Effects of Heat Reflux on Two-Phase Flow Characteristics in a Capillary of the ADN-Based Thruster
Abstract
:1. Introduction
2. Experimental System and Error Analysis
2.1. Experimental System
2.2. Measurement Uncertainties Analysis
3. Thruster Model
3.1. Physical Modeling and Simplification
3.2. Grid Division
4. Simulation Calculation Basics
4.1. Control Equations
4.2. Model Assumptions and Boundary Conditions
5. Results and Discussion
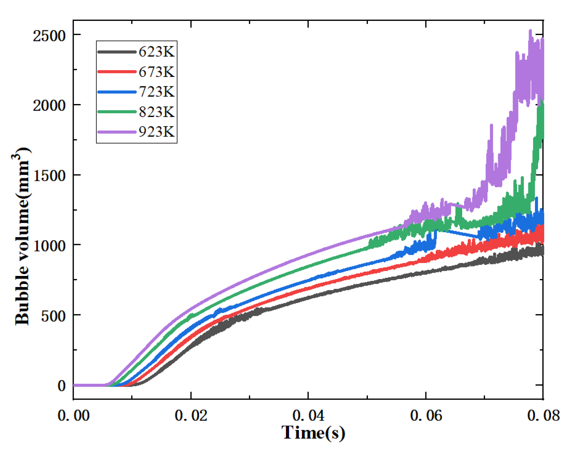
5.1. Experimental Results
5.2. Simulation Results
6. Conclusions
Author Contributions
Funding
Data Availability Statement
Conflicts of Interest
References
- Katsumi, T.; Hori, K. Successful development of HAN based green propellant. Energetic Mater. Front. 2021, 2, 228–237. [Google Scholar] [CrossRef]
- Hou, Y.; Yu, Y.; Liu, X.; Chen, J.; Zhang, T. Experimental Study on Microwave-Assisted Ignition and Combustion Characteristics of ADN-Based Liquid Propellant. ACS Omega 2021, 6, 22937–22944. [Google Scholar] [CrossRef] [PubMed]
- Rahman, A.; Chin, J.; Kabir, F.; Hung, Y.M. Characterization and Thrust Measurements from Electrolytic Decomposition of Ammonium Dinitramide (ADN) Based Liquid Monopropellant FLP-103 in MEMS Thrusters. Chin. J. Chem. Eng. 2018, 26, 1992–2002. [Google Scholar] [CrossRef] [Green Version]
- Yu, Y.S.; Li, G.X.; Zhang, T.; Chen, J.; Wang, M. Effects of Catalystbed’s Structure Parameters on Decomposition and Combustion Characteristics of an Ammonium Dinitramide (ADN)-Based Thruster. Energy Convers. Manag. 2015, 106, 566–575. [Google Scholar] [CrossRef]
- Cho, N.; Kim, S.; Kim, Y.; Jeong, S.; Jung, J. Two-phase flow characteristics of liquid oxygen flow in low pressure liquid rocket engine. Cryogenics 2004, 44, 493–500. [Google Scholar] [CrossRef]
- Schulte, G.; Gotzig, U.; Horch, A.; Dreer, T. Further Improvements and Qualification Status of Astrium’s10N Bipropellant Thruster Family. In Proceedings of the 39th AIAA/ASME/SAE/ASEE Joint Propulsion Conference and Exhibit, Huntsville, Alabama, 20–23 July 2003; p. 4776. [Google Scholar]
- Anflo, K.; Möllerberg, R. Flight Demonstration of New Thruster and Green Propellant Technology on the PRISMA Satellite. Acta Astronaut. 2009, 65, 1238–1249. [Google Scholar] [CrossRef] [Green Version]
- Zhang, W.; Wang, M.; Chen, Y.; Fu, T.Q.; Liu, X.H.; Yang, R.; Yao, Z.P. Numerical Simulation of Effects of Heat Soak-Back on Micro-Scale Flow Through a Capillary in ADN-Based Thruster. J. Propuls. Technol. 2020, 41, 101–108. [Google Scholar]
- Ariyo, D.O.; Bello-Ochende, T. Critical heat fluxes for subcooled flow boiling in optimised microchannels. Int. J. Hydromechatron. 2020, 3, 140–154. [Google Scholar] [CrossRef]
- Miguel, A.F. Permeability of fractal porous materials composed of different combinations of capillary tubes. Int. J. Hydromechatron. 2020, 3, 199–212. [Google Scholar] [CrossRef]
- Tibirica, C.B.; Ribatski, G. Flow boiling in micro-scale channels—Synthesized literature review. Int. J. Refrig. 2013, 36, 301–324. [Google Scholar] [CrossRef]
- Wang, G.; Cheng, P. An experimental study of flow boiling instability in a single microchannel. Int. Commun. Heat Mass Transf. 2008, 35, 1229–1234. [Google Scholar] [CrossRef]
- Wang, W.; Zhao, S.; Shao, T.; Zhang, M.; Jin, Y.; Cheng, Y. Numerical study of mixing behavior with chemical reactions in micro-channels by a lattice Boltzmann method. Chem. Eng. Sci. 2012, 84, 148–154. [Google Scholar] [CrossRef]
- Shams, M.; Raeini, A.Q.; Blunt, M.J.; Bijeljic, B. A numerical model of two-phase flow at the microscale using the volume-of-fluid method. J. Comput. Phys. 2018, 357, 159–182. [Google Scholar] [CrossRef]
- Lin, S.; Lu, J.; Tryggvason, G.; Zhang, Y. The effect of fluid shear on oscillating bubbly flows. Phys. Fluids 2019, 31, 42110. [Google Scholar] [CrossRef]
- Garoosi, F.; Merabtene, T.; Mahdi, T. Numerical simulation of merging of two rising bubbles with different densities and diameters using an enhanced Volume-Of-Fluid (VOF) model. Ocean Eng. 2022, 247, 110711. [Google Scholar] [CrossRef]
- Holman, J.P. Experimental Methods for Engineers, 4th ed.; McGraw-Hill: New York, NY, USA, 1984. [Google Scholar]
- da Silva Tonon, D.; Tomita, J.T.; Garcia, E.C.; Bringhenti, C.; Almeida, L.E.N. A parametric study of squealer tip geometries applied in a hydraulic axial turbine used in a rocket engine turbopump. Aerosp. Sci. Technol. 2022, 122, 107426. [Google Scholar] [CrossRef]
- Shareef, S.M.; Vikas, M.S.; Kumar, A.A.; Dasore, A.; Chhalotre, S.; Rajak, U.; Verma, T.N. Design and thermal analysis of engine cylinder fin body using various fin profiles. Mater. Today Proc. 2021, 47, 5776–5780. [Google Scholar] [CrossRef]
- Gim, Y.S.; Guan, H.Y.; Victoria, T. Improved Volume-of Fluid (VOF) Model for Predictions of Velocity Fields and Droplet Lengths in Microchannels. Flow Meas. Instrum. 2016, 51, 105–115. [Google Scholar]
- Kim, D.G.; Jeon, C.H.; Park, I.S. Comparison of Numerical Phase-Change Models through Stefan Vaporizing Problem. Int. Commun. Heat Mass Transf. 2017, 87, 228–236. [Google Scholar] [CrossRef]
- Wang, G.; Pang, S.; Jiang, T.; Han, W.; Chen, Z. Comparative study of thermally stratified heat storage tank using different heat transfer fluids based on fluid-solid coupling method. Case Stud. Therm. Eng. 2021, 28, 101629. [Google Scholar] [CrossRef]
- Corral, R.; Wang, Z. An Efficient Steady State Coupled Fluid-Solid Heat Transfer Method for Turbomachinery Applications. Int. J. Therm. Sci. 2018, 130, 59–69. [Google Scholar] [CrossRef]
- Sun, Y.; Zhang, X.; Howell, J.R. Evaluation of three different radiative transfer equation solvers for combined conduction and radiation heat transfer. J. Quant. Spectrosc. Radiat. Transf. 2016, 184, 262–273. [Google Scholar] [CrossRef]
- Lv, Y.; Xia, G.; Cheng, L.; Ma, D. Experimental investigation into unstable two-phase flow phenomena during flow boiling in multi-microchannels. Int. J. Therm. Sci. 2021, 166, 106985. [Google Scholar] [CrossRef]













| Device Name | Type | The Main Parameters |
|---|---|---|
| Mass flowmeter | CX-LFM-4-D-10 mL | Measuring range 0~0.2 g/s work pressure 0~2 MPa |
| Temperature Sensor | WRNK-162-GH3030 | Measuring range 0~800 °C |
| Cylinder pressure gauge | BYLB-6/25 | Measuring range 0~6 MPa |
| Pressure Sensor | ELE-801 | Measuring range 0~4 MPa |
| Measurement Parameters | Relative Error | Absolute Error |
|---|---|---|
| P (Pressure sensor) | 0.2% | ±0.02 MPa |
| T (Type K thermocouple) | 0.75% | ±1.5 °C |
| L (Mass flowmeter) | 0.2% | ±0.002 g/s |
| Properties | Value |
|---|---|
| Density (kg/m3) | 1550 |
| Cp (Specific Heat) (J/kg·k) | 2350 |
| Thermal conductivity (W/m·k) | 0.8 |
| Viscosity (kg/m·s) | 0.0046 |
| Molecular weight (kg/kmol) | 124.0562 |
| Boiling point at 0.12 MPa (°C) | 80.1 |
| Reference temperature (K) | 298.15 |
Publisher’s Note: MDPI stays neutral with regard to jurisdictional claims in published maps and institutional affiliations. |
© 2022 by the authors. Licensee MDPI, Basel, Switzerland. This article is an open access article distributed under the terms and conditions of the Creative Commons Attribution (CC BY) license (https://creativecommons.org/licenses/by/4.0/).
Share and Cite
Yan, Z.; Liu, X.; Yu, Y.; Cao, J.; Liu, X.; Zhang, S. Effects of Heat Reflux on Two-Phase Flow Characteristics in a Capillary of the ADN-Based Thruster. Micromachines 2022, 13, 597. https://doi.org/10.3390/mi13040597
Yan Z, Liu X, Yu Y, Cao J, Liu X, Zhang S. Effects of Heat Reflux on Two-Phase Flow Characteristics in a Capillary of the ADN-Based Thruster. Micromachines. 2022; 13(4):597. https://doi.org/10.3390/mi13040597
Chicago/Turabian StyleYan, Zhuan, Xuhui Liu, Yusong Yu, Jie Cao, Xiaodan Liu, and Shurui Zhang. 2022. "Effects of Heat Reflux on Two-Phase Flow Characteristics in a Capillary of the ADN-Based Thruster" Micromachines 13, no. 4: 597. https://doi.org/10.3390/mi13040597
APA StyleYan, Z., Liu, X., Yu, Y., Cao, J., Liu, X., & Zhang, S. (2022). Effects of Heat Reflux on Two-Phase Flow Characteristics in a Capillary of the ADN-Based Thruster. Micromachines, 13(4), 597. https://doi.org/10.3390/mi13040597

