Bias Stress Stability of Solution-Processed Nano Indium Oxide Thin Film Transistor
Abstract
1. Introduction
2. Materials and Methods
3. Results and Discussion
3.1. Effect of Plasma Surface Treatment on Solution Spreading
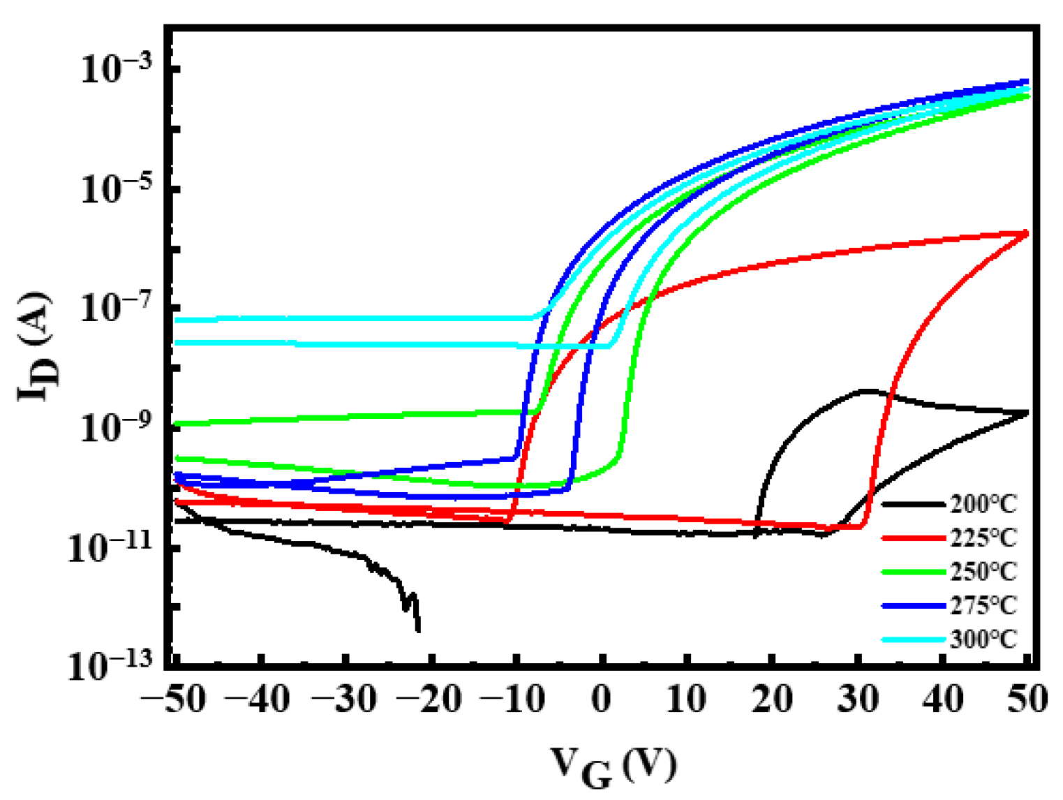
3.2. Effect of Annealing Temperature on In2O3 Thin Films and TFTs
3.3. Bias Stability of Indium Oxide Thin Film Transistors (In2O3-TFTs)
4. Conclusions
Author Contributions
Funding
Conflicts of Interest
References
- Twyman, N.M.; Tetzner, K.; Anthopoulos, T.D.; Payne, D.J.; Regoutz, A. Rapid photonic curing of solution-processed In2O3 layers on flexible substrates. Appl. Surf. Sci. 2019, 479, 974–979. [Google Scholar] [CrossRef]
- Chen, R.; Lan, L. Solution-processed metal-oxide thin-film transistors: A review of recent developments. Nanotechnology 2019, 30, 312001. [Google Scholar] [CrossRef]
- Lee, S.; Shin, J.; Jang, J. Top Interface Engineering of Flexible Oxide Thin-Film Transistors by Splitting Active Layer. Adv. Funct. Mater. 2017, 27, 1604921. [Google Scholar] [CrossRef]
- Xu, W.; Long, M.; Zhang, T.; Liang, L.; Cao, H.; Zhu, D.; Xu, J. Fully solution-processed metal oxide thin-film transistors via a low-temperature aqueous route. Ceram. Int. 2017, 43, 6130–6137. [Google Scholar] [CrossRef]
- Nomura, K.; Ohta, H.; Takagi, A.; Kamiya, T.; Hirano, M.; Hosono, H. Room-temperature fabrication of transparent flexible thin-film transistors using amorphous oxide semiconductors. Nat. Cell Biol. 2004, 432, 488–492. [Google Scholar] [CrossRef]
- Park, J.S.; Maeng, W.J.; Kim, H.S.; Park, J.S. Review of recent developments in amorphous oxide semiconductor thin-film transistor devices. Thin Solid Films 2012, 520, 1679–1693. [Google Scholar] [CrossRef]
- Myny, K. The development of flexible integrated circuits based on thin-film transistors. Nat. Electron. 2018, 1, 30–39. [Google Scholar] [CrossRef]
- Nomura, K.; Ohta, H.; Ueda, K.; Kamiya, T.; Hirano, M.; Hosono, H. Thin-Film Transistor Fabricated in Single-Crystalline Transparent Oxide Semiconductor. Science 2003, 300, 1269–1272. [Google Scholar] [CrossRef] [PubMed]
- Karnaushenko, D.; Münzenrieder, N.; Karnaushenko, D.D.; Koch, B.; Meyer, A.K.; Baunack, S.; Petti, L.; Tröster, G.; Makarov, D.; Schmidt, O.G. Biomimetic Microelectronics for Regenerative Neuronal Cuff Implants. Adv. Mater. 2015, 27, 6797–6805. [Google Scholar] [CrossRef] [PubMed]
- Huang, G.; Duan, L.; Dong, G.; Zhang, D.; Qiu, Y. High-Mobility Solution-Processed Tin Oxide Thin-Film Transistors with High-κ Alumina Dielectric Working in Enhancement Mode. ACS Appl. Mater. Interfaces 2014, 6, 20786–20794. [Google Scholar] [CrossRef] [PubMed]
- Bin Esro, M.; Vourlias, G.; Somerton, C.; Milne, W.I.; Adamopoulos, G. High-Mobility ZnO Thin Film Transistors Based on Solution-processed Hafnium Oxide Gate Dielectrics. Adv. Funct. Mater. 2015, 25, 134–141. [Google Scholar] [CrossRef]
- Cai, W.; Wilson, J.; Zhang, J.; Park, S.; Majewski, L.; Song, A. Low-Voltage, Flexible InGaZnO Thin-Film Transistors Gated with Solution-Processed, Ultra-Thin AlxOy. IEEE Electron Device Lett. 2018, 40, 36–39. [Google Scholar] [CrossRef]
- Chen, C.-K.; Hsieh, H.-H.; Shyue, J.-J.; Wu, C.-C. The Influence of Channel Compositions on the Electrical Properties of Solution-Processed Indium-Zinc Oxide Thin-Film Transistors. J. Disp. Technol. 2009, 5, 509–514. [Google Scholar] [CrossRef]
- Jang, J.; Kitsomboonloha, R.; Swisher, S.L.; Park, E.S.; Kang, H.; Subramanian, V. Transparent High-Performance Thin Film Transistors from Solution-Processed SnO2/ZrO2Gel-like Precursors. Adv. Mater. 2012, 25, 1042–1047. [Google Scholar] [CrossRef]
- Lee, C.-G.; Dodabalapur, A. Solution-processed zinc–tin oxide thin-film transistors with low interfacial trap density and improved performance. Appl. Phys. Lett. 2010, 96, 243501. [Google Scholar] [CrossRef]
- Kim, S.J.; Yoon, S.; Kim, H.J. Review of solution-processed oxide thin-film transistors. Jpn. J. Appl. Phys. 2014, 53, 02BA02. [Google Scholar] [CrossRef]
- Zhang, J.; Fu, X.; Zhou, S.; Ning, H.; Wang, Y.; Guo, D.; Cai, W.; Li, J.-A.; Yao, R.; Peng, J. The Effect of Zirconium Doping on Solution-Processed Indium Oxide Thin Films Measured by a Novel Nondestructive Testing Method (Microwave Photoconductivity Decay). Coatings 2019, 9, 426. [Google Scholar] [CrossRef]
- Park, S.; Kim, C.H.; Lee, W.J.; Sung, S.; Yoon, M.H. Sol-gel metal oxide dielectrics for all-solution-processed electronics. Mater. Eng. R Rep. 2017, 114, 1–22. [Google Scholar] [CrossRef]
- Chang, S.B.; Chae, H.U.; Kim, H.S. Structural, optical, electrical and morphological properties of different concentration sol-gel ZnO seeds and consanguineous ZnO nanostructured growth dependence on seeds. J. Alloys Compd. 2017, 729, 571–582. [Google Scholar]
- Yang, J.; Li, C.; Zhang, X.; Quan, Z.; Zhang, C.; Li, H.; Lin, J. Self-Assembled 3D Architectures of LuBO3:Eu3+: Phase-Selective Synthesis, Growth Mechanism, and Tunable Luminescent Properties. Chemistry 2008, 14, 4336–4345. [Google Scholar] [CrossRef]
- Rana, A.U.H.S.; Kang, M.; Kim, H.-S. Microwave-assisted Facile and Ultrafast Growth of ZnO Nanostructures and Proposition of Alternative Microwave-assisted Methods to Address Growth Stoppage. Sci. Rep. 2016, 6, 24870. [Google Scholar] [CrossRef] [PubMed]
- Hafeezullah; Yamani, Z.H.; Iqbal, J.; Qurashi, A.; Hakeem, A.S. Rapid sonochemical synthesis of In2O3 nanoparticles their doping optical, electrical and hydrogen gas sensing properties. J. Alloys Compd. 2014, 616, 76–80. [Google Scholar] [CrossRef]
- Rana, A.U.H.S.; Kim, H.S. NH4OH Treatment for an Optimum Morphological Trade-off to Hydrothermal Ga-Doped n-ZnO/p-Si Heterostructure Characteristics. Materials 2018, 11, 37. [Google Scholar] [CrossRef] [PubMed]
- Zhang, G.; Lu, K.; Zhang, X.; Yuan, W.; Shi, M.; Ning, H.; Tao, R.; Liu, X.; Yao, R.; Peng, J. Effects of Annealing Temperature on Optical Band Gap of Sol–gel Tungsten Trioxide Films. Micromachines 2018, 9, 377. [Google Scholar] [CrossRef]
- Zheng, M.J.; Zhang, L.D.; Li, G.H.; Zhang, X.Y.; Wang, X.F. Ordered indium-oxide nanowire arrays and their photoluminescence properties. Appl. Phys. Lett. 2001, 79, 839–841. [Google Scholar] [CrossRef]
- Seo, S.-J.; Choi, C.G.; Hwang, Y.-H.; Bae, B.-S. High performance solution-processed amorphous zinc tin oxide thin film transistor. J. Phys. D Appl. Phys. 2008, 42, 035106. [Google Scholar] [CrossRef]
- Chiang, H.Q.; Wager, J.; Hoffman, R.L.; Jeong, J.; Keszler, D.A. High mobility transparent thin-film transistors with amorphous zinc tin oxide channel layer. Appl. Phys. Lett. 2005, 86, 013503. [Google Scholar] [CrossRef]
- Nguyen, M.-C.; Jang, M.; Lee, D.-H.; Bang, H.-J.; Lee, M.; Jeong, J.K.; Yang, H.; Choi, R. Li-Assisted Low-Temperature Phase Transitions in Solution-Processed Indium Oxide Films for High-Performance Thin Film Transistor. Sci. Rep. 2016, 6, 25079. [Google Scholar] [CrossRef]
- Choi, H.S.; Cho, W.J. Controlling In-Ga-Zn-O Thin-Film Resistance by Vacuum Rapid Thermal Annealing and Application to Transparent Electrode. Phys. Status Solidi 2019, 216, 1800653.1–1800653.6. [Google Scholar] [CrossRef]
- Nguyen, M.-C.; Nguyen, A.H.T.; Ji, H.; Cheon, J.; Kim, J.-H.; Yu, K.-M.; Cho, S.-Y.; Kim, S.-W.; Choi, R. Application of Single-Pulse Charge Pumping Method on Evaluation of Indium Gallium Zinc Oxide Thin-Film Transistors. IEEE Trans. Electron. Dev. 2018, 65, 3786–3790. [Google Scholar] [CrossRef]
- Kim, H.S.; Byrne, P.D.; Facchetti, A.; Marks, T.J. High Performance Solution-Processed Indium Oxide Thin-Film Transistors. J. Am. Chem. Soc. 2008, 130, 12580–12581. [Google Scholar] [CrossRef] [PubMed]
- Troughton, J.; Atkinson, D. Amorphous InGaZnO and metal oxide semiconductor devices: An overview and current status. J. Mater. Chem. C 2019, 7, 12388–12414. [Google Scholar] [CrossRef]
- Jeon, H.; Jin, S.Y.; Park, W.H.; Lee, H.; Kim, H.T.; Ryou, M.H.; Lee, Y.M. Plasma-assisted water-based Al2O3 ceramic coating for polyethylene-based microporous separators for lithium metal secondary batteries. Electrochim. Acta 2016, 212, 649–656. [Google Scholar] [CrossRef]
- Huang, K.-M.; Ho, C.-L.; Chang, H.-J.; Wu, M.-C. Fabrication of inverted zinc oxide photonic crystal using sol–gel solution by spin coating method. Nanoscale Res. Lett. 2013, 8, 306. [Google Scholar] [CrossRef] [PubMed]
- Zhuang, L.; Jiang, K.; Zhang, G.; Tang, J.; Lee, S.W.R. O-2 Plasma Treatment in Polymer Insulation Process for Through Silicon Vias. In Proceedings of the 2014 15th International Conference on Electronic Packaging Technology (ICEPT), Chengdu, China, 12–15 August 2014. [Google Scholar]
- Tho, S.Y.; Ibrahim, K.; Kamarulazizi, B.I. Plasma Pre-Treatment of Polyethylene Terephthalate Substrate Influence on the Properties of ZnO Thin Film. Adv. Mater. Res. 2014, 895, 41–44. [Google Scholar] [CrossRef]
- Park, J.H.; Yoo, Y.B.; Lee, K.H.; Jang, W.S.; Oh, J.Y.; Chae, S.S.; Lee, H.W.; Han, S.W.; Baik, H.K. Boron-Doped Peroxo-Zirconium Oxide Dielectric for High-Performance, Low-Temperature, Solution-Processed Indium Oxide Thin-Film Transistor. ACS Appl. Mater. Interfaces 2013, 5, 8067–8075. [Google Scholar] [CrossRef]
- Park, J.H.; Kim, K.; Yoo, Y.B.; Park, S.Y.; Lim, K.-H.; Lee, K.H.; Baik, H.K.; Kim, Y.S. Water adsorption effects of nitrate ion coordinated Al2O3 dielectric for high performance metal-oxide thin-film transistor. J. Mater. Chem. C 2013, 1, 7166–7174. [Google Scholar] [CrossRef]
- Jiang, S.; Zhang, Q.; Li, Y.; Zhang, Y.; Sun, X.; Jiang, B. Structural characteristics of SrTiO3 thin films processed by rapid thermal annealing. J. Cryst. Growth 2005, 274, 500–505. [Google Scholar] [CrossRef]
- Choi, C.-H.; Han, S.-Y.; Su, Y.-W.; Fang, Z.; Lin, L.-Y.; Cheng, C.-C.; Chang, C.-H. Fabrication of high-performance, low-temperature solution processed amorphous indium oxide thin-film transistors using a volatile nitrate precursor. J. Mater. Chem. C 2014, 3, 854–860. [Google Scholar] [CrossRef]
- Kang, D.; Lim, H.; Kim, C.; Song, I.; Park, J.; Park, Y.; Chung, J. Amorphous gallium indium zinc oxide thin film transistors: Sensitive to oxygen molecules. Appl. Phys. Lett. 2007, 90, 192101. [Google Scholar] [CrossRef]








| Temperature (°C) | Vth (V) | Ion/Ioff | μsat (cm2·V−1·s−1) | SS (V·dec−1) |
|---|---|---|---|---|
| 200 | - | 2.83 × 102 | - | - |
| 225 | 39.67 | 6.70 × 104 | - | - |
| 250 | 6.46 | 3.00 × 105 | 0.837 | 1.77 |
| 275 | 0.84 | 5.93 × 106 | 1.288 | 1.03 |
| 300 | –2.93 | 7.27 × 103 | 1.099 | 2.69 |
Publisher’s Note: MDPI stays neutral with regard to jurisdictional claims in published maps and institutional affiliations. |
© 2021 by the authors. Licensee MDPI, Basel, Switzerland. This article is an open access article distributed under the terms and conditions of the Creative Commons Attribution (CC BY) license (http://creativecommons.org/licenses/by/4.0/).
Share and Cite
Yao, R.; Fu, X.; Li, W.; Zhou, S.; Ning, H.; Tang, B.; Wei, J.; Cao, X.; Xu, W.; Peng, J. Bias Stress Stability of Solution-Processed Nano Indium Oxide Thin Film Transistor. Micromachines 2021, 12, 111. https://doi.org/10.3390/mi12020111
Yao R, Fu X, Li W, Zhou S, Ning H, Tang B, Wei J, Cao X, Xu W, Peng J. Bias Stress Stability of Solution-Processed Nano Indium Oxide Thin Film Transistor. Micromachines. 2021; 12(2):111. https://doi.org/10.3390/mi12020111
Chicago/Turabian StyleYao, Rihui, Xiao Fu, Wanwan Li, Shangxiong Zhou, Honglong Ning, Biao Tang, Jinglin Wei, Xiuhua Cao, Wei Xu, and Junbiao Peng. 2021. "Bias Stress Stability of Solution-Processed Nano Indium Oxide Thin Film Transistor" Micromachines 12, no. 2: 111. https://doi.org/10.3390/mi12020111
APA StyleYao, R., Fu, X., Li, W., Zhou, S., Ning, H., Tang, B., Wei, J., Cao, X., Xu, W., & Peng, J. (2021). Bias Stress Stability of Solution-Processed Nano Indium Oxide Thin Film Transistor. Micromachines, 12(2), 111. https://doi.org/10.3390/mi12020111

