Abstract
Compliant mechanisms are widely used in cutting-edge scientific and technological fields such as precision engineering, micro-/nano-manipulation, or microelectronics. Hence, the demand for multi-degree-of-freedom compliant mechanisms has increased sharply. The structure of compliant mechanisms becomes increasingly complex with the increase of degrees of freedom. Here, a compliant mechanism with six degrees of freedom is proposed based on curved beams. The compliant mechanism has the advantages of simple structure and multi-degree-of-freedom. Using the isogeometric analysis method, a model of the mechanism is constructed. Static analysis show that six degrees of freedom can be generated. The prototype of the mechanism is developed by 3D printing. A loading test in six degrees of freedom is carried out. The output and input have high linear relations and the structure has low inter-directional coupling. We trust that this study provides a pioneering step towards the design of compliant mechanisms based on curved beam elements.
1. Introduction
Due to advantages such as no requirement for lubrication, no backlash, and less assembly [1,2,3,4,5], compliant mechanisms are widely used in the fields of precision processing, biological cell manipulation, microelectronics and micro-/nano-manipulation [6,7,8,9,10]. The demand of multi degrees of freedom leads to the structure of compliant mechanism becoming increasingly complex. Complex configurations in compliant mechanisms usually lead to intractable designing and manufacturing [11,12]. Hence, developing a kind of compliant mechanism with a simple structure and multi degrees of freedom is urgent to meet growing demand for multi degrees of freedom compliant mechanisms.
Multi-degree-of-freedom can always be realized through the parallel, serial, or hybrid flexible hinges or compliant straight beams [13]. The series compliant mechanism can provide more degrees of freedom, but series compliant mechanisms are rarely used because of their low stiffness. Parallel and hybrid approaches are common configurations of compliant mechanisms. Hopkins [14,15] presented the freedom and constraint topology method and a variety of multi degrees of freedom complex compliant mechanisms have been designed. Some hybrid compliant mechanisms based on the straight beams were synthesized with this method. Nelson [16] employed folding techniques from origami to develop a hybrid compliant mechanism with multi degrees of freedom. The complex compliant mechanism is difficult to made. Pinskier [17] investigated a four degrees of freedom parallel-serial slave mechanism. a methodology was presented to precisely control the motion of a multi degrees of freedom piezo-actuated flexure mechanism with haptic feedback. Zheng [18] proposed a hybrid compliant mechanism with a flexible central chain and a cantilever beam. The relationship between the moving platform and parallel kinematic chains was derived. Jiang [19] presented a compact flexure-based decoupler with two degrees of freedom. The decoupler is a compliant mechanism with parallel configuration. Yu [20] applied freedom and constraint topology to design a compliant parallel mechanism with two rotational degrees of freedom, which meets the requirement of a lightweight and compact pan-tilt platform. Ruiz [21] proposed a three-PRS compliant parallel manipulator of three degrees of freedom. The solid body kinematics model of the three-PRS was established. Zhu [22] synthesized a six degrees of freedom spatial compliant mechanism combined the topology optimization method with the isomorphic mapping matrix. The geometry after topology optimization was not standardized, and the establishment of the model was relatively difficult. Yu [23] designed a three prismatic-prismatic-revolute planar compliant parallel mechanism with three degrees of freedom. The mechanical structure guaranteed the motions along/about the specific axes to improve motion accuracy. Telleria [24] proposed design rules and models for the synthesis and optimization of cylindrical flexures. These new flexures systems could meet the requirement for applications constrained to a cylindrical geometry. However, the flexible element is only limited to circular curved beams. It is difficult to model arbitrary curved beams. As mentioned above, the simple structure and multi degrees of freedom always conflict with each other for the compliant mechanism based on flexible hinges or compliant straight beams. A curved beam compliant mechanism has a certain contribution to solve this contradiction, but the existing curved beam compliant mechanism is only limited to cylindrical geometry, and the modeling method is only limited to a circular arc curved beam.
This research presents the two main contributions to solve the contradiction of simple structure and multi degrees of freedom. (i) Taking advantage of a curved beam with multi degrees of freedom, a six degrees of freedom spatial compliant mechanism based on the curved beam is proposed. (ii) Isogeometric analysis is utilized to model the compliant mechanism based on curved beam elements. Application of isogeometric analysis solves the problem of modeling the compliant mechanism based on a curved beam with an arbitrary shape.
2. Design of the Compliant Mechanism Based on Curved Beam Compliant Element
A six degrees of freedom compliant mechanism with simple structure is designed based on a curved beam compliant element. The compliant mechanism is designed by combining eight compliant curved beams and a worktable, as shown in Figure 1.
Figure 1.
Prototype of the six degrees of freedom compliant mechanism.
Non-uniform rational B-splines (NURBS) c(x, y, z) is employed to construct the curved beam model [25], which is shown in Figure 2. The Frenet frame (t, n, b) is used to define the local coordinate system. is the unit tangent vector, is the unit normal vector and is the unit binormal vector.
Figure 2.
A spatial curved beam and its Frenet frame at a given point p(s).
The parameter equation of the curved beam is defined by [26]
where, is the i-th NURBS control point, are the basis function of the NURBS, is the number of control points, represents the i-th weight, is the parameter coordinate.
is the i-th B-spline basis function with order p, and the definition of is:
The worktable is simplified to four rigid straight beams, and the curved beams are replaced by NURBS. The geometric model of the curved beam compliant mechanism can be simplified to Figure 3.
Figure 3.
Model of spatial curved beam compliant mechanism based on non-uniform rational B-splines (NURBS).
3. Modeling of the Compliant Mechanism with Isogeometric Analysis
The isogeometric analysis method is employed to establish the model of the compliant mechanism. In the geometric method, the NURBS basis function is used as the shape function of the element. Then it is convenient to obtain the relationship between stiffness matrix and geometric parameters.
As shown in Figure 2, the Frenet frame (t, n, b) is used to define the local coordinate system. The orthonormal triad can be calculated by:
where, the superscript means , means the module length of vector and means the vector product of vectors and .
In the Frenet framework, the strain formula can be derived as [27]:
where, ds is the infinitesimal arch length, is the curvature of the curved beam, is the torsion of the curved beam, and are defined as displacement and rotation fields in local coordinates, and are the displacement and rotation fields in global coordinates.
Then the local strain with respect to the global variables is derived as [28]:
In isogeometric analysis, both geometry and solution space are obtained on the basis of NURBS. Therefore, the displacements and rotations in the global coordinate system are established as:
According to the formula , the strain matrix can be expressed as:
For linear equilibrium, the constitutive matrix is:
where, E and G are the Young and shear modulus, A is the area of the section of the beam, is the inertia of torsion, and are the moment of inertia of the cross section, and are the shear correction factors for the local n and b axes, respectively.
According to isoparametric transformation [29,30], the relation between infinitesimal arch length and the parametric coordinate is defined as:
and
A non-zero knot vector interval is regarded as an element, and the element stiffness matrix in an element is calculated by:
As shown in Figure 3, each curved beam has three control points, and each control point has six degrees of freedom. Then the stiffness matrix of curved beam element can be expressed as:
where, is the 6-order submatrix, the values corresponding to and are the control point number of the curved beam element.
For example, the and of the curved beam element ΙΙ in Figure 3 are 1, 4 and 5 respectively, and the element stiffness matrix is:
The worktable is replaced by four straight beam elements. The Young’s modulus of the straight beam is set to times that of the curved beam, so that the worktable can be approximately regarded as a rigid body. The straight beam element stiffness matrix is a 12-order matrix, which is expressed as:
where, is the 6-order submatrix, the values corresponding to i and j are the control point number of the straight beam matrix.
The stiffness matrices of straight beams and curved beams are all obtained in the global coordinate system. All the element stiffness matrices are assembled to the global stiffness matrix, which is as follows,
According to the derivation process of Formulas (4)–(16), the global stiffness matrix of the compliant mechanism can be obtained according to the geometric parameters NURBS curve and material properties of the curved beam. According to Formula (16), the input–output relationship of the compliant mechanism is:
where, represents the global stiffness matrix, represents the load vector and represents the node displacement vector.
Mesh refinement can improve the accuracy of isogeometric analysis. The k-refinement method is to increase the order first, then insert the node [31]. The Young’s modulus of material is set as 1.6 GPa, Poisson ratio is set as 0.4 and the density is set as 1.37 g/mm3. Figure 4 shows the mesh refinement of the mechanism by using the k-refinement method. Figure 4a is the compliant mechanism without refinement, the order p is 2, and each curved beam has three control points. Figure 4b–f are the compliant mechanism with different refinement times. With the increase of refinement times, the number of control points increases, and the control points are closer to the curve. Increasing the refinement times can effectively improve the calculation accuracy.
Figure 4.
Refinement of the curved beam with different times. (a) The compliant mechanism without refinement. (b) The compliant mechanism with 1 time refinement. (c) The compliant mechanism with 2 times refinement. (d) The compliant mechanism with 3 times refinement. (e) The compliant mechanism with 4 times refinement. (f) The compliant mechanism with 5 times refinement.
In order to obtain reasonable subdivision times, the convergence analysis of output displacement is carried out by increasing the refinement times. Figure 5 shows the displacements of worktable center point with different refinement times. The data begin to remain stable over the five times of refinement. Therefore, the curved beam elements with five times of refinement are selected.
Figure 5.
Convergence curve of displacement with refinement time.
Apply the load to the center control point of the worktable. Under the maximum load of 120 N in each direction, the displacement along the X-axis is 0.0173 mm, the displacement along the Y-axis is 0.0170 mm, the displacement along the Z-axis is 0.0083 mm, the rotation around the X-axis is 1.064 rad, the rotation around the Y-axis is 1.065 rad, and the rotation around the Z-axis is 0.561 rad. The displacements and rotations under the maximum load of 120 N are shown in Table 1.
Table 1.
The displacements and rotations under the maximum load of 120 N.
According to Equation (17), The change law of output with the input force/moment is obtained in Figure 6.

Figure 6.
The relationship between input and output from the isogeometric model (solid lines represent the displacements and dashed lines express the rotations). (a) The displacements and rotations of each direction when loading in Fx direction. (b) The displacements and rotations of each direction when loading in Mx direction. (c) The displacements and rotations of each direction when loading in Fy direction. (d) The displacements and rotations of each direction when loading in My direction. (e) The displacements and rotations of each direction when loading in Fz direction. (f) The displacements and rotations of each direction when loading in Mz direction.
The linear regression equations of each degree of freedom are as follows:
The displacements and rotations in Figure 6 demonstrated that the compliant mechanism has six degrees of freedom. As shown in Figure 6a, when a force is applied on the X-axis, an accompanying rotation around the Y-axis will be generated. Similarly, when the Y-axis force is applied, an accompanying rotation around the X-axis will be generated, as shown in Figure 6b. These are a disadvantage of this structure. Although it can achieve six degrees of freedom, it has a certain coupling between different directions.
4. Manufacturing and Experiment
In order to reduce the error caused by assembly, the compliant mechanism can be manufactured by 3D printing. Then the compliant elements, the worktable, the base, and the fixtures of the actuator are integrated, as shown in Figure 7.
Figure 7.
Spatial six degrees of freedom compliant mechanism model for 3D printing.
The compliant mechanism is manufactured using a Form 3 printer with low-stress light-curing molding technology, and a transparent photosensitive resin material is chosen. The total height of the printed model is 62.75 mm, the layer thickness is 0.1 mm and the accuracy of the 3D printer is 0.025 mm. The model for 3D printing with supports is shown in Figure 8.
Figure 8.
The placement and supports of the compliant mechanism in 3D printing.
The compliant mechanism is driven by piezoelectric ceramic actuators PSt150/7/20 with fast response and nanometer resolution. The driven voltage ranges from 0 V to 150 V, and the displacements are measured by a micrometer. Static driving force should be applied, so the static force loading mode on the control software of the piezoelectric ceramic actuators is selected. The curved beam compliant mechanism and actuators are assembled into an experimental device as shown in Figure 9.
Figure 9.
The experimental device with curved beam compliant mechanism and actuators.
Due to the limit of experimental conditions, the rotation is realized by driving a single piezoelectric actuator in the experiment. As shown in Figure 10. The driving load F is that of the piezoelectric actuator when rotating along the X-axis and its equivalent replacement force is F′, F1 and F2. The rotation of the X-axis is realized by driving the load F through piezoelectric actuator, and the load F can be equivalent to a force F′ and a moment generated by F1 and F2. The moment around Y-axis is obtained with the same method as the X-axis.
Figure 10.
Equivalent relationship between force and moment under X-axis and Y-axis loading. (a) Equivalent relationship between force and moment under X-axis loading. (b) Equivalent relationship between force and moment under Y-axis loading.
The displacement along the X-axis will be generated if the worktable of the compliant mechanism is driven by actuator 1. Actuator 2 can drive the worktable move along the Y-axis. The displacement along the Z-axis can be obtained by actuator 3. Rotation around the X-axis will be generated if the worktable of compliant mechanism is driven by actuator 4. Rotation around the Y-axis can be obtained by actuator 5. Actuator 6 and actuator 7 can drive the worktable rotate around the Z-axis. The loading and measuring on the six degrees of freedom of the compliant mechanism are shown in Figure 11.
Figure 11.
The loading and measuring on six degrees of freedom. (a) Loading along X-axis direction. (b) Loading along Y-axis direction. (c) Loading along Z-axis direction. (d) Loading around X-axis direction. (e) Loading around Y-axis direction. (f) Loading around Z-axis direction.
The input displacements are achieved by controlling the voltage of the piezoelectric ceramic actuators. Under the maximum driving voltage of piezoelectric actuator, the measured displacement along the X-axis is 0.0157 mm, the displacement along the Y-axis is 0.0158 mm, the displacement along the Z-axis is 0.0148 mm, the measured rotation around the X-axis is 0.00034 rad, the rotation around the Y-axis is 0.000343 rad and the rotation around the Z-axis is 0.000182 rad. The displacements and rotations in all directions under the maximum drive voltage are obtained in Table 2.
Table 2.
The displacements and rotations in all directions under the maximum drive of the piezoelectric actuator.
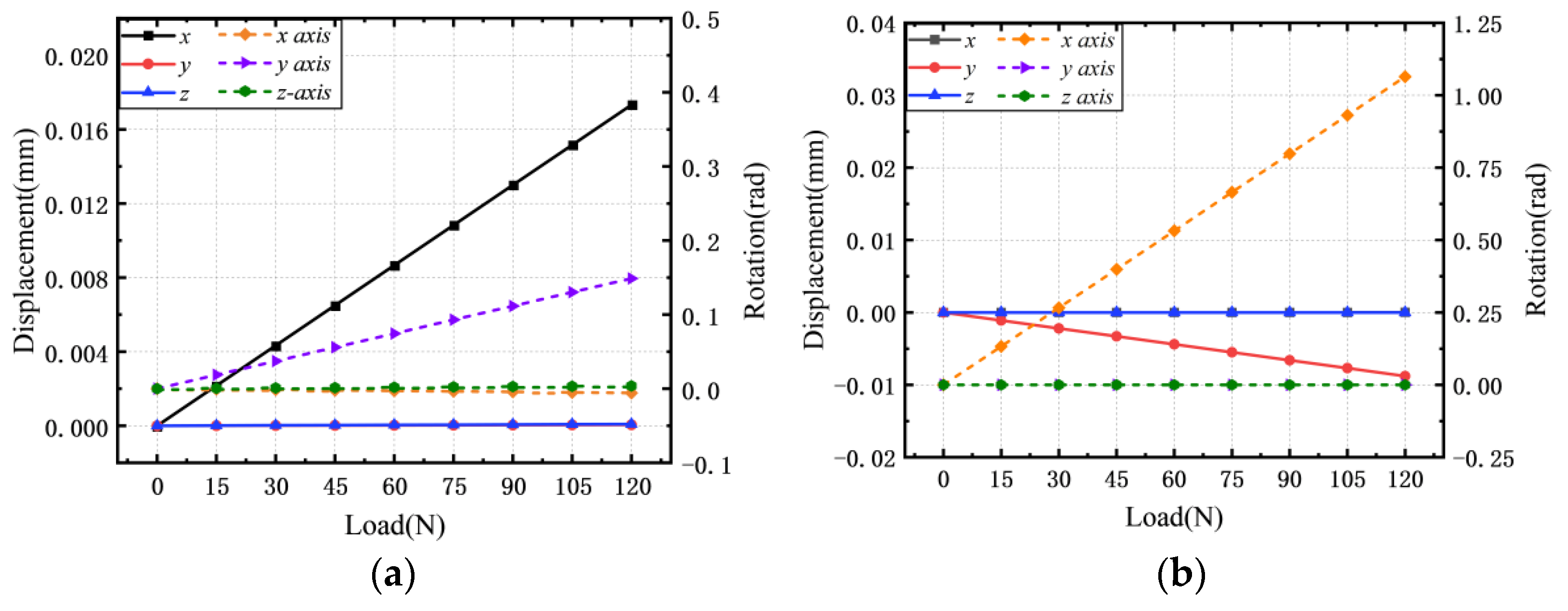
Voltages from 15–120 V are applied to the actuators, then the displacements and rotations of each direction are recorded by the micrometer. The relationship between the input voltages and the output displacements and rotations is shown in Figure 12.
Figure 12.
Relationship between the input voltages and the output displacements and rotations in each degree of freedom (solid lines represent the displacements and dashed lines express the rotations). (a) Load along X-axis direction. (b) Load around X-axis direction. (c) Load along Y-axis direction. (d) Load around Y-axis direction. (e) Load along Z-axis direction. (f) Load around Z-axis direction.
The linear regression equations of each degree of freedom direction are as follows:
The slope of the input-output linear regression model obtained by isogeometric analysis and the experiment are shown in Table 3.
Table 3.
Comparison of slopes after dimensionless process.
From Table 3, we cannot compare whether the theory is consistent with the experiment. The specific reasons are as follows: (1) In the torque loading experiment results, there is only voltage on the X-axis and no force arm, because the multiplication of voltage arm has no physical meaning. (2) The dimensions are inconsistent. The input in isogeometric analysis is force or moment, while the input in the experiment is voltage.
For comparison, the data are processed as follows: (1) In the experimental data processing of moment loading, the x coordinate is changed into the multiplication of voltage and force arm. The force arm of the X-axis and the Y-axis is 36 mm and the force arm of the Z-axis is 52 mm. Then the slope is recalculated. (2) Dimensionless processing should be conducted to the slope obtained by isogeometric analysis and the experiment. For the dimensionless process of force, the slope of the X-axis loading force and output displacement is used as the benchmark. For the dimensionless process of moment, the slope of the X-axis loading force and output displacement is used as the benchmark. The theoretical and experimental slopes obtained after the dimensionless process are shown in Table 4.
Table 4.
The linear regression equation slope ratios between isogeometric analysis results and experimental data.
According to Table 4, the linear regression equation slope ratios of theory and experiment are closed. Then the correctness of the theoretical model is verified. The difference between the experimental data and isogeometric analysis results may be due to the piezoelectric actuator input error, machining error, assembly error, the gravity of the moving part and the surrounding environmental factors such as temperature. The experimental data demonstrated that the input and output displacements and rotations of compliant mechanisms in the six degrees of freedom have a good linear relation, and the maximum inter-directional coupling rate is less than 12%.
5. Conclusions
A simple compliant mechanism with six degrees of freedom based on the curved beam element is proposed. Isogeometric analysis is employed to establish the model of the compliant mechanism. Experiments are conducted to verify the feasibility. The main conclusions are as follows:
Based on the curved beam element, a simple compliant mechanism with six degrees of freedom is synthesized. NURBS is employed to express the curved beam model. The simplified geometric model of the compliant mechanism is established.
The element stiffness matrix suitable for spatial curved beams was derived by isogeometric analysis. The global stiffness matrix of the compliant mechanism was obtained. The static analysis of the compliant mechanism presented the relationship between the input and output.
The compliant mechanism was manufactured by 3D printing. The loading test in six degrees of freedom verified the feasibility of the curved beam compliant mechanism. The relationship between output and input was basically consistent with the isogeometric model. The maximum inter-directional coupling rate was less than 12%.
Although the proposed compliant mechanism solves the contradiction between multi degrees of freedom and a simple structure, the structure has the disadvantage of directional coupling. In the future, we expect to optimize the performance of the compliant mechanism by changing the shape of the curved beam.
Author Contributions
Conducted structure and experimental methods design, S.L.; performed simulation, experiments and result analysis, J.W.; conducted experimental guidance, W.X., Q.H., H.L. and Q.W. All authors have read and agreed to the published version of the manuscript.
Funding
This research was funded by National Natural Science Foundation of China, grant number 51775078.
Conflicts of Interest
The authors declare no conflict of interest.
References
- Tian, Y.; Shirinzadeh, B.; Zhang, D. Design and dynamics of a 3-DOF flexure-based parallel mechanism for micro/nano manipulation. Microelectron. Eng. 2010, 87, 230–241. [Google Scholar] [CrossRef]
- Li, H.; Hao, G.; Kavanagh, R.C. A New XYZ Compliant Parallel Mechanism for Micro-/Nano-Manipulation: Design and Analysis. Micromachines 2016, 7, 23. [Google Scholar] [CrossRef]
- Zhu, W.-L.; Duan, F.; Zhang, X.; Zhu, Z.; Ju, B.-F. A new diamond machining approach for extendable fabrication of micro-freeform lens array. Int. J. Mach. Tools Manuf. 2018, 124, 134–148. [Google Scholar] [CrossRef]
- Chen, X.; Deng, Z.; Hu, S.; Gao, J.; Gao, X. Design of a Compliant Mechanism Based Four-Stage Amplification Piezoelectric-Driven Asymmetric Microgripper. Micromachines 2019, 11, 25. [Google Scholar] [CrossRef] [PubMed]
- Shoshani, O.; Shaw, S.W. Resonant modal interactions in micro/nano-mechanical structures. Nonlinear Dyn. 2021, 104, 1801–1828. [Google Scholar] [CrossRef]
- Gauthier, M.; Piat, E. Control of a particular micro-macro positioning system applied to cell micromanipulation. IEEE Trans. Autom. Sci. Eng. 2006, 3, 264–271. [Google Scholar] [CrossRef]
- Wang, P.; Xu, Q. Design and Testing of a Flexure-Based Constant-Force Stage for Biological Cell Micromanipulation. IEEE Trans. Autom. Sci. Eng. 2018, 15, 1114–1126. [Google Scholar] [CrossRef]
- Chen, N.; Tian, C. Design, modeling and testing of a 3-DOF flexible piezoelectric thin sheet nanopositioner. Sens. Actuators A Phys. 2021, 323, 112660. [Google Scholar] [CrossRef]
- Wang, R.; Zhou, X.; Meng, G. Development of A New Type of 2-DOF Piezo-Actuated Pseudo-Decoupled Compliant Mechanism for Elliptical Vibration Machining. Micromachines 2019, 10, 122. [Google Scholar] [CrossRef]
- Yong, Y.K. A new preload mechanism for a high-speed piezoelectric stack nanopositioner. Mechatronics 2016, 36, 159–166. [Google Scholar] [CrossRef]
- Ling, M.; Howell, L.L.; Cao, J.; Chen, G. Kinetostatic and Dynamic Modeling of Flexure-Based Compliant Mechanisms: A Survey. Appl. Mech. Rev. 2020, 72, 030802. [Google Scholar] [CrossRef]
- Ling, M.; Cao, J.; Howell, L.L.; Zeng, M. Kinetostatic modeling of complex compliant mechanisms with serial-parallel substructures: A semi-analytical matrix displacement method. Mech. Mach. Theory 2018, 125, 169–184. [Google Scholar] [CrossRef]
- Tian, Y.; Shirinzadeh, B.; Zhang, D.; Zhong, Y. Three flexure hinges for compliant mechanism designs based on dimensionless graph analysis. Precis. Eng. 2010, 34, 92–100. [Google Scholar] [CrossRef]
- Hopkins, J.B.; Culpepper, M.L. Synthesis of multi-degree of freedom, parallel flexure system concepts via freedom and constraint topology (FACT). Part II: Practice. Precis. Eng. 2010, 34, 271–278. [Google Scholar] [CrossRef]
- Hopkins, J.B.; McCalib, D. Synthesizing multi-axis flexure systems with decoupled actuators. Precis. Eng. 2016, 46, 206–220. [Google Scholar] [CrossRef]
- Nelson, T.G.; Avila, A.; Howell, L.L.; Herder, J.L.; Machekposhti, D.F. Origami-inspired sacrificial joints for folding compliant mechanisms. Mech. Mach. Theory 2019, 140, 194–210. [Google Scholar] [CrossRef]
- Pinskier, J.; Shirinzadeh, B.; Clark, L.; Qin, Y. Development of a 4-DOF haptic micromanipulator utilizing a hybrid parallel-serial flexure mechanism. Mechatronics 2018, 50, 55–68. [Google Scholar] [CrossRef]
- Zheng, Y.; Yang, Y.; Wu, R.-J.; He, C.-Y.; Guang, C.-H. Dynamic analysis of a hybrid compliant mechanism with flexible central chain and cantilever beam. Mech. Mach. Theory 2021, 155, 104095. [Google Scholar] [CrossRef]
- Jiang, Y.; Li, T.; Wang, L. Design, Development, and Application of a Compact Flexure-Based Decoupler With High Motion Transmission Efficiency and Excellent Input Decoupling Performance. IEEE/ASME Trans. Mechatron. 2017, 22, 1071–1081. [Google Scholar] [CrossRef]
- Yu, J.; Lu, D.; Hao, G. Design and analysis of a compliant parallel pan-tilt platform. Meccanica 2015, 51, 1559–1570. [Google Scholar] [CrossRef]
- Ruiz, A.; Campa, F.J.; Roldán-Paraponiaris, C.; Altuzarra, O.; Pinto, C. Experimental validation of the kinematic design of 3-PRS compliant parallel mechanisms. Mechatronics 2016, 39, 77–88. [Google Scholar] [CrossRef]
- Zhu, D.; Zhan, W. Topology optimization of a 6-DOF spatial compliant mechanism based on Stewart propotype platform. Acta Mech. Sin. 2019, 35, 1044–1059. [Google Scholar] [CrossRef]
- Yu, H.; Zhang, C.; Yang, B.; Chen, S.L.; Fang, Z.; Li, R.; Yang, G. The design and kinetostatic modeling of 3PPR planar compliant parallel mechanism based on compliance matrix method. Rev. Sci. Instrum. 2019, 90, 045102. [Google Scholar] [CrossRef]
- Telleria, M.J.; Culpepper, M.L. Understanding the drivers for the development of design rules for the synthesis of cylindrical flexures. Mech. Sci. 2012, 3, 25–32. [Google Scholar] [CrossRef][Green Version]
- Imani, B.M.; Hashemian, S.A. Nurbs-Based Profile Reconstruction using Constrained Fitting Techniques. J. Mech. 2012, 28, 407–412. [Google Scholar] [CrossRef]
- Hosseini, S.F.; Hashemian, A.; Moetakef-Imani, B.; Hadidimoud, S. Isogeometric analysis of free-form Timoshenko curved beams including the nonlinear effects of large deformations. Acta Mech. Sin. 2018, 34, 728–743. [Google Scholar] [CrossRef]
- Choit, J.K.; Lim, J.K. General curved beam elements based on the assumed strain fields. Comput. Struct. 1995, 55, 379–386. [Google Scholar] [CrossRef]
- Hu, Q.; Xia, Y.; Zou, R.; Hu, P. A global formulation for complex rod structures in isogeometric analysis. Int. J. Mech. Sci. 2016, 115, 736–745. [Google Scholar] [CrossRef]
- Cazzani, A.; Malagù, M.; Turco, E.; Stochino, F. Constitutive models for strongly curved beams in the frame of isogeometric analysis. Math. Mech. Solids 2015, 21, 182–209. [Google Scholar] [CrossRef]
- Liu, H.; Zhu, X.; Yang, D. Isogeometric method based in-plane and out-of-plane free vibration analysis for Timoshenko curved beams. Struct. Eng. Mech. 2016, 59, 503–526. [Google Scholar] [CrossRef]
- Hughes, T.J.R.; Cottrell, J.A.; Bazilevs, Y. Isogeometric analysis: CAD, finite elements, NURBS, exact geometry and mesh refinement. Comput. Methods Appl. Mech. Eng. 2005, 194, 4135–4195. [Google Scholar] [CrossRef]
Publisher’s Note: MDPI stays neutral with regard to jurisdictional claims in published maps and institutional affiliations. |
© 2022 by the authors. Licensee MDPI, Basel, Switzerland. This article is an open access article distributed under the terms and conditions of the Creative Commons Attribution (CC BY) license (https://creativecommons.org/licenses/by/4.0/).












