Oscillation Characteristics of an Artificial Cochlear Sensory Epithelium Optimized for a Micrometer-Scale Curved Structure
Abstract
:1. Introduction
2. Theoretical and Experimental Methods
2.1. Prototype of the Artificial Cochlear Sensory Epithelium and Experimental Setup for High-Throughput Oscillation Measurements
2.2. Fabrication of the Miniaturized Artificial Cochlear Sensory Epithelium Based on MEMS Technologies
- (i)
- A glass substrate (C024321, Matsunami Glass Ind., Ltd., Osaka, Japan) was ultrasonically cleaned using isopropanol.
- (ii)
- A sacrificial layer of Cr:Au:Cr = 70:50:70 nm was sputtered on the glass substrate.
- (iii)
- A negative photoresist of SU-8 (3005, Kayaku Advanced Materials, Inc., Westborough, MA, USA) for preparing an elastic layer was diluted with the same weight of cyclopentanone and uniformly coated on the surface of the sacrificial layer for 30 s using a spin coater at a rotation speed of 6000 rpm (MS-B100, Mikasa Co., Ltd., Tokyo, Japan). Setting the thickness of SU-8 as 1 μm, the glass substrate was baked on a hotplate at 65 °C for 1 min and at 95 °C for 6 min. Subsequently, a design of the elastic layer was printed on the SU-8 surface using a maskless ultraviolet (UV) exposure equipment (μMLA, Heidelberg Instruments Mikrotechnik GmbH, Heidelberg, Germany), and the glass was baked again at 65 °C for 1 min and at 95 °C for 6 min. The glass substrate was immersed in a developer (SU-8 Developer, Kayaku Advanced Materials, Inc., Westborough, MA, USA) for 90 s and rinsed using isopropanol. Finally, the glass substrate was baked at 150 °C for 5 min.
- (iv)
- A positive photoresist (AZ5214E, Merck, Darmstadt, Germany) is spin-coated on SU-8 for 30 s at 4000 rpm. A design of the upper electrodes was printed on the photoresist surface after prebaking for 1 min at 100 °C. After a reversal bake for 3 min at 120 °C, the entire surface of the glass substrate was exposed to UV light. The exposed photoresist was developed by immersing the membrane in developer solution (NMD-W 2.38%, TOKYO OHKA KOGYO Co., Ltd., Tokyo, Japan) for 90 min and rinsing with ultrapure water. To remove the photoresist, the glass substrate was immersed in ethanol for 2 min. Upper electrodes were prepared employing Au with a thickness of 50 nm and Ti with a thickness of 10 nm as an adhesion layer using the sputter-deposition technique. Patterned electrodes were obtained using the lift-off process with N,N-dimethylformamide.
- (v)
- To exclude contaminants and moisture, a P(VDF-TrFE) solution was prepared in a glove box. P(VDF/TrFE) powder (75/25 mol%) (FC25, Piezotech, Pierre-Benite, France) was dried at 130 °C for >12 h. The powder was dissolved in a diethyl carbonate solvent for >12 h at 130 °C. After setting the thickness of P(VDF-TrFE) film as 1 μm via spin coating at 1000 rpm for 30 s twice, the glass was baked on a hotplate at 130 °C for 3 min.
- (vi)
- After coating the P(VDF-TrFE) layer, the Ti/Au/Ti layer was sputtered to act as bottom electrodes.
- (vii)
- The glass was baked at 130 °C for 2 h for the crystallization of the P(VDF-TrFE) film. During polarization processing, a DC voltage of 100 V was applied to the P(VDF-TrFE) layer for 5 min.
- (viii)
- A negative photoresist of SU-8 (3050, Kayaku Advanced Materials, Inc., Westborough, MA, USA) was uniformly coated for 30 s on the substrate at a rotation speed of 800 rpm. Setting the thickness of SU-8 as 200 μm, the glass substrate was baked at 65 °C for 3 min and at 95 °C for 1 h. Subsequently, a design for the substrate layer was printed on the SU-8 surface using maskless UV exposure equipment, and the glass substrate was baked at 65 °C for 1 min and at 95 °C for 10 min. The glass substrate was immersed in the developer for 15 min and rinsed using isopropanol. Finally, the glass was baked for 5 min at 150 °C.
- (viii)
- A Cr etchant was used to remove the miniaturized artificial cochlear sensory epithelium from the glass substrate.
2.3. Numerical Analysis
3. Results and Discussion
3.1. Numerical and Experimental Results of In Vitro Prototypes Devices
3.2. Experimental and Numerical Results with Miniaturized Device
4. Conclusions
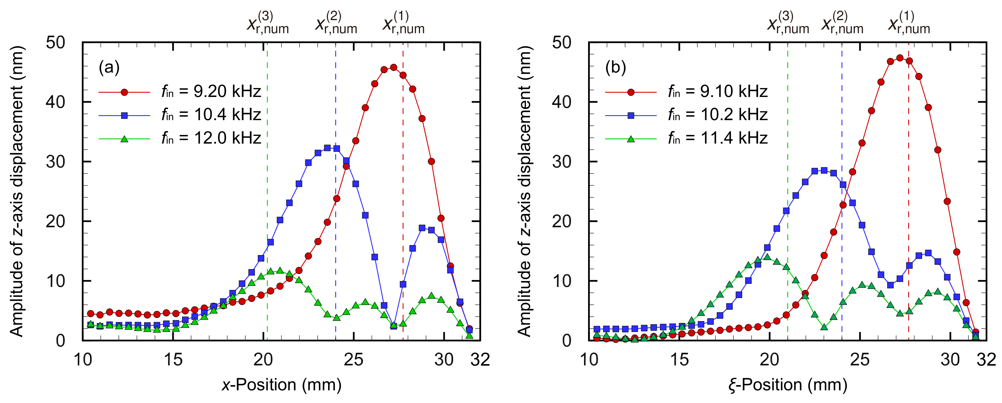
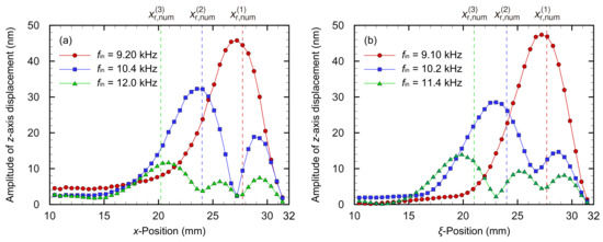
- To fabricate a device that can be implanted into the cochlea for the future in vivo testing, the device was curved to fit the cochlea’s spiral structure. The effects of a curved configuration on the resonance characteristics were experimentally and numerically evaluated using an in vitro prototype device. A trapezoidal membrane device developed in previous studies [10,17,18] and a curved one, which was newly fabricated, were prepared, and the resonance frequencies and positions were measured. The resonance characteristics of the trapezoidal and curved membrane devices were in quantitative agreement, suggesting that the effect of curving was negligible and limited to the device fabricated in this study. The frequency selectivity was successfully evaluated via theoretical prediction using the Euler–Bernoulli beam theory. The trapezoidal device is extensively used in the development of fully insertable cochlear implants as well as in auditory system research, demonstrating the model’s validity.
- The MEMS technology was used to fabricate a miniaturized artificial cochlear sensory epithelium consisting of SU-8 epoxy resin, P(VDF-TrFE) piezoelectric material, and electrodes. Curved trapezoidal fixed boundary conditions were applied to reproduce the basilar membrane’s frequency selectivity. The Ti/Au/Ti patterned electrodes were successfully deposited on the P(VDF-TrFE) film for the future use of the piezoelectric output. The device was designed to be <1 mm, and the curving boundary was shaped to fit the spiral structure that can be implanted in the cochlea.
- The resonance frequencies and positions of the miniaturized artificial cochlear sensory epithelium were measured to verify the frequency selectivity. Therefore, local resonance frequencies of 157–277 kHz and 103–178 kHz in the air were observed experimentally and numerically, respectively. The resonance positions varied along the longitudinal direction with the resonance frequency, indicating that the frequency selectivity of the basilar membrane was reproduced by the proposed miniaturized device. Although there was a deviation of 50% for resonance frequency between the numerical analysis and experimental results, it was expected that the thin film would alter the physical properties of each layer and additional verification is required. Although the resonance frequency range in the air was above the human audible range (20 Hz–20 kHz), the cochlea is filled with lymphatic fluid, which should shift the frequency range to a lower range.
Author Contributions
Funding
Institutional Review Board Statement
Informed Consent Statement
Data Availability Statement
Conflicts of Interest
References
- Merchant, S.N. Schuknecht’s Pathology of the Ear; PMPH-USA: Shelton, CT, USA, 2010. [Google Scholar]
- Robles, L.; Ruggero, M.A. Mechanics of the mammalian cochlea. Physiol. Rev. 2001, 81, 1305–1352. [Google Scholar] [CrossRef] [PubMed]
- Reichenbach, T.; Hudspeth, A. The physics of hearing: Fluid mechanics and the active process of the inner ear. Rep. Prog. Phys. 2014, 77, 076601. [Google Scholar] [CrossRef] [PubMed] [Green Version]
- Warchol, M.E.; Lambert, P.R.; Goldstein, B.J.; Forge, A.; Corwin, J.T. Regenerative proliferation in inner ear sensory epithelia from adult guinea pigs and humans. Science 1993, 259, 1619–1622. [Google Scholar] [CrossRef] [PubMed]
- Zeng, F.G. Trends in cochlear implants. Trends Amplif. 2004, 8, 1–34. [Google Scholar] [CrossRef] [PubMed] [Green Version]
- Rhodes, R.M.; Do, B.S.T. Future of implantable auditory devices. Otolaryngol. Clin. N. Am. 2019, 52, 363–378. [Google Scholar] [CrossRef]
- Wilson, B.S.; Dorman, M.F. Cochlear implants: A remarkable past and a brilliant future. Hear. Res. 2008, 242, 3–21. [Google Scholar] [CrossRef] [Green Version]
- Wilson, B.S.; Dorman, M.F. Cochlear implants: Current designs and future possibilities. J. Rehabil. Res. Dev. 2008, 45, 695–730. [Google Scholar] [CrossRef]
- Crathorne, L.; Bond, M.; Cooper, C.; Elston, J.; Weiner, G.; Taylor, R.; Stein, K. A systematic review of the effectiveness and cost-effectiveness of bilateral multichannel cochlear implants in adults with severe-to-profound hearing loss. Clin. Otolaryngol. 2012, 37, 342–354. [Google Scholar] [CrossRef]
- Shintaku, H.; Nakagawa, T.; Kitagawa, D.; Tanujaya, H.; Kawano, S.; Ito, J. Development of piezoelectric acoustic sensor with frequency selectivity for artificial cochlea. Sens. Actuators A Phys. 2010, 158, 183–192. [Google Scholar] [CrossRef]
- Jung, Y.; Kwak, J.H.; Lee, Y.H.; Kim, W.D.; Hur, S. Development of a multi-channel piezoelectric acoustic sensor based on an artificial basilar membrane. Sensors 2014, 14, 117–128. [Google Scholar] [CrossRef]
- Lee, H.S.; Chung, J.; Hwang, G.T.; Jeong, C.K.; Jung, Y.; Kwak, J.H.; Kang, H.; Byun, M.; Kim, W.D.; Hur, S.; et al. Flexible inorganic piezoelectric acoustic nanosensors for biomimetic artificial hair cells. Adv. Funct. Mater. 2014, 24, 6914–6921. [Google Scholar] [CrossRef]
- Jung, Y.; Kwak, J.H.; Kang, H.; Kim, W.D.; Hur, S. Mechanical and electrical characterization of piezoelectric artificial cochlear device and biocompatible packaging. Sensors 2015, 15, 18851–18864. [Google Scholar] [CrossRef] [PubMed]
- Kwak, J.H.; Jung, Y.; Song, K.; Hur, S. Fabrication of Si3N4-Based Artificial Basilar Membrane with ZnO Nanopillar Using MEMS Process. J. Sens. 2017, 2017, 1308217. [Google Scholar] [CrossRef] [Green Version]
- Kim, Y.; Kim, J.S.; Kim, G.W. A novel frequency selectivity approach based on travelling wave propagation in mechanoluminescence basilar membrane for artificial cochlea. Sci. Rep. 2018, 8, 12023. [Google Scholar] [CrossRef]
- Liu, Y.; Zhu, Y.; Liu, J.; Zhang, Y.; Liu, J.; Zhai, J. Design of bionic cochlear basilar membrane acoustic sensor for frequency selectivity based on film triboelectric nanogenerator. Nanoscale Res. Lett. 2018, 13, 191. [Google Scholar] [CrossRef] [Green Version]
- Tsuji, T.; Nakayama, A.; Yamazaki, H.; Kawano, S. Artificial cochlear sensory epithelium with functions of outer hair cells mimicked using feedback electrical stimuli. Micromachines 2018, 9, 273. [Google Scholar] [CrossRef] [Green Version]
- Yamazaki, H.; Yamanaka, D.; Kawano, S. A preliminary prototype high-speed feedback control of an artificial cochlear sensory epithelium mimicking function of outer hair cells. Micromachines 2020, 11, 644. [Google Scholar] [CrossRef]
- Jang, J.; Kim, S.; Sly, D.J.; O’leary, S.J.; Choi, H. MEMS piezoelectric artificial basilar membrane with passive frequency selectivity for short pulse width signal modulation. Sens. Actuators A Phys. 2013, 203, 6–10. [Google Scholar] [CrossRef]
- Jang, J.; Jang, J.H.; Choi, H. MEMS flexible artificial basilar membrane fabricated from piezoelectric aluminum nitride on an SU-8 substrate. J. Micromech. Microeng. 2017, 27, 075006. [Google Scholar] [CrossRef]
- Jeon, H.; Jang, J.; Kim, S.; Choi, H. Characterization of a Piezoelectric AlN Beam Array in Air and Fluid for an Artificial Basilar Membrane. Electron. Mater. Lett. 2018, 14, 101–111. [Google Scholar] [CrossRef]
- Park, S.; Guan, X.; Kim, Y.; Creighton, F.P.X.; Wei, E.; Kymissis, I.; Nakajima, H.H.; Olson, E.S. PVDF-based piezoelectric microphone for sound detection inside the cochlea: Toward totally implantable cochlear implants. Trends Hear. 2018, 22, 2331216518774450. [Google Scholar] [CrossRef] [PubMed]
- Ilik, B.; Koyuncuoğlu, A.; Şardan-Sukas, Ö.; Külah, H. Thin film piezoelectric acoustic transducer for fully implantable cochlear implants. Sens. Actuators A Phys. 2018, 280, 38–46. [Google Scholar] [CrossRef]
- Tsuji, T.; Imada, Y.; Yamazaki, H.; Kawano, S. Simultaneous measurement of the oscillation characteristics and electrical voltage output of an artificial cochlear sensory epithelium immersed in a liquid: Theory and experiment. Sens. Actuators A Phys. 2019, 295, 414–427. [Google Scholar] [CrossRef]
- Shintaku, H.; Tateno, T.; Tsuchioka, N.; Tanujaya, H.; Nakagawa, T.; Ito, J.; Kawano, S. Culturing neurons on MEMS fabricated P (VDF-TrFE) films for implantable artificial cochlea. J. Biomech. Sci. Eng. 2010, 5, 229–235. [Google Scholar] [CrossRef] [Green Version]
- Inaoka, T.; Shintaku, H.; Nakagawa, T.; Kawano, S.; Ogita, H.; Sakamoto, T.; Hamanishi, S.; Wada, H.; Ito, J. Piezoelectric materials mimic the function of the cochlear sensory epithelium. Proc. Natl. Acad. Sci. USA 2011, 108, 18390–18395. [Google Scholar] [CrossRef] [Green Version]
- Shintaku, H.; Inaoka, T.; Nakagawa, T.; Kawano, S.; Ito, J. Electrically Evoked Auditory Brainstem Response by Using Bionic Auditory Membrane in Guinea Pigs. J. Biomech. Sci. Eng. 2013, 8, 198–208. [Google Scholar] [CrossRef] [Green Version]
- Jang, J.; Lee, J.; Woo, S.; Sly, D.J.; Campbell, L.J.; Cho, J.H.; O’Leary, S.J.; Park, M.H.; Han, S.; Choi, J.W.; et al. A microelectromechanical system artificial basilar membrane based on a piezoelectric cantilever array and its characterization using an animal model. Sci. Rep. 2015, 5, 12447. [Google Scholar] [CrossRef]
- Yamazaki, H.; Tsuji, T.; Doi, K.; Kawano, S. Mathematical model of the auditory nerve response to stimulation by a micro-machined cochlea. Int. J. Numer. Methods Biomed. Eng. 2021, 37, e3430. [Google Scholar] [CrossRef]
- Joyce, B.S.; Tarazaga, P.A. Mimicking the cochlear amplifier in a cantilever beam using nonlinear velocity feedback control. Smart Mater. Struct. 2014, 23, 075019. [Google Scholar] [CrossRef]
- Joyce, B.S.; Tarazaga, P.A. Developing an active artificial hair cell using nonlinear feedback control. Smart Mater. Struct. 2015, 24, 094004. [Google Scholar] [CrossRef]
- Joyce, B.S.; Tarazaga, P.A. A study of active artificial hair cell models inspired by outer hair cell somatic motility. J. Intell. Mater. Syst. Struct. 2017, 28, 811–823. [Google Scholar] [CrossRef]
- Davaria, S.; Malladi, V.V.S.; Motaharibidgoli, S.; Tarazaga, P.A. Cochlear amplifier inspired two-channel active artificial hair cells. Mech. Syst. Signal Process. 2019, 129, 568–589. [Google Scholar] [CrossRef]
- Jeong, J.S.; Shung, K.K. Improved fabrication of focused single element P (VDF–TrFE) transducer for high frequency ultrasound applications. Ultrasonics 2013, 53, 455–458. [Google Scholar] [CrossRef] [PubMed] [Green Version]
- Song, J.; Zhao, G.; Li, B.; Wang, J. Design optimization of PVDF-based piezoelectric energy harvesters. Heliyon 2017, 3, e00377. [Google Scholar] [CrossRef]
- Bloomfield, P.E.; Lo, W.J.; Lewin, P.A. Experimental study of the acoustical properties of polymers utilized to construct PVDF ultrasonic transducers and the acousto-electric properties of PVDF and P (VDF/TrFE) films. IEEE Trans. Ultrason. Ferroelectr. Freq. Control 2000, 47, 1397–1405. [Google Scholar] [CrossRef]
- The Chemical Society of Japan. Handbook of Chemistry: Pure Chemistry, 4th ed.; Maruzen Publishing Co., Ltd.: Tokyo, Japan, 1993. [Google Scholar]
- Blackstock, D.T. Fundamentals of Physical Acoustics; John Wiley & Sons Inc.: Hoboken, NJ, USA, 2000. [Google Scholar]
- Sirohi, J.; Chopra, I. Fundamental understanding of piezoelectric strain sensors. J. Intell. Mater. Syst. Struct. 2000, 11, 246–257. [Google Scholar] [CrossRef]
- Ohigashi, H. Electromechanical properties of polarized polyvinylidene fluoride films as studied by the piezoelectric resonance method. J. Appl. Phys. 1976, 47, 949–955. [Google Scholar] [CrossRef]
- Chopra, I.; Durvasula, S. Vibration of simply-supported trapezoidal plates I. Symmetric trapezoids. J. Sound Vib. 1971, 19, 379–392. [Google Scholar] [CrossRef]
- Chopra, I.; Durvasula, S. Vibration of simply-supported trapezoidal plates II. Unsymmetric trapezoids. J. Sound Vib. 1972, 20, 125–134. [Google Scholar] [CrossRef]
- Ventzel, E.; Krauthammer, T. Thin Plates and Shells: Theory, Analysis, and Applications; Marcel Dekker: New York, NY, USA, 2001. [Google Scholar]
- Shabana, A.A. Theory of Vibration: Volume II: Discrete and Continuous Systems; Springer Science & Business Media: Heidelberg/Berlin, Germany, 2012. [Google Scholar]











| Trapezoidal | Curved | |||
|---|---|---|---|---|
| (kHz) | (mm) | (kHz) | (mm) | |
| 1 | 9.20 | 27.6 | 9.11 | 27.6 |
| 2 | 10.5 | 24.0 | 10.4 | 24.0 |
| 3 | 11.6 | 21.1 | 11.4 | 21.0 |
| Trapezoidal | Curved | |||
|---|---|---|---|---|
| (kHz) | (mm) | (kHz) | (mm) | |
| 1 | 9.20 | 27.2 | 9.10 | 27.2 |
| 2 | 10.4 | 23.5 | 10.2 | 23.0 |
| 3 | 12.0 | 20.9 | 11.4 | 19.9 |
| C (kHz mm) | ||||
|---|---|---|---|---|
| Trapezoidal | Curved | |||
| Numerical | Experimental | Numerical | Experimental | |
| 1 | 130 | 128 | 129 | 127 |
| 2 | 131 | 127 | 129 | 122 |
| 3 | 130 | 133 | 127 | 127 |
| Ave. | 130 ± 0.54 | 130 ± 3.21 | 127 ± 1.28 | 125 ± 2.42 |
| i | (kHz) | (μm) | (kHz) | (μm) |
|---|---|---|---|---|
| 1 | 103 | 634 | 157 | 648 |
| 2 | 140 | 482 | 219 | 490 |
| 3 | 178 | 383 | 277 | 345 |
Publisher’s Note: MDPI stays neutral with regard to jurisdictional claims in published maps and institutional affiliations. |
© 2022 by the authors. Licensee MDPI, Basel, Switzerland. This article is an open access article distributed under the terms and conditions of the Creative Commons Attribution (CC BY) license (https://creativecommons.org/licenses/by/4.0/).
Share and Cite
Yamazaki, H.; Kohno, Y.; Kawano, S. Oscillation Characteristics of an Artificial Cochlear Sensory Epithelium Optimized for a Micrometer-Scale Curved Structure. Micromachines 2022, 13, 768. https://doi.org/10.3390/mi13050768
Yamazaki H, Kohno Y, Kawano S. Oscillation Characteristics of an Artificial Cochlear Sensory Epithelium Optimized for a Micrometer-Scale Curved Structure. Micromachines. 2022; 13(5):768. https://doi.org/10.3390/mi13050768
Chicago/Turabian StyleYamazaki, Hiroki, Yutaro Kohno, and Satoyuki Kawano. 2022. "Oscillation Characteristics of an Artificial Cochlear Sensory Epithelium Optimized for a Micrometer-Scale Curved Structure" Micromachines 13, no. 5: 768. https://doi.org/10.3390/mi13050768
APA StyleYamazaki, H., Kohno, Y., & Kawano, S. (2022). Oscillation Characteristics of an Artificial Cochlear Sensory Epithelium Optimized for a Micrometer-Scale Curved Structure. Micromachines, 13(5), 768. https://doi.org/10.3390/mi13050768

