 | 178.3 | 7.0 × 10−10 | 48.9 | 73.2 |
| Author | Structure | Loss | Time |
|---|---|---|---|
| Meneghesso G. [29] | Si/(AlGa)N/GaN/AlN | 0.9 dB/mm @ 10 GHz | 2013 |
| Cao L. [30] | Si/(AlGa)N/GaN/AlGaN | 0.58 dB/mm @ 5 GHz | 2017 |
| Cordier Y. [15] | Si/(AlGa)N/GaN | 0.3 dB/mm @ 10 GHz | 2018 |
| Cao L. [20] | Si(HR)/(AlGa)N/GaN/AlGaN | 0.27 dB/mm @ 20 GHz | 2018 |
| Chandrasekar H. [28] | GaN-on-Si | 0.6 dB/mm @ 6 GHz | 2019 |
| Wei L. [11] | Si/AlN | 1.47 dB/mm @ 6 GHz | 2020 |
| Ghosh S. [31] | Si/AlN | 12.7 dB/mm @ 5 GHz | 2021 |
Publisher’s Note: MDPI stays neutral with regard to jurisdictional claims in published maps and institutional affiliations. |
© 2022 by the authors. Licensee MDPI, Basel, Switzerland. This article is an open access article distributed under the terms and conditions of the Creative Commons Attribution (CC BY) license (https://creativecommons.org/licenses/by/4.0/).
Share and Cite
Fang, Y.; Chen, L.; Liu, Y.; Wang, H. Reduction in RF Loss Based on AlGaN Back-Barrier Structure Changes. Micromachines 2022, 13, 830. https://doi.org/10.3390/mi13060830
Fang Y, Chen L, Liu Y, Wang H. Reduction in RF Loss Based on AlGaN Back-Barrier Structure Changes. Micromachines. 2022; 13(6):830. https://doi.org/10.3390/mi13060830
Chicago/Turabian StyleFang, Yi, Ling Chen, Yuqi Liu, and Hong Wang. 2022. "Reduction in RF Loss Based on AlGaN Back-Barrier Structure Changes" Micromachines 13, no. 6: 830. https://doi.org/10.3390/mi13060830
APA StyleFang, Y., Chen, L., Liu, Y., & Wang, H. (2022). Reduction in RF Loss Based on AlGaN Back-Barrier Structure Changes. Micromachines, 13(6), 830. https://doi.org/10.3390/mi13060830

