Impacts of Crystal Quality on Carrier Recombination and Spin Dynamics in (110)-Oriented GaAs/AlGaAs Multiple Quantum Wells at Room Temperature
Abstract
1. Introduction
2. Experimental Methods
3. Results and Discussions
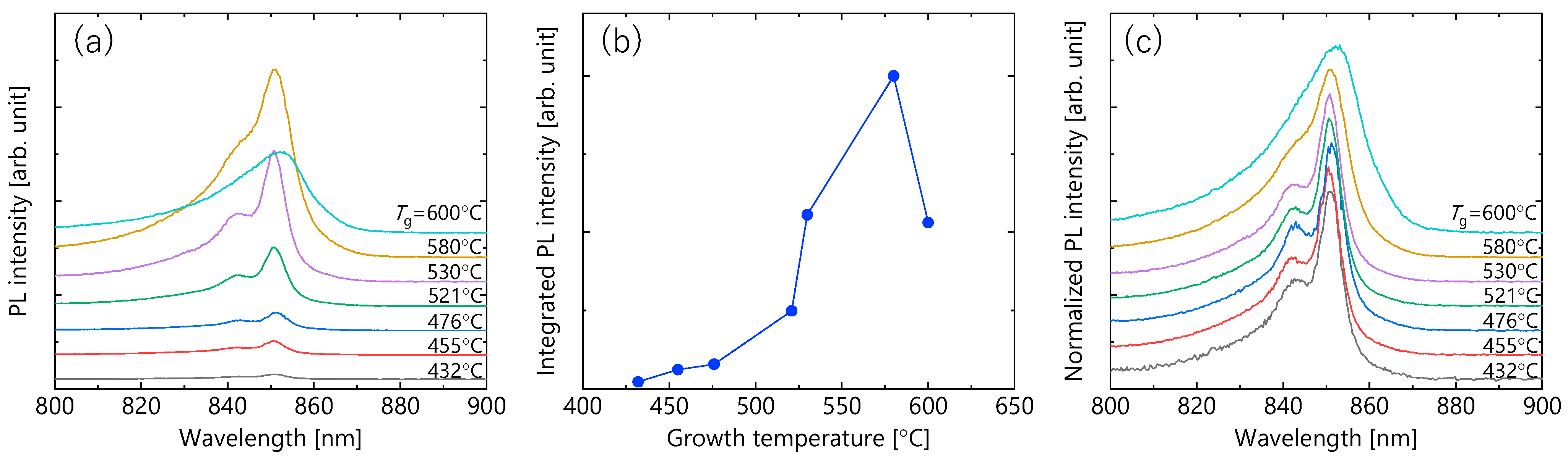
3.1. Characterizations of Sample Structures and Static Photoluminescence
3.2. Carrier and Spin Dynamics
4. Conclusions
Author Contributions
Funding
Data Availability Statement
Conflicts of Interest
References
- Žutić, I.; Fabian, J.; Sarma, S.D. Spintronics: Fundamentals and applications. Rev. Mod. Phys. 2004, 76, 323. [Google Scholar] [CrossRef]
- Sugahara, S.; Nitta, J. Spin-transistor electronics: An overview and outlook. Proc. IEEE 2010, 98, 2124. [Google Scholar] [CrossRef]
- Holub, M.; Battacharya, P. Spin-polarized light-emitting diodes and lasers. J. Phys. D Appl. Phys. 2007, 40, R179. [Google Scholar] [CrossRef]
- Nishizawa, N.; Nishibayashi, K.; Munekata, H. Pure circular polarization electroluminescence at room temperature with spin-polarized light-emitting diodes. Proc. Natl. Acad. Sci. USA 2017, 114, 1783. [Google Scholar] [CrossRef]
- Žutić, I.; Xu, G.; Lindemann, M.; Junior, P.E.F.; Lee, J.; Labinac, V.; Stojšić, K.; Sipahi, G.M.; Hofmann, M.R.; Gerhardt, N.C. Spin-lasers: Spintronics beyond magnetoresistance. Solid State Commun. 2020, 316, 113949. [Google Scholar] [CrossRef]
- Meir, F.; Zakharchenya, B.P. Optical Orientation; Elsevier: Amsterdam, The Netherlands, 1984. [Google Scholar]
- D’yakonov, M.I. Spin Physics in Semiconductors; Springer: New York, NY, USA, 2008. [Google Scholar]
- Hernández-Mínguez, A.; Biermann, K.; Hey, R.; Santos, P.V. Spin transport and spin manipulation in GaAs (110) and (111) quantum wells. Phys. Status Solidi B 2014, 251, 1736. [Google Scholar] [CrossRef]
- Döhrmann, S.; Hägele, D.; Rudolph, J.; Bichler, M.; Schuh, D.; Oestreich, M. Anomalous spin dephasing in (110) GaAs quantum wells: Anisotropy and intersubband effects. Phys. Rev. Lett. 2004, 93, 147405. [Google Scholar] [CrossRef]
- Bernevig, B.A.; Orenstein, J.; Zhang, S.-C. Exact SU (2) symmetry and persistent spin helix in a spin-orbit coupled system. Phys. Rev. Lett. 2006, 97, 236601. [Google Scholar] [CrossRef] [PubMed]
- Couto, O.D.D., Jr.; Iikawa, F.; Rudolph, J.; Hey, R.; Santos, P.V. Anisotropic spin transport in (110) GaAs quantum wells. Phys. Rev. Lett. 2007, 98, 036603. [Google Scholar] [CrossRef] [PubMed]
- Chen, Y.S.; Fält, S.; Wegscheider, W.; Salis, G. Unidirectional spin-orbit interaction and spin-helix state in a (110)-oriented GaAs/(Al, Ga) As quantum well. Phys. Rev. B 2014, 90, 121304(R). [Google Scholar] [CrossRef]
- Völkl, R.; Schwemmer, M.; Griesbeck, M.; Tarasenko, S.A.; Schuh, D.; Wegscheider, W.; Schüller, C.; Korn, T. Spin polarization, dephasing, and photoinduced spin diffusion in (110)-grown two-dimensional electron systems. Phys. Rev. B 2014, 89, 075424. [Google Scholar] [CrossRef]
- Ohno, Y.; Terauchi, R.; Adachi, T.; Matsukura, F.; Ohno, H. Spin relaxation in GaAs (110) quantum wells. Phys. Rev. Lett. 1999, 83, 4196. [Google Scholar] [CrossRef]
- D’yakonov, M.I.; Kachorovskii, V.Y. Spin relaxation of two-dimensional electrons in noncentrosymmetric semiconductors. Sov. Phys. Semicond. 1986, 20, 110. [Google Scholar]
- Palinginis, P.; Sedgwick, F.; Crankshaw, S.; Moewe, M.; Chang-Hasnain, C. Room temperature slow light in a quantum-well waveguide via coherent population oscillation. Opt. Express 2005, 13, 9909. [Google Scholar] [CrossRef] [PubMed]
- Yokota, N.; Aoshima, Y.; Ikeda, K.; Kawaguchi, H. Room temperature spin transport in undoped (110) GaAs/AlGaAs quantum wells. Appl. Phys. Lett. 2014, 104, 072406. [Google Scholar] [CrossRef]
- Ohno, Y.; Iba, S.; Okamoto, R.; Obata, Y.; Obu, K.; Domingez, J.J.P.; Saito, H. Room-temperature spin relaxation in a (110)-oriented GaAs/AlGaAs superlattice with tunnel-coupled quantum wells. Appl. Phys. Express 2020, 13, 123003. [Google Scholar] [CrossRef]
- Iba, S.; Koh, S.; Kawaguchi, H. Room temperature gate modulation of electron spin relaxation time in (110)-oriented GaAs/AlGaAs quantum wells. Appl. Phys. Lett. 2010, 97, 202102. [Google Scholar] [CrossRef]
- Iba, S.; Koh, S.; Ikeda, K.; Kawaguchi, H. Room temperature circularly polarized lasing in an optically spin injected vertical-cavity surface-emitting laser with (110) GaAs quantum wells. Appl. Phys. Lett. 2011, 98, 081113. [Google Scholar] [CrossRef]
- Iba, S.; Fujino, H.; Fujimoto, T.; Koh, S.; Kawaguchi, H. Correlation between electron spin relaxation time and hetero-interface roughness in (110)-oriented GaAs/AlGaAs multiple-quantum wells. Physica E 2009, 41, 870. [Google Scholar] [CrossRef]
- Koh, S.; Nakanishi, A.; Kawaguchi, H. Electron spin relaxation time in GaAs/AlGaAs multiple quantum wells grown on slightly misoriented GaAs (110) substrates. Appl. Phys. Lett. 2010, 97, 081111. [Google Scholar] [CrossRef]
- Iba, S.; Saito, H.; Watanabe, K.; Ohno, Y.; Yuasa, S. Systematic study of surface morphology, photoluminescence efficiency, and spin-detection sensitivity in (110)-oriented GaAs/AlGaAs quantum wells. Jpn. J. Appl. Phys. 2016, 55, 113001. [Google Scholar] [CrossRef]
- Dawson, P.; Woodbridge, K. Effects of prelayers on minority-carrier lifetime in GaAs/AlGaAs double heterostructures grown by molecular beam epitaxy. Appl. Phys. Lett. 1984, 45, 1227. [Google Scholar] [CrossRef]
- Foxon, C.T.; Cheng, T.S.; Dawson, P.; Lacklison, D.E.; Orton, J.W.; van der Vleuten, W.; Hughes, O.H.; Henini, M. External photoluminescence efficiency and minority carrier lifetime of (Al,Ga)As/GaAs multi-quantum-well samples grown by molecular beam epitaxy using both As2 and As4. J. Vac. Sci. Technol. B 1994, 12, 1026. [Google Scholar] [CrossRef]
- Tok, E.S.; Jones, T.S.; Neave, J.H.; Zhang, J.; Joyce, B.A. Is the arsenic incorporation kinetics important when growing GaAs (001),(110), and (111) A films? Appl. Phys. Lett. 1997, 71, 3278. [Google Scholar] [CrossRef]
- Tok, E.S.; Neave, J.H.; Ashwin, M.J.; Joyce, B.A.; Jones, T.S. Growth of Si-doped GaAs (110) thin films by molecular beam epitaxy; Si site occupation and the role of arsenic. J. Appl. Phys. 1998, 83, 4160. [Google Scholar] [CrossRef]
- Seymour, R.J.; Alfano, R.R. Time-resolved measurement of the electron-spin relaxation kinetics in GaAs. Appl. Phys. Lett. 1980, 37, 231. [Google Scholar] [CrossRef]
- Damen, T.C.; Via, L.; Cunningham, J.E.; Shah, J.; Sham, L.J. Subpicosecond spin relaxation dynamics of excitons and free carriers in GaAs quantum wells. Phys. Rev. Lett. 1991, 67, 3432. [Google Scholar] [CrossRef]
- Ishii, A.; Aisaka, T.; Oh, J.-W.; Yoshita, M.; Akiyama, H. Low and anisotropic barrier energy for adatom migration on a GaAs (110) surface studied by first-principles calculations. Appl. Phys. Lett. 2003, 83, 4187. [Google Scholar] [CrossRef]
- Gurioli, M.; Vinattieri, A.; Colocci, M.; Deparis, C.; Massies, J.; Neu, G.; Bosacchi, A.; Franchi, S. Temperature dependence of the radiative and nonradiative recombination time in GaAs/AlxGa1-xAs quantum-well structures. Phys. Rev. B 1991, 44, 3115. [Google Scholar] [CrossRef]
- Kim, H.; Yeu, I.W.; Han, G.; Ju, G.; Lee, Y.J.; Shin, Y.; Choi, J.H.; Koo, H.C.; Kim, H. Surface morphology evolution and underlying defects in homoepitaxial growth of GaAs (110). J. Alloys Compd. 2021, 874, 159848. [Google Scholar] [CrossRef]
- Fawcett, P.N.; Neave, J.H.; Zhang, J.; Joyce, B.A. The observation of monolayer and bilayer growth during the deposition of GaAs (110) films by molecular beam epitaxy. Surf. Sci. 1993, 296, 67. [Google Scholar] [CrossRef]
- Bir, G.L.; Aronov, A.G.; Pikus, G.E. Spin relaxation of electrons due to scattering by holes. Zh. Eksp. Teor. Fiz. 1975, 69, 1382. [Google Scholar]
- Karimov, O.Z.; John, G.H.; Harley, R.T.; Lau, W.H.; Flatté, M.E.; Henini, M.; Airey, R. High temperature gate control of quantum well spin memory. Phys. Rev. Lett. 2003, 91, 246601. [Google Scholar] [CrossRef]
- Eldridge, P.S.; Leyland, W.J.H.; Lagoudakis, P.G.; Harley, R.T.; Phillips, R.T.; Winkler, R.; Henini, M.; Taylor, D. Rashba spin-splitting of electrons in asymmetric quantum wells. Phys. Rev. B 2010, 82, 045317. [Google Scholar] [CrossRef]
- English, D.J.; Hübner, J.; Eldridge, P.S.; Taylor, D.; Henini, M.; Harley, R.T.; Oestreich, M. Effect of symmetry reduction on the spin dynamics of (001)-oriented GaAs quantum wells. Phys. Rev. B 2013, 87, 075304. [Google Scholar] [CrossRef]
- Sherman, E.Y. Random spin–orbit coupling and spin relaxation in symmetric quantum wells. Appl. Phys. Lett. 2003, 82, 209. [Google Scholar] [CrossRef]
- Zhou, Y.; Wu, M.W. Spin relaxation due to random Rashba spin-orbit coupling in GaAs (110) quantum wells. Europhys. Lett. 2010, 89, 57001. [Google Scholar] [CrossRef][Green Version]








Publisher’s Note: MDPI stays neutral with regard to jurisdictional claims in published maps and institutional affiliations. |
© 2021 by the authors. Licensee MDPI, Basel, Switzerland. This article is an open access article distributed under the terms and conditions of the Creative Commons Attribution (CC BY) license (https://creativecommons.org/licenses/by/4.0/).
Share and Cite
Iba, S.; Okamoto, R.; Obu, K.; Obata, Y.; Ohno, Y. Impacts of Crystal Quality on Carrier Recombination and Spin Dynamics in (110)-Oriented GaAs/AlGaAs Multiple Quantum Wells at Room Temperature. Micromachines 2021, 12, 1112. https://doi.org/10.3390/mi12091112
Iba S, Okamoto R, Obu K, Obata Y, Ohno Y. Impacts of Crystal Quality on Carrier Recombination and Spin Dynamics in (110)-Oriented GaAs/AlGaAs Multiple Quantum Wells at Room Temperature. Micromachines. 2021; 12(9):1112. https://doi.org/10.3390/mi12091112
Chicago/Turabian StyleIba, Satoshi, Ryogo Okamoto, Koki Obu, Yuma Obata, and Yuzo Ohno. 2021. "Impacts of Crystal Quality on Carrier Recombination and Spin Dynamics in (110)-Oriented GaAs/AlGaAs Multiple Quantum Wells at Room Temperature" Micromachines 12, no. 9: 1112. https://doi.org/10.3390/mi12091112
APA StyleIba, S., Okamoto, R., Obu, K., Obata, Y., & Ohno, Y. (2021). Impacts of Crystal Quality on Carrier Recombination and Spin Dynamics in (110)-Oriented GaAs/AlGaAs Multiple Quantum Wells at Room Temperature. Micromachines, 12(9), 1112. https://doi.org/10.3390/mi12091112

