A Multiband Antenna Stacked with Novel Metamaterial SCSRR and CSSRR for WiMAX/WLAN Applications
Abstract
1. Introduction
2. Literature Review
3. Antenna Layout and Design
4. Parameters Extraction of Metamaterial Unit Cell Using Waveguide Medium
5. Split Gap Analysis, Individual Unit Cell (Resonator) Loading Effect, and Current Distribution
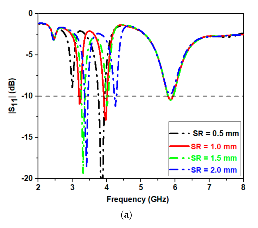
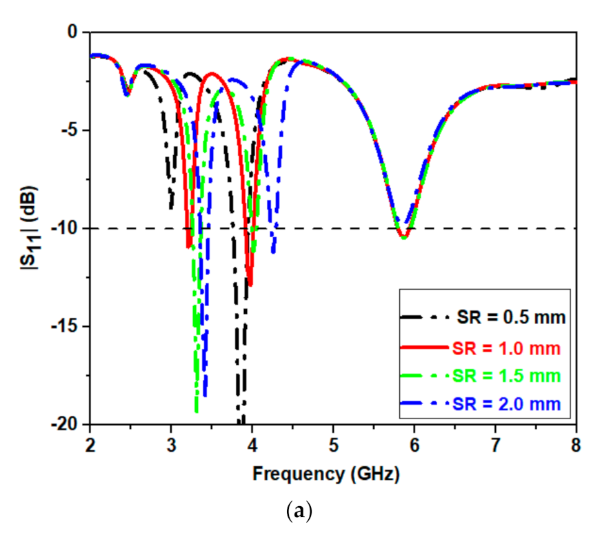
6. Results and Discussion
7. Conclusions
Author Contributions
Funding
Institutional Review Board Statement
Informed Consent Statement
Data Availability Statement
Conflicts of Interest
References
- Dong, Y.; Itoh, T. Metamaterial-Based Antennas. Proc. IEEE 2012, 100, 2271–2285. [Google Scholar] [CrossRef]
- Prasad, K.D.; Ali, T.; Biradar, R.C. A compact slotted multiband antenna for L-band and WLAN applications. In Proceedings of the 2017 2nd IEEE International Conference on Recent Trends in Electronics, Information & Communication Technology (RTEICT), Bangalore, India, 19–20 May 2017; pp. 820–823. [Google Scholar]
- Ali, T.; Mohammad, S.A.W.; Biradar, R.C. A novel metamaterial rectangular CSRR with pass band characteristics at 2.95 and 5.23 GHz. In Proceedings of the 2017 2nd IEEE International Conference on Recent Trends in Electronics, Information & Communication Technology (RTEICT), Bangalore, India, 19–20 May 2017; pp. 256–260. [Google Scholar]
- Ali, T.; Subhash, B.K.; Pathan, S.; Biradar, R.C. A compact decagonal-shaped UWB monopole planar antenna with truncated ground plane. Microw. Opt. Technol. Lett. 2018, 60, 2937–2944. [Google Scholar] [CrossRef]
- Grimberg, R. Electromagnetic metamaterials. Mater. Sci. Eng. B 2013, 178, 1285–1295. [Google Scholar] [CrossRef]
- Veselago, V.G. The Electrodynamics of Substances with Simultaneously Negative Values of ϵ and μ. Phys. Uspekhi 1968, 10, 509–514. [Google Scholar] [CrossRef]
- Pendry, J.B. Negative Refraction Makes a Perfect Lens. Phys. Rev. Lett. 2000, 85, 3966–3969. [Google Scholar] [CrossRef] [PubMed]
- Caloz, C.; Itoh, T. Electromagnetic Metamaterials: Transmission Line Theory and Microwave Applications; John Wiley & Sons: Hoboken, NJ, USA, 2005. [Google Scholar]
- Krzysztofik, W.J.; Cao, T.N. Metamaterials in application to improve antenna parameters. In Metamaterials and Metasurfaces; IntechOpen: London, UK, 2018. [Google Scholar]
- Pouyanfar, N.; Nourinia, J.; Ghobadi, C.; Pedram, K. Compact Multiband Metamaterial-Based Antenna for WLAN and WiMAX Applications. In Proceedings of the 2019 5th Conference on Knowledge Based Engineering and Innovation (KBEI), Tehran, Iran, 28 February–1 March 2019; pp. 250–255. [Google Scholar]
- Choudhury, B. Metamaterial Inspired Electromagnetic Applications; Springer Nature: London, UK, 2017. [Google Scholar]
- Haider, A.; Khan, T.; Rahman, M.; Lee, B.M.; Kim, H.S. Quintuple Band Antenna for Wireless Applications with Small Form Factor. Comput. Mater. Contin. 2021, 66, 2241–2251. [Google Scholar] [CrossRef]
- Khan, T.; Rahman, M. Design of Low-Profile Frequency Reconfigurable Antenna for Multiband Applications. Int. J. Electron. Lett. 2020, 1–18. [Google Scholar] [CrossRef]
- Amani, N.; Kamyab, M.; Jafargholi, A.; Hosseinbeig, A.; Meiguni, J.S. Compact tri-band metamaterial-inspired antenna based on CRLH resonant structures. Electron. Lett. 2014, 50, 847–848. [Google Scholar] [CrossRef]
- Huang, H.; Liu, Y.; Zhang, S.; Gong, S. Multiband Metamaterial-Loaded Monopole Antenna for WLAN/WiMAX Applications. IEEE Antennas Wirel. Propag. Lett. 2014, 14, 662–665. [Google Scholar] [CrossRef]
- Yu, K.; Li, Y.; Wang, Y. Multi-band metamaterial-based microstrip antenna for WLAN and WiMAX applications. In Proceedings of the 2017 International Applied Computational Electromagnetics Society Symposium—Italy (ACES), Florence, Italy, 26–30 March 2017; pp. 1–2. [Google Scholar]
- Naik, K.K. Asymmetric CPW-fed SRR patch antenna for WLAN/WiMAX applications. AEU Int. J. Electron. Commun. 2018, 93, 103–108. [Google Scholar] [CrossRef]
- Aznabet, M.; El Mrabet, O.; Floc’H, J.M.; Falcone, F.; Drissi, M. A coplanar waveguide-fed printed antenna with complementary split ring resonator for wireless communication systems. Waves Random Complex Media 2014, 25, 43–51. [Google Scholar] [CrossRef]
- Geetharamani, G.; Aathmanesan, T. Design of Metamaterial Antenna for 2.4 GHz WiFi Applications. Wirel. Pers. Commun. 2020, 113, 2289–2300. [Google Scholar] [CrossRef]
- Tran, T.Q.; Kim, S. Ultracompact Si slot waveguide-based polarization rotators. Microw. Opt. Technol. Lett. 2015, 57, 779–785. [Google Scholar] [CrossRef]
- Smith, D.R.; Vier, D.C.; Koschny, T.; Soukoulis, C.M. Electromagnetic parameter retrieval from inhomogeneous metamaterials. Phys. Rev. E 2005, 71, 036617. [Google Scholar] [CrossRef] [PubMed]
- Szabo, Z.; Park, G.H.; Hedge, R.; Li, E.P. A unique extraction of metamaterial parameters based on Kramers–Kronig relationship. IEEE Trans. Microw. Theory Tech. 2010, 58, 2646–2653. [Google Scholar] [CrossRef]
- Chen, X.; Grzegorczyk, T.M.; Wu, B.-I.; Pacheco, J.J.; Kong, J.A. Robust method to retrieve the constitutive effective parameters of metamaterials. Phys. Rev. E 2004, 70, 016608. [Google Scholar] [CrossRef] [PubMed]
- Mouhouche, F.; Azrar, A.; Dehmas, M.; Djafri, K. A Compact Multi-Band Monopole Antenna using Metamaterial for WLAN/WiMAX Applications. Adv. Electromagn. 2019, 8, 92–98. [Google Scholar] [CrossRef]
- Kim, D.O.; Kim, C.-Y.; Yang, D.-G.; Ahmad, M.S. Multiband omnidirectional planar monopole antenna with two split ring resonator pairs. Microw. Opt. Technol. Lett. 2017, 59, 753–758. [Google Scholar] [CrossRef]
- Sharma, S.K.; Abdalla, M.; Chaudhary, R.K. An electrically small sicrr metamaterial-inspired dual-band antenna for WLAN and WiMAX applications. Microw. Opt. Technol. Lett. 2017, 59, 573–578. [Google Scholar] [CrossRef]
- Gupta, A.; Chaudhary, R.K. A compact dual band short ended metamaterial antenna with extended bandwidth. Int. J. RF Microw. Comput. Eng. 2016, 26, 435–441. [Google Scholar] [CrossRef]
- Smyth, B.P.; Barth, S.; Iyer, A.K. Dual-Band Microstrip Patch Antenna Using Integrated Uniplanar Metamaterial-Based EBGs. IEEE Trans. Antennas Propag. 2016, 64, 5046–5053. [Google Scholar] [CrossRef]
- Sonak, R.; Ameen, M.; Chaudhary, R.K. CPW-fed electrically small open-ended zeroth order resonating metamaterial antenna with dual-band features for GPS/WiMAX/WLAN applications. AEU Int. J. Electron. Commun. 2019, 104, 99–107. [Google Scholar] [CrossRef]











| Parameters | Dimension (mm) |
|---|---|
| L | 20 |
| W | 18 |
| F | 3.5 |
| FW | 2 |
| ML | 9 |
| M1 | 5 |
| MS | 2 |
| FC | 5.1 |
| M = M2 = M3 = S1 = S2 = SR | 1 |
| SL | 14 |
| SW | 7 |
| S3 = S4 | 2 |
| Ref. | Size (mm2) | Operating Bands (GHz) | Metamaterial Structure | Antenna Design Technique | Metamaterial Property Verified |
|---|---|---|---|---|---|
| [15] | 40 × 45 | 2.44/3.5/5.5 | Rectangular stub | Monopole with inverted L-shaped slot as the radiating plane and partial ground plane with thin inductive stub loaded with rectangular patch | No |
| [17] | 20 × 22 | 2.48/3.49 | SRR | Meandered line square shaped SRR monopole fed with asymmetric CPW | No |
| [18] | 30 × 20 | 5.63 | CSRR | Patch loaded with two CSRR | No |
| [19] | 30 × 40 | 2.4 | CSRR | Rectangular patch with loaded CSRR on front and ground part | No |
| [20] | 42 × 50 | 1.8/5.2 | three zeroth order resonator (ZOR) cells | Rectangular patch with L-shaped ground | No |
| [24] | 23 × 26 | 2.5/3.6/5.8 | Triangular shaped split ring resonator | Strip line electrically coupled with metamaterial unit cell on either side | Yes |
| [25] | 50 × 40 | 2.4/3.5/5.8 | SRR | Two pair of symmetrical SRR with the initial monopole on the front side | Yes |
| [26] | 40 × 12 | 2.5/3.5 | Stepped Impedance closed ring resonator (SICRR) | Rectangular patch with partial ground plane | No |
| [27] | 20 × 30 | 2.1/7.3 | CRLH unit cell | Annular resonator with partial ground plane | No |
| [28] | 28 × 21 | 2.4/5.2 | metamaterial-based electromagnetic bandgap (MTM-EBG) | Rectangular patch with EBG at the edges | Yes |
| [29] | 20 × 30 | 1.2/6.0 | ZOR unit cell | Monopole antenna loaded with series inductor and capacitor | No |
| Prop. | 20 × 18 | 3.2/4/5.9 | CSSRR and SCSRR | Rectangular stub loaded CSRRR and SCSRR as the radiating part and full ground plane | Yes |
Publisher’s Note: MDPI stays neutral with regard to jurisdictional claims in published maps and institutional affiliations. |
© 2021 by the authors. Licensee MDPI, Basel, Switzerland. This article is an open access article distributed under the terms and conditions of the Creative Commons Attribution (CC BY) license (http://creativecommons.org/licenses/by/4.0/).
Share and Cite
David, R.M.; AW, M.S.; Ali, T.; Kumar, P. A Multiband Antenna Stacked with Novel Metamaterial SCSRR and CSSRR for WiMAX/WLAN Applications. Micromachines 2021, 12, 113. https://doi.org/10.3390/mi12020113
David RM, AW MS, Ali T, Kumar P. A Multiband Antenna Stacked with Novel Metamaterial SCSRR and CSSRR for WiMAX/WLAN Applications. Micromachines. 2021; 12(2):113. https://doi.org/10.3390/mi12020113
Chicago/Turabian StyleDavid, Rajiv Mohan, Mohammad Saadh AW, Tanweer Ali, and Pradeep Kumar. 2021. "A Multiband Antenna Stacked with Novel Metamaterial SCSRR and CSSRR for WiMAX/WLAN Applications" Micromachines 12, no. 2: 113. https://doi.org/10.3390/mi12020113
APA StyleDavid, R. M., AW, M. S., Ali, T., & Kumar, P. (2021). A Multiband Antenna Stacked with Novel Metamaterial SCSRR and CSSRR for WiMAX/WLAN Applications. Micromachines, 12(2), 113. https://doi.org/10.3390/mi12020113

